不銹鋼電化學拋光液一般含有硫酸、磷酸、鉻酐及少量的水,以及在電解過程中溶入的Fe3+、Cr3+、Ni2+、Mn2+等雜質。當采用標準堿液連續滴定時,這些金屬雜質的鹽類會水解,使分析結果偏高。因此,在滴定過程中要加入絡合劑掩蔽金屬雜質,以防止水解。絡合掩蔽劑采用六偏磷酸鈉或EDTA。


  采用六(liu)(liu)偏磷(lin)酸(suan)(suan)鈉(na)(na)時(shi),由于(yu)其水溶(rong)液pH=6,采用甲(jia)基紅和(he)溴甲(jia)酚綠混合指示劑(ji)在(zai)第一個等電(dian)點滴定(ding)時(shi)pH=5,所以六(liu)(liu)偏磷(lin)酸(suan)(suan)鈉(na)(na)不消耗堿(jian),用酚酞為指示劑(ji)進行第二個等電(dian)點滴定(ding)時(shi)pH=9.5,六(liu)(liu)偏磷(lin)酸(suan)(suan)鈉(na)(na)就(jiu)會耗去相應量的堿(jian),此(ci)堿(jian)量需在(zai)計算中扣除。其反應式(shi)如下。


第一(yi)個(ge)等(deng)電點時(pH=5):


H2SO4+2NaOH→Na2SO4+2H2O


H3PO4+NaOH→NaH2PO4+H2O


H2CrO4+NaOH→NaHCrO4+H2O


第二個等電(dian)點時(pH=9.5):


NaH2PO4+NaOH→Na2HPO4+H2O


NaHCrO4+NaOH→Na2CrO4+H2O


(NaPO3)6+6NaOH→6Na2HPO4


  若是(shi)采(cai)用 EDTA,從絡合能力看比六偏磷酸鈉好,但(dan)第一(yi)個(ge)等(deng)電(dian)點時(shi),0.05mol/L的(de)EDTA溶液的(de)pH約為(wei)4,離第一(yi)個(ge)等(deng)電(dian)點較遠,需(xu)消(xiao)耗(hao)(hao)一(yi)定量的(de)氫氧(yang)化(hua)鈉,到達第二個(ge)等(deng)電(dian)點時(shi)進一(yi)步消(xiao)耗(hao)(hao)氫氧(yang)化(hua)鈉,需(xu)分別扣除(chu)。


  扣除方法:取(qu)一(yi)個(ge)同(tong)本操(cao)作中所加絡合掩蔽劑(ji)用量相(xiang)同(tong)的絡合掩蔽劑(ji),加水稀釋,進行空白實驗,(不(bu)加電(dian)化(hua)學拋光液(ye)),分別以(yi)甲基(ji)紅(hong)(hong)、溴(xiu)甲酚綠(lv)(lv)指示劑(ji)用氫氧(yang)化(hua)鈉(na)標(biao)準(zhun)液(ye)滴(di)定至(zhi)第(di)一(yi)個(ge)等(deng)(deng)電(dian)點(dian),由紅(hong)(hong)變(bian)綠(lv)(lv),記錄耗用的氫氧(yang)化(hua)鈉(na)毫升(sheng)數(shu),以(yi)酚酞為(wei)指示劑(ji)用氫氧(yang)化(hua)鈉(na)標(biao)準(zhun)液(ye)滴(di)至(zhi)第(di)二個(ge)等(deng)(deng)電(dian)點(dian),由綠(lv)(lv)色(se)變(bian)紫紅(hong)(hong)色(se),記錄耗用的氫氧(yang)化(hua)鈉(na)毫升(sheng)數(shu),分別在(zai)計算中減去。


1. 試劑


 ①. 標準0.5mol氫氧化鈉溶(rong)(rong)液。稱取20g氫氧化鈉溶(rong)(rong)于蒸餾水中,用水在(zai)量(liang)瓶中稀(xi)釋至(zhi)1L.


  標定:稱取(qu)在(zai)120℃干燥2h后(hou)的(de)分(fen)析純苯(ben)二(er)甲酸(suan)氫(qing)鉀(KHC8H4O4)4g(四位有效數(shu)字(zi)P)于250mL錐形(xing)杯中,加水100mL,溫(wen)熱使其(qi)溶(rong)解(jie),加入酚(fen)酞指示劑(ji)2滴,用(yong)配(pei)制好的(de)氫(qing)氧化鈉(na)溶(rong)液滴定至淡紅色為終點,記(ji)錄耗用(yong)的(de)氫(qing)氧化鈉(na)溶(rong)液為V(mL)。


 計算:標(biao)準(zhun)氫氧化鈉溶液的摩爾濃度


 M= P × 1000 / V × 204.2 (mol/L)


 ②. 0.1mol六偏磷酸的溶液。稱(cheng)取(qu)120℃干燥2h后的分析純六偏磷酸鈉61.20g,溶于蒸(zheng)餾水中,用水在容量瓶(ping)中稀(xi)釋(shi)至(zhi)1L。不需標定(ding)。


 ③. 0.05mol EDTA標準溶液。②和③中兩者擇其一,稱取分析純EDTA(乙二胺四乙酸二鈉,其分子式C10H14N2O8Na2·2H2O)20g,溶解于熱蒸餾水中,冷卻后,用水在容量瓶中稀釋至1L。


 標定(ding):稱取分析純金屬鋅(xin)0.4g(準確稱重(zhong)至(zhi)(zhi)四位(wei)有效(xiao)數字P),在250mL錐形瓶(ping)中(zhong)用(yong)1:1試劑鹽酸加(jia)(jia)熱(re)溶(rong)解鋅(xin)至(zhi)(zhi)完全形成(cheng)氯(lv)(lv)化(hua)鋅(xin),冷(leng)卻(que),移入100mL容量瓶(ping)中(zhong),加(jia)(jia)水(shui)稀釋至(zhi)(zhi)刻度,搖勻。用(yong)移液管吸取20mL于(yu)250mL錐形瓶(ping)中(zhong),加(jia)(jia)水(shui)50mL,以(yi)氨(an)水(shui)調節至(zhi)(zhi)微堿性,加(jia)(jia)入pH=10緩沖溶(rong)液(溶(rong)解54g氯(lv)(lv)化(hua)銨于(yu)水(shui)中(zhong),加(jia)(jia)入350mL濃氨(an)水(shui),加(jia)(jia)水(shui)稀釋至(zhi)(zhi)1L)10mL,鉻黑T指示劑(0.5g鉻黑T和氯(lv)(lv)化(hua)鈉50g研磨而成(cheng))少許,搖勻,以(yi)配好的(de)0.05mol EDTA標準溶(rong)液滴(di)定(ding)至(zhi)(zhi)由紅變藍色為終(zhong)點,記(ji)錄耗用(yong)的(de)EDTA溶(rong)液V(mL).


計算(suan):標準(zhun)EDTA溶液(ye)濃度(du)


2.jpg


④. 甲(jia)基紅指(zhi)示(shi)劑(pH 4.2~6.3).稱取甲(jia)基紅0.1g溶(rong)解(jie)于60mL乙醇中,溶(rong)解(jie)后加水(shui)稀釋至(zhi)100mL。


⑤. 溴甲酚(fen)綠指(zhi)示劑(ji)(pH 3.6~5.2).稱取溴甲酚(fen)綠0.1g溶解于2.88mL的(de)0.05mol氫氧化鈉溶液中,加水稀釋至(zhi)250mL。


⑥. 酚酞指示劑(pH 8.3~10.0).稱取1g酚酞溶(rong)解于80mL乙醇中,溶(rong)解后(hou)加(jia)水稀釋至100mL.



2. 分析(xi)方法


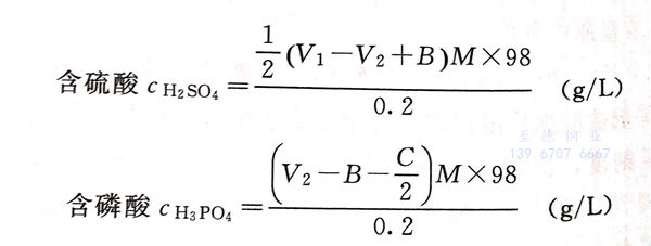
①. 用六偏磷酸鈉(na)作掩(yan)蔽劑。


  a. 吸取試(shi)液5mL于250mL容量瓶(ping)中,加水稀釋至(zhi)刻度,搖勻。


  b. 吸取此(ci)液(ye)10mL于(yu)300mL錐形瓶中(相當(dang)于(yu)原液(ye)0.2mL),加水80mL。


  c. 用移液(ye)管(guan)準確加人六(liu)偏磷酸鈉溶液(ye)20mL。


  d. 加甲(jia)基(ji)紅4滴、溴甲(jia)酚綠(lv)6滴。


  e. 以(yi)0.5mol氫氧化(hua)鈉標準(zhun)溶液滴定至綠色(se)為終點,記(ji)錄耗用量V1。


  f. 加酚酞5滴。


  g. 以0.5mol氫(qing)氧化鈉標準溶液滴(di)定(ding)至紅色(保持20s不退),記錄耗用量V2。


  h. 另用(yong)移(yi)液管吸取0.1mol六偏磷酸鈉溶(rong)液20mL于250mL錐(zhui)形瓶中,加水80mL。


  i. 加酚酞5滴(di)。


  j. 用0.5mol氫氧(yang)化鈉(na)溶液(ye)滴定至紅色(se),記錄耗用量B(mL)。


計算:


3.jpg



 式中,M為標準氫氧化鈉溶液的摩爾濃度;C為中和所取試液中的CrO3相的標準氫氧化鈉溶液的容積,mL。


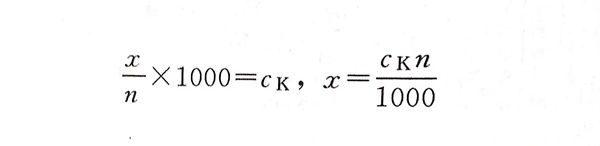
設n為所取試樣容積,mL;ck為三氧化鉻濃度,g/L;x為所取試樣中含氧化鉻質量,g;


則有(you):


4.jpg

5.jpg




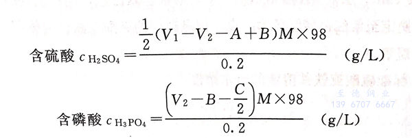
②. 用EDTA作掩(yan)蔽(bi)劑。


  a. 吸取試(shi)液(ye)5mL于250mL容量瓶中,加水稀釋至刻(ke)度(du),搖勻(yun)。


  b. 吸取(qu)此液10mL于300mL錐形瓶(ping)中(相當于原液0.2mL),加水(shui)80mL。


  c. 用(yong)移液管準(zhun)(zhun)確加(jia)入0.05mol EDTA標準(zhun)(zhun)溶液20mL。


  d. 加甲基紅4滴、溴(xiu)甲酚綠(lv)6滴。


  e. 用0.5mol氫氧化鈉標準溶液滴定至綠色為終點,記錄耗用量為V1


  f. 加酚酞5滴。


 g. 用0.5mol氫氧化鈉標準溶液滴定至紅色(保持20s不褪色),記錄耗用量為V2


  h. 另用滴(di)定管取0.05mol EDTA于250mL錐形瓶中,加水(shui)80mL。


  i. 加甲(jia)基紅(hong)4滴,溴(xiu)甲(jia)酚綠6滴。


  j. 用0.05mol氫氧化鈉溶液滴定至(zhi)綠色(se),記錄耗用量(liang)為A。


  k. 加酚酞(tai)5滴。


  l. 繼續用0.05mol氫氧化鈉溶(rong)液滴(di)定至(zhi)紅色(se),記錄耗用量為B。


計算:


6.jpg


C 的計算與①用六偏(pian)磷酸鈉(na)掩(yan)蔽的公式相同。