我國國家標準《不銹鋼藥芯焊絲》GB/T 17853-1999,與美國AWS上技術內容等效。適用于不銹鋼藥芯焊絲電弧焊(FCAW)和作為不銹鋼鎢極惰性氣體保護焊的藥芯填充焊絲(GTAW)。藥芯焊絲型號是根據熔敷金屬化學成分、焊接位置、保護氣體及焊接電流類型來分的。


  藥芯焊(han)(han)(han)(han)(han)絲(si)(si)型號表(biao)(biao)示(shi)(shi)方法:“E”表(biao)(biao)示(shi)(shi)焊(han)(han)(han)(han)(han)絲(si)(si),“R”表(biao)(biao)示(shi)(shi)填(tian)充焊(han)(han)(han)(han)(han)絲(si)(si);后(hou)(hou)面(mian)用三位(wei)或四位(wei)數字(zi)表(biao)(biao)示(shi)(shi)焊(han)(han)(han)(han)(han)絲(si)(si)熔敷金屬化學成分(fen)(fen)分(fen)(fen)類(lei)代號;若有特殊要求(qiu)的(de)化學成分(fen)(fen),將其元素符(fu)號附加在(zai)數字(zi)后(hou)(hou)面(mian),或者用“L”表(biao)(biao)示(shi)(shi)含碳(tan)量較低(di)(di),“H”表(biao)(biao)示(shi)(shi)含碳(tan)量較高,“K”表(biao)(biao)示(shi)(shi)焊(han)(han)(han)(han)(han)絲(si)(si)應用于(yu)低(di)(di)溫環境;最后(hou)(hou)用“T”表(biao)(biao)示(shi)(shi)焊(han)(han)(han)(han)(han)絲(si)(si)適用于(yu)全位(wei)置焊(han)(han)(han)(han)(han)接;“-”后(hou)(hou)面(mian)的(de)數字(zi)表(biao)(biao)示(shi)(shi)保護(hu)氣(qi)體及焊(han)(han)(han)(han)(han)接電流類(lei)型,見表(biao)(biao)2-24。


  焊絲型號舉例如下:


25.jpg


  藥(yao)芯(xin)焊絲尺寸應符合表(biao) 2-25的(de)規(gui)定


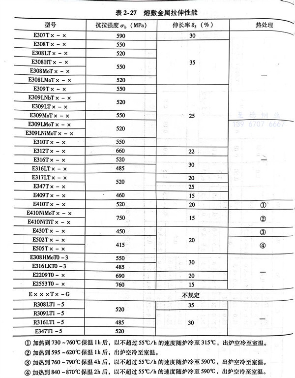
  不(bu)同型號焊絲施焊后(hou)的熔(rong)(rong)敷金屬化(hua)學成分應符(fu)合(he)表 2-26 和熔(rong)(rong)敷金屬拉伸(shen)性能(neng)應符(fu)合(he)表 2-27的規定。



不銹鋼(gang)藥芯(xin)焊絲的(de)適(shi)用范(fan)圍見(jian)表 2-28