91香蕉视频app
91香蕉視頻app:
首頁
91香蕉視頻app:
關于我(wo)們
91香蕉視頻app:
公司(si)簡介
91香蕉視頻app:
企(qi)業理念
91香蕉視頻app:
核心服務
91香蕉視頻app:
榮譽證(zheng)書
91香蕉視頻app:
新聞(wen)中心
91香蕉視頻app:
企業資訊
91香蕉視頻app:
行業(ye)新聞
91香蕉視頻app:
產品中心
91香蕉視頻app:
不銹(xiu)鋼(gang)管
91香蕉視頻app:
不銹鋼管(guan)件
91香蕉視頻app:
不銹鋼(gang)法蘭
91香蕉視頻app:
預制件加工
91香蕉視頻app:
車間設備(bei)
91香蕉視頻app:
生產設備
91香蕉視頻app:
檢(jian)測設備(bei)
91香蕉視頻app:
質保體系
91香蕉視頻app:
體系認證
91香蕉視頻app:
售后服務
91香蕉視頻app:
聯系我們
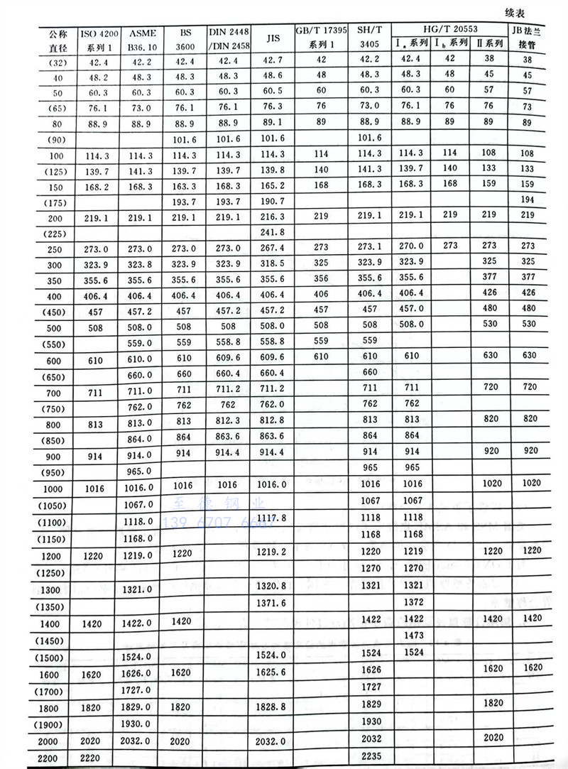
國標美標日標歐標不銹鋼管公稱直徑及其外徑尺寸規格對照表
發布日期:2023-12-10 16:12:43 人(ren)氣:707
國標美標日標歐標
91香蕉視頻app:
不銹鋼管
公稱直徑及相應管子標準及其外徑尺寸規格對照表
S30403 00Cr19Ni10 不銹鋼標準牌號化學成分及主要特性和用途
球墨鑄鐵管件法蘭盤的結構型式與尺寸
猜你喜歡
91香蕉視頻app:浙江溫州鋼管廠家304不銹鋼管常用規格價格表