化工鋼制有縫對焊管件是用碳鋼、低合金鋼和奧氏體不銹鋼鋼板制造的具有縱向焊縫的管件,其品種包括三通(等徑和異徑)、彎頭(短半徑90°和長半徑90°、45°)、異徑管(guan)或異徑接頭(同心和偏心)三種,與接管連接的方式為對焊連接,端部外徑分為系列和系列(lie),是專供化工行業大型(xing)管道使用的一種(zhong)管件。


1.  結構型式(shi)與尺寸


  a. 等徑三通型式(shi)見(jian)圖(tu) 16-1 ,尺寸見(jian)表 16-3 。


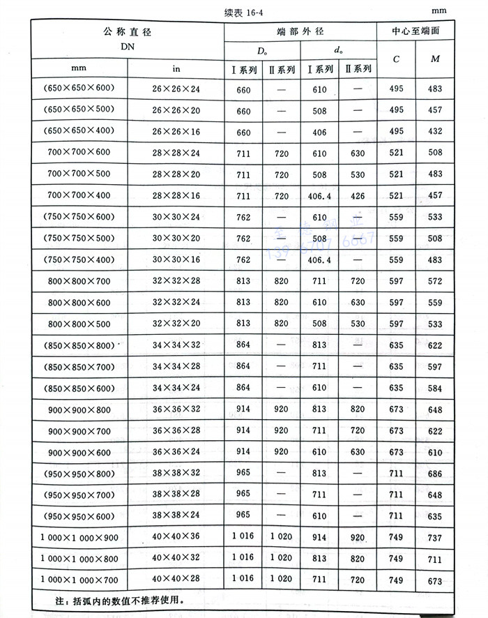
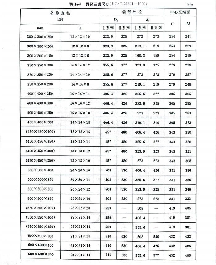
  b. 異徑(jing)三通型式見圖 16-2 ,尺寸見表 16-4 。



  c. 彎(wan)頭型式見圖 16-3,尺(chi)寸見表 16-5 。


5.jpg


  d. 異徑管型式(shi)見圖(tu) 16-4 ,尺寸見表(biao) 16-6 。



2. 公差


  成型管(guan)件的主(zhu)要尺(chi)寸偏差(cha)見圖 16-5 及表 16-7。


7.jpg





聯系方式.jpg