管件(jian)的(de)型式與尺寸(cun)分為以米制單位表(biao)示(shi)的(de)管件(jian)和(he)以英制單位表(biao)示(shi)的(de)管件(jian)兩個系列。


在米(mi)制(zhi)單位表示的(de)管件尺(chi)寸中,管件端部(bu)外徑(即與(yu)管子外徑相配的(de)坡口處外徑)分為Ⅰ及(ji)Ⅱ兩個系列,Ⅰ系列為國(guo)際通用系列。


由于米(mi)制單位和英制單位的(de)(de)管件(jian)不能做到精確(que)的(de)(de)等同,因此使用(yong)(yong)者(zhe)必須分別采(cai)用(yong)(yong)兩(liang)種(zhong)單位制。對(dui)于尺(chi)(chi)寸(cun)(cun)為米(mi)制單位的(de)(de)管件(jian),其公(gong)稱尺(chi)(chi)寸(cun)(cun)用(yong)(yong)DN表示(shi);對(dui)于尺(chi)(chi)寸(cun)(cun)為英制單位的(de)(de)管件(jian),其公(gong)稱尺(chi)(chi)寸(cun)(cun)用(yong)(yong)NPS表示(shi)。兩(liang)者(zhe)之(zhi)間(jian)的(de)(de)關(guan)系見表8-2。


2.jpg


一(yi)、米制(zhi)尺(chi)寸


1. 長(chang)半(ban)徑彎頭型(xing)式見(jian)圖 8-1,尺寸見(jian)表(biao) 8-3 。



2. 長半徑異徑彎(wan)頭型式見圖 8-2,尺寸(cun)見表 8-4 。



3. 長半徑180°彎頭型式見圖 8-3,尺寸見表(biao) 8-5 。


5.jpg


4. 短(duan)半徑彎頭型(xing)式(shi)見圖 8-4,尺寸見表 8-6 。

6.jpg


5. 短半徑180°彎(wan)頭型式見圖 8-5,尺(chi)寸見表 8-7 。



6. 等徑三通和四通型式見(jian)圖 8-6,尺寸見(jian)表 8-8 。



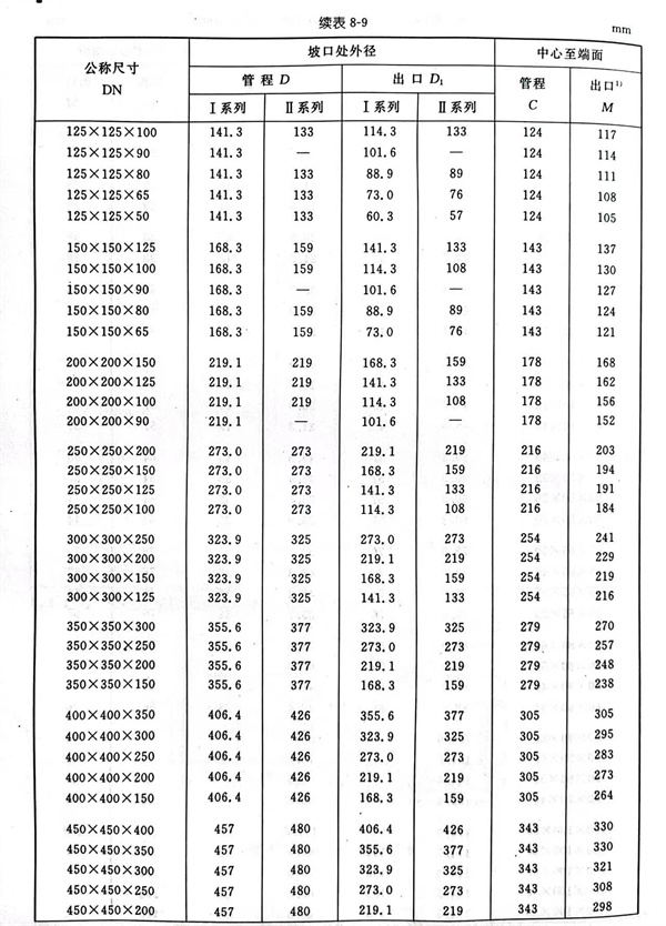
7. 異(yi)徑三通(tong)和四通(tong)型式見圖(tu) 8-7,尺(chi)寸見表 8-9 。



8. 翻邊短節型式見圖 8-8,尺寸見表 8-10 。


注(zhu):1.公差見表8-23。

       2.使用(yong)條(tiao)件和連(lian)接結構通常(chang)決定(ding)對短節的長度要(yao)求,因此,在訂(ding)貨時采(cai)購方必須規定(ding)是長型(xing)或短型(xing)短節。

  a. 當(dang)短(duan)型翻(fan)邊短(duan)節(jie)用于(yu)(yu)PN50和(he)PN110的(de)(de)較(jiao)大(da)(da)(da)法蘭(lan)以及大(da)(da)(da)于(yu)(yu)等于(yu)(yu)PN150的(de)(de)大(da)(da)(da)部分(fen)規(gui)格的(de)(de)法蘭(lan)時;或當(dang)長型翻(fan)邊短(duan)節(jie)用于(yu)(yu)PN260和(he)PN420的(de)(de)較(jiao)大(da)(da)(da)法蘭(lan)時,為(wei)了(le)避免法蘭(lan)可能影(ying)響(xiang)焊(han)接,可能需要增加接管(guan)的(de)(de)長度。長度增加量由制(zhi)造商與采購方(fang)雙方(fang)協(xie)商。

  b. 當采用榫(sun)槽面(mian)和凹凸密封(feng)面(mian)時,必須增加(jia)搭接(jie)邊的厚度(du)。增加(jia)厚度(du)應附加(jia)(不包(bao)括)在基本長度(du)F上。

  c. 這(zhe)些尺寸應與(yu)GB/T 9118.1~9118.2或(huo)ASMEB16.5中(zhong)的(de)松套法蘭的(de)圓角半(ban)徑相符合。

  d. 該尺寸(cun)與ASME B16.5中表(biao)示的標準機加(jia)工(gong)(gong)面相(xiang)符合。搭接邊的背面應進行機加(jia)工(gong)(gong),使其與安裝(zhuang)表(biao)面一致。當采用環連接密封面時,使用ASMEB16.5中給出的尺寸(cun)K。


9. 管帽型式(shi)見圖 8-9,尺寸見表 8-11 。


11.jpg

10. 異徑接頭型(xing)式見圖 8-10,尺寸見表 8-12 。





二、英制尺(chi)寸


1. 長半徑彎頭型(xing)式見圖 8-11,尺(chi)寸見表 8-13 。

13.jpg


2. 長半(ban)徑異徑彎頭型式見(jian)圖 8-12,尺寸見(jian)表(biao) 8-14 。



3. 長半(ban)徑180°彎頭型(xing)式見圖 8-13,尺寸見表 8-15 。



4. 短半徑(jing)彎頭型式(shi)見圖 8-14,尺寸見表(biao) 8-16 。


16.jpg


5. 短(duan)半徑180°彎(wan)頭型式見圖 8-15,尺寸見表 8-17 。


17.jpg


6. 等徑三通(tong)(tong)和四通(tong)(tong)型式見(jian)圖 8-16,尺寸見(jian)表 8-18 。



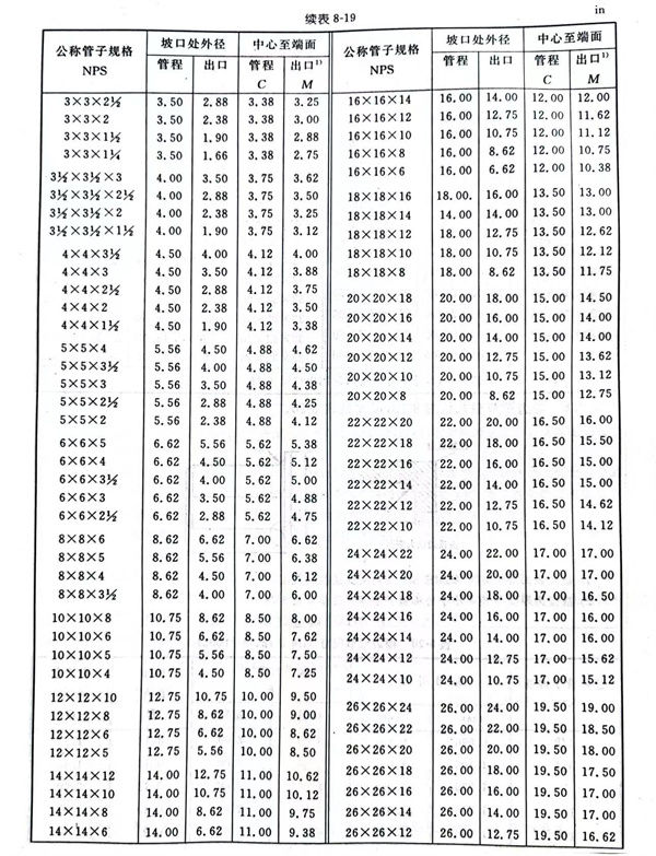
7. 異徑三通和(he)四通型式見圖(tu) 8-17,尺寸見表 8-19 。



8. 翻邊短節型式見圖 8-18,尺寸見表 8-20 。


注:1.公差見圖8-21。

2.使用條件和接頭結構通(tong)常決定(ding)對短(duan)節的長度要(yao)求,因此,在(zai)采(cai)購(gou)時采(cai)購(gou)方必須規(gui)定(ding)是長型或短(duan)型短(duan)節。

1)當短(duan)型翻(fan)(fan)邊(bian)短(duan)節(jie)(jie)用于(yu)300磅級和(he)600磅級的(de)(de)(de)較大(da)(da)法蘭(lan)以及大(da)(da)于(yu)等于(yu)900磅級的(de)(de)(de)大(da)(da)部分規格的(de)(de)(de)法蘭(lan)時,當長型翻(fan)(fan)邊(bian)短(duan)節(jie)(jie)用于(yu)1500磅級和(he)2500磅級的(de)(de)(de)較大(da)(da)法蘭(lan)時,為(wei)了避免法蘭(lan)可(ke)能影響焊接(jie),可(ke)能需(xu)要增(zeng)加(jia)接(jie)管的(de)(de)(de)長度(du)。長度(du)的(de)(de)(de)增(zeng)加(jia)量由制(zhi)造廠與采(cai)購(gou)方(fang)雙(shuang)方(fang)協商。

2)當(dang)采用(yong)如榫槽面(mian),凹凸密(mi)封面(mian)時,必(bi)須增加搭接邊的(de)厚度。增加厚度應在(zai)基本(ben)長度F之外(不(bu)包括在(zai)基本(ben)長度內)。

3)這些尺寸應與ASME B16.5《管(guan)法(fa)蘭和法(fa)蘭管(guan)件》中松套法(fa)蘭的圓角(jiao)半徑相(xiang)符。

4)該尺寸與(yu)(yu)ASME B16.5中(zhong)表示的(de)標準(zhun)機加工(gong)(gong)面(mian)(mian)一致。搭接(jie)邊的(de)背面(mian)(mian)應進行(xing)機加工(gong)(gong),使與(yu)(yu)其安(an)裝表面(mian)(mian)一致。當(dang)采用(yong)環連接(jie)面(mian)(mian)時使用(yong)ASMEB16.5中(zhong)給出的(de)尺寸K。



9. 管帽(mao)型式見(jian)圖 8-19,尺(chi)寸見(jian)表 8-21 。



10. 異徑接頭型(xing)式(shi)見圖 8-20,尺寸見表 8-22 。