鋼管的(de)壁(bi)厚(hou)計算方法,在ASME B31.3、GB 50316、SH/T 3509等標(biao)準規范中均有詳細的(de)介紹(shao)。鋼管壁(bi)厚(hou)的(de)表示方法在不同的(de)標(biao)準中各不相同,但主要有三種。


1. 以管子(zi)表(biao)(biao)號(hao)表(biao)(biao)示(shi)公稱(cheng)壁厚 此種表(biao)(biao)示(shi)方法以ASME B36.10《焊接和無縫鋼管》為代表(biao)(biao)并為其他許多(duo)標(biao)準(zhun)所(suo)采用,常以“Sch”標(biao)示(shi)。


  管子表號是管子設計壓力與設計溫度(du)下材料許(xu)用應力的(de)(de)比值(zhi)乘(cheng)以1000,并經圓整(zheng)后(hou)的(de)(de)數值(zhi)。


   ASME B36.10和JIS標準(zhun)中管子(zi)表號有:Sch10、Sch20、Sch30、Sch40、Sch60、Sch80、Sch100、Sch120、Sch140、Sch160。


   ASME B36.19中不銹鋼管(guan)(guan)管(guan)(guan)子表號(hao)有:Sch5s、Sch1Os、Sch40s、Sch80s。


   中國石化集團(tuan)公(gong)司標準SH/T 3405中,無縫(feng)鋼(gang)(gang)管采用了Sch20、Sch30、Sch40、Sch60、Sch80、Sch100、Sch120、Sch140、Sch160九個表號(hao),不銹鋼(gang)(gang)管采用了Sch5s、Sch10s、Sch20s、Sch40s、Sch80s五個表號(hao)。


   無縫鋼管(guan)和焊(han)接鋼管(guan)的管(guan)子(zi)表號可分(fen)別查圖(tu)4-1和圖(tu)4-2確定。


2. 以管子重(zhong)量表示公稱壁厚


   美國(guo)MSS和ASME也規定了以(yi)管(guan)子重(zhong)(zhong)量表示壁(bi)(bi)厚(hou)的方法,并將管(guan)子壁(bi)(bi)厚(hou)分為(wei)三種:標準重(zhong)(zhong)量管(guan),以(yi)STD表示;加厚(hou)管(guan),以(yi)XS表示;特(te)厚(hou)管(guan),以(yi)XXS表示。


   對(dui)于DN≤250mm的(de)管子,Sch40相當(dang)于STD;DN<200mm的(de)管子,Sch80相當(dang)于XS。



3. 以鋼(gang)(gang)管(guan)壁(bi)(bi)厚(hou)(hou)(hou)值表示(shi)公稱(cheng)壁(bi)(bi)厚(hou)(hou)(hou) 中(zhong)國、ISO和日本(ben)部分鋼(gang)(gang)管(guan)標準(zhun)采用了(le)壁(bi)(bi)厚(hou)(hou)(hou)值表示(shi)鋼(gang)(gang)管(guan)公稱(cheng)壁(bi)(bi)厚(hou)(hou)(hou)。



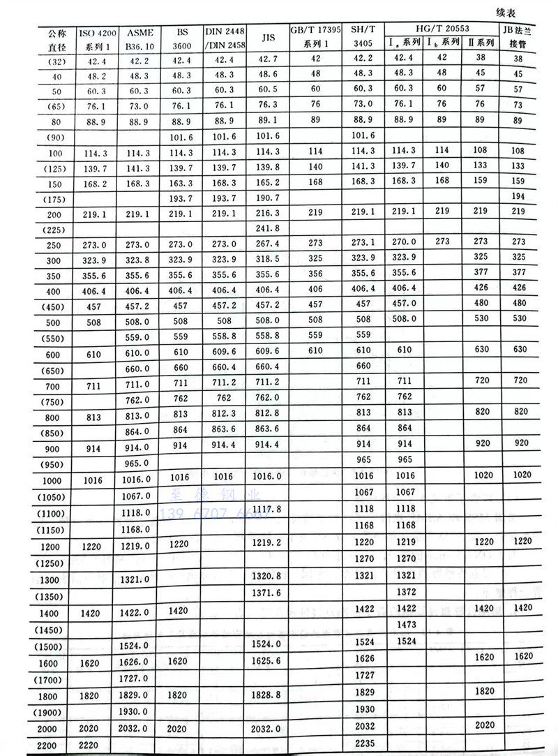
4.常用公(gong)稱直徑及相應(ying)管子標準及其外徑尺(chi)寸(表4-12)


12.jpg

12.1.jpg