充滿91香蕉視頻app:超聲波的空間或超聲振動所波及的部分介質稱為超聲場。描述超聲場的常用物理量主要有聲壓、聲阻抗、聲強等。


1. 聲(sheng)壓


 假設某一點(dian)在沒有超聲(sheng)(sheng)波存(cun)在時的靜(jing)態壓(ya)強為P0,存(cun)在超聲(sheng)(sheng)波時某一時刻所具有的壓(ya)強P1,兩者之差即為該點(dian)的瞬(shun)時聲(sheng)(sheng)壓(ya)P。聲(sheng)(sheng)壓(ya)單(dan)(dan)位與壓(ya)強單(dan)(dan)位相同,均為Pa(帕)。


有(you)效聲(sheng)壓(ya)是指在一定(ding)時(shi)間間隔內,瞬時(shi)聲(sheng)壓(ya)對時(shi)間取(qu)均方根值(zhi),即


1.jpg



超(chao)聲(sheng)波(bo)在介質(zhi)中傳播時,介質(zhi)每一點的(de)聲(sheng)壓隨時間和振動位移(yi)量的(de)不(bu)同而變化,所以瞬時聲(sheng)壓P是時間和位移(yi)的(de)函數,可由下式表達:


式 1.jpg



 由(you)式(2.1)可知(zhi),超(chao)聲(sheng)(sheng)(sheng)(sheng)場中(zhong)某一(yi)點(dian)的(de)(de)聲(sheng)(sheng)(sheng)(sheng)壓(ya)按(an)余弦函數周期性變化。聲(sheng)(sheng)(sheng)(sheng)壓(ya)的(de)(de)幅值與(yu)介質(zhi)(zhi)的(de)(de)密(mi)度(du)、波速、質(zhi)(zhi)點(dian)振動速度(du)成正比(bi)。通(tong)常(chang)固(gu)體(ti)介質(zhi)(zhi)由(you)于(yu)密(mi)度(du)大、聲(sheng)(sheng)(sheng)(sheng)速高和質(zhi)(zhi)點(dian)振速高,導致置于(yu)同(tong)一(yi)超(chao)聲(sheng)(sheng)(sheng)(sheng)場中(zhong)的(de)(de)介質(zhi)(zhi)(離(li)聲(sheng)(sheng)(sheng)(sheng)源(yuan)距離(li)相同(tong)),以固(gu)體(ti)介質(zhi)(zhi)中(zhong)的(de)(de)聲(sheng)(sheng)(sheng)(sheng)壓(ya)最高,液體(ti)中(zhong)聲(sheng)(sheng)(sheng)(sheng)壓(ya)次之,氣體(ti)中(zhong)聲(sheng)(sheng)(sheng)(sheng)壓(ya)最小。當然(ran),對于(yu)不同(tong)固(gu)體(ti)介質(zhi)(zhi)而(er)言(yan),因(yin)材料性質(zhi)(zhi)、密(mi)度(du)、聲(sheng)(sheng)(sheng)(sheng)速等因(yin)素(su)的(de)(de)差異,對應的(de)(de)聲(sheng)(sheng)(sheng)(sheng)壓(ya)也會(hui)有所區別。一(yi)般認為,探傷儀顯示屏上的(de)(de)信號高度(du)與(yu)聲(sheng)(sheng)(sheng)(sheng)壓(ya)成正比(bi)。



2. 聲阻抗


 超聲場中任(ren)一點的聲壓與該處質(zhi)點振動速度之比稱(cheng)為聲阻抗,也(ye)稱(cheng)特性阻抗,常(chang)用(yong)符(fu)號Z表示,單位(wei)為kg/(m2·s)[千(qian)克/(平方米·秒)]:


式 2.jpg


 由式(2.2)可知,聲(sheng)阻(zu)抗的大小等于(yu)介質的密度(du)與(yu)波速的乘(cheng)積。不難(nan)看(kan)出(chu),在同一聲(sheng)壓下,Z增加(jia),質點的振動(dong)速度(du)下降(jiang)。因此聲(sheng)阻(zu)抗Z可理解為介質對質點振動(dong)的阻(zu)礙作用。類似于(yu)電學(xue)中的歐姆定(ding)(ding)律 I=U/R,電壓定(ding)(ding),電阻(zu)增加(jia),電流減(jian)少。


聲阻(zu)抗(kang)是表(biao)征介(jie)質聲學(xue)性質的重要(yao)物理量。超聲波在異種介(jie)質界面上的反(fan)射(she)和透射(she)情況與聲阻(zu)抗(kang)關系密切。



3. 聲強


單位(wei)時間內在垂直(zhi)于聲(sheng)波傳播方向的介質指定面積上所(suo)通(tong)過的平(ping)(ping)(ping)均聲(sheng)能量,稱為(wei)平(ping)(ping)(ping)均聲(sheng)功(gong)率或平(ping)(ping)(ping)均聲(sheng)能量流。單位(wei)面積上的平(ping)(ping)(ping)均聲(sheng)功(gong)率稱為(wei)聲(sheng)強(qiang)度,簡稱聲(sheng)強(qiang),通(tong)常用符號I表示,單位(wei)為(wei)瓦(wa)/平(ping)(ping)(ping)方米(W/㎡),可寫作


式 3.jpg


由式(shi)(2.3)可知,在同一介質中(zhong),聲強(qiang)與聲壓的(de)平方成正比。



4. 聲壓級、聲強級


 直(zhi)接(jie)使用(yong)聲(sheng)(sheng)(sheng)壓、聲(sheng)(sheng)(sheng)強(qiang)等(deng)物理(li)量(liang)描述(shu)實際生活中的(de)(de)各種聲(sheng)(sheng)(sheng)音(yin),數(shu)值變化范圍會非(fei)(fei)常(chang)寬(kuan),涉(she)及(ji)的(de)(de)數(shu)量(liang)級也(ye)相差巨大(da),如(ru)果(guo)使用(yong)對(dui)數(shu)標度(du)(du)來進(jin)行比(bi)較(jiao)計算就(jiu)能大(da)大(da)簡化運算。另一個原因(yin)(yin)是人耳對(dui)聲(sheng)(sheng)(sheng)音(yin)的(de)(de)接(jie)收更接(jie)近正比(bi)于其(qi)對(dui)數(shu)值,并(bing)非(fei)(fei)正比(bi)于強(qiang)度(du)(du)。因(yin)(yin)此,在聲(sheng)(sheng)(sheng)學中普遍(bian)使用(yong)對(dui)數(shu)標度(du)(du)對(dui)聲(sheng)(sheng)(sheng)壓、聲(sheng)(sheng)(sheng)強(qiang)等(deng)參數(shu)進(jin)行度(du)(du)量(liang),對(dui)應的(de)(de),分別稱為聲(sheng)(sheng)(sheng)壓級、聲(sheng)(sheng)(sheng)強(qiang)級,單位用(yong)Bel(貝爾(er))表示,因(yin)(yin)為貝爾(er)的(de)(de)單位比(bi)較(jiao)大(da),工程(cheng)上使用(yong)時將其(qi)縮至1/10后以dB(分貝)為單位。


 聲壓級的符號通常用Lp表示。定義聲壓級為將待測聲壓的有效值Pe與基準聲壓P0。的比值取以10為底的常用對數,再乘以20,即


2.jpg


 在空氣中,基準聲壓為P0=2×105Pa,這個數值是正常人聽覺對1kHz聲音稍稍感知到的最低聲壓值,低于此,通常人的聽覺系統就感知不到了,亦即聽閾聲壓級為0dB。人耳的聽覺從可聽閾的2×105Pa的聲壓到痛閾的20 Pa,兩者相差100萬倍,而用聲壓級來表示則變化為0~120dB的范圍,使對聲音的描述大為方便。


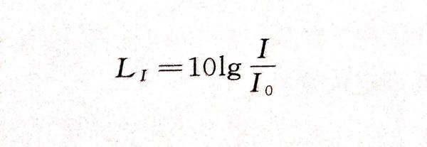
聲強級的符號為LI,定義為待測聲強I與基準聲強I0的比值取以10為底的常用對數,再乘以10,即


3.jpg


在空氣中,基準聲強I0取為1×1012 W/㎡,與空氣中基準聲壓相對應,是能夠引起人耳聽覺的最低聲強。


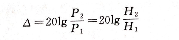
垂直線性較好的(de)探傷儀(yi),顯示屏顯示的(de)信號高(gao)度與聲壓(ya)成正比,有(you)


4.jpg


式中,基準聲壓P1和基準聲強H1可任意選取。


常(chang)用聲壓比(波高(gao)比)對應的分貝值見表2.1.


表 1.jpg