本章所(suo)介紹的美(mei)國(guo)管件(jian)標(biao)準主(zhu)要為美(mei)國(guo)機械工(gong)程師(shi)協會(即ASME)近期(qi)發(fa)布(bu)的最新標(biao)準,這(zhe)些管件(jian)標(biao)準主(zhu)要為:灰鑄(zhu)鐵(tie)螺紋管件(jian)(ASME B16.4-1998)、可鍛(duan)鑄(zhu)鐵(tie)螺紋管件(jian)(ASME B16.3-1998)、承插焊和螺紋連(lian)接鍛(duan)鋼(gang)(gang)制(zhi)管件(jian)(ASME B16.11-2005)、工(gong)廠制(zhi)造(zao)的鍛(duan)鋼(gang)(gang)對(dui)焊管件(jian)及鍛(duan)鋼(gang)(gang)制(zhi)對(dui)焊短(duan)半徑彎(wan)頭和180°彎(wan)頭等。


  工廠制(zhi)造的鍛鋼(gang)對焊管件(jian) ASME B16.9-2003 標準


一、適用范(fan)圍


 1. 總則(ze)


   ASME B16.9-2003標準適用于規(gui)格為NPS1/2~NPS 48(DN 15~DN1200)的工廠制造的鍛制對焊管件的總體尺寸(cun)、公差(cha)、壓力等級、試驗(yan)及標志。


 2. 特(te)殊管件


   根據制造廠和使用方(fang)雙(shuang)方(fang)協議,可(ke)以制造特殊尺寸、規格、形狀及公(gong)差的管件。


 3. 管(guan)件(jian)制品


   采用(yong)環焊縫或(huo)交叉(cha)焊縫制造的(de)分支管件和其(qi)他管件均屬管件制品,并不屬于該標(biao)準(zhun)的(de)范(fan)圍。


   搭接短(duan)節制(zhi)品(pin)不受(shou)以(yi)上限(xian)制(zhi),只要其(qi)材(cai)(cai)料符合20.4.4條(tiao)所(suo)規定(ding)的(de)可適用的(de)ASTM材(cai)(cai)料規范(fan)的(de)所(suo)有要求。


 4. 標準計量單位


   無(wu)論以(yi)米制為單位(wei)或以(yi)美國慣用單位(wei)(即英制單位(wei))表(biao)示的數值(zhi)都分別視為標(biao)準(zhun)值(zhi)。


   在(zai)該(gai)標準的正文中(zhong)英制(zhi)(zhi)單位(wei)在(zai)括(kuo)號內示出(chu)。由于兩種(zhong)單位(wei)制(zhi)(zhi)所(suo)規定(ding)的數值(zhi)不能做到精確地(di)相等,因此(ci),必須獨立(li)地(di)分別使(shi)用(yong)每一種(zhong)單位(wei)制(zhi)(zhi)。兩種(zhong)單位(wei)制(zhi)(zhi)使(shi)用(yong)的混合數值(zhi),將導致(zhi)與(yu)該(gai)標準的不一致(zhi)。


   無(wu)論是米(mi)制單位(wei)尺(chi)寸的(de)管件或是英制單位(wei)尺(chi)寸的(de)管件,其規格(ge)的(de)標志都(dou)為NPS。管件壓力等級與相應規格(ge)和材料(liao)的(de)管子的(de)連接(jie)壁厚有關(guan)。


 5. 使用條件


   適合于特定流體使用(yong)條(tiao)件(jian)的(de)管件(jian)型式和材料(liao)的(de)選擇(ze)標(biao)準(zhun),不屬(shu)于本(ben)標(biao)準(zhun)的(de)范圍。


 6. 焊接


   安(an)裝焊接(jie)要求不屬于本標準的(de)范圍(wei)。


 7. 質量體系(xi)


   按(an)ASME B16.9標準(zhun)制(zhi)(zhi)造的(de)(de)產(chan)(chan)(chan)品(pin)應(ying)按(an)質量體(ti)系程(cheng)序(xu)生(sheng)產(chan)(chan)(chan),該程(cheng)序(xu)應(ying)遵循 ISO 9000系列的(de)(de)某一適合的(de)(de)標準(zhun)的(de)(de)原則制(zhi)(zhi)定(ding)。制(zhi)(zhi)造廠(chang)有責任(ren)確定(ding)是否需(xu)要由一個(ge)獨立的(de)(de)組織(zhi)機構對(dui)產(chan)(chan)(chan)品(pin)制(zhi)(zhi)造廠(chang)的(de)(de)質量體(ti)系進行注(zhu)冊(ce)/或認證。采(cai)(cai)購(gou)方(fang)在(zai)制(zhi)(zhi)造廠(chang)的(de)(de)場所應(ying)能得(de)到(dao)演(yan)示程(cheng)序(xu)符合性的(de)(de)詳細文(wen)件。應(ying)采(cai)(cai)購(gou)方(fang)的(de)(de)請求,采(cai)(cai)購(gou)方(fang)可以(yi)得(de)到(dao)產(chan)(chan)(chan)品(pin)制(zhi)(zhi)造廠(chang)提供的(de)(de)其所使用的(de)(de)該質量體(ti)系程(cheng)序(xu)的(de)(de)書(shu)面概括說明。所謂(wei)產(chan)(chan)(chan)品(pin)制(zhi)(zhi)造廠(chang)是指按(an)本標準(zhun)標志或識(shi)別要求顯示在(zai)產(chan)(chan)(chan)品(pin)上(shang)的(de)(de)完整廠(chang)名和商標。


 8. 修約


   為(wei)了確定(ding)符合(he)于本標準的(de)(de)目的(de)(de),確定(ding)有效(xiao)數(shu)字值(zhi)(最(zui)大極限值(zhi)或最(zui)小(xiao)極限值(zhi))的(de)(de)修約(yue),規定(ding)應(ying)按ASTME29予(yu)以“圓整”。十進制的(de)(de)小(xiao)數(shu)值(zhi)和公差(cha)并(bing)不包含特殊(shu)的(de)(de)測量方法。


 9. 壓力等級(ji)標(biao)志


   磅級(ji)(后面緊跟尺寸數字)是(shi)壓力-溫度等級(ji)的標志。對于本(ben)標準中所引用的ASME B16.5法蘭的標準,其(qi)標志為磅級(ji)150、300、900、1500及2500。



二、 壓力等級(ji)


 1. 等級的(de)基準

 

   按本標(biao)準所規(gui)定的(de)管(guan)件(jian)的(de)允許壓力(li)等級,可以根據ASME B31《壓力(li)管(guan)道規(gui)范》中(zhong)所規(gui)定的(de)規(gui)程,按等同材料(按相(xiang)應(ying)(ying)材料規(gui)范的(de)化(hua)學成分和(he)機械性能(neng)比(bi)較(jiao)所得出的(de))的(de)直無(wu)縫管(guan)來計算。為了計算,應(ying)(ying)使用與(yu)管(guan)件(jian)相(xiang)當的(de)管(guan)子規(gui)格(ge)(ge)、壁(bi)厚(hou)(hou)及材料的(de)應(ying)(ying)用數據。管(guan)件(jian)上的(de)管(guan)子規(gui)格(ge)(ge)、壁(bi)厚(hou)(hou)(或壁(bi)厚(hou)(hou)系列號)和(he)材料標(biao)志(zhi)與(yu)壓力(li)等級標(biao)志(zhi)有關。


 2. 管(guan)件的設計


   管件的(de)設(she)計應按美國全國范圍內公認的(de)壓力容(rong)器(qi)或(huo)(huo)管道規范中(zhong)所包含(han)的(de)數(shu)學(xue)分(fen)析方(fang)法(fa)(例(li)如(ru),對彎頭按ASME B16.49)來(lai)確定,或(huo)(huo)按制造廠(chang)的(de)意見,根據本(ben)標準的(de)第9章采用驗(yan)證試驗(yan)方(fang)法(fa)進行。為了滿足設(she)計或(huo)(huo)制造要求(qiu),可(ke)(ke)以(yi)預料,成型管件某些(xie)部分(fen)的(de)壁厚(hou)(hou)(hou)可(ke)(ke)能需要比打算(suan)使(shi)用該管件的(de)管子壁厚(hou)(hou)(hou)要厚(hou)(hou)(hou)。如(ru)果(guo)使(shi)用,數(shu)學(xue)分(fen)析可(ke)(ke)以(yi)考慮這些(xie)較(jiao)厚(hou)(hou)(hou)部分(fen)。在制造的(de)現(xian)場應能得到數(shu)學(xue)分(fen)析和/或(huo)(huo)合(he)格的(de)驗(yan)證試驗(yan)結(jie)果(guo)的(de)記錄以(yi)供采購方(fang)檢(jian)查(cha)。



三、規(gui)格


   公(gong)稱管件規格(ge)的代號(hao)是NPS后跟無因次(ci)的數(shu)字。NPS與國際標準中所使用的標準公(gong)稱通徑DN有(you)關(guan),它們(men)之間的關(guan)系見表20-40。


40.jpg



四(si)、材料


   本標準(zhun)所包括的(de)鍛(duan)制(zhi)(zhi)管(guan)(guan)件(jian)應遵循(xun) ASTM A234、A403、A420、A815、B361、B363和(he)B366或ASME 鍋(guo)爐和(he)壓力容(rong)器規(gui)范第II卷中所列出的(de)相應標準(zhun)。術語“鍛(duan)制(zhi)(zhi)”是(shi)指管(guan)(guan)件(jian)是(shi)由管(guan)(guan)子(zi)、管(guan)(guan)材、板材或鍛(duan)件(jian)制(zhi)(zhi)造的(de)。由鍛(duan)坯制(zhi)(zhi)造的(de)管(guan)(guan)件(jian)只能(neng)根據制(zhi)(zhi)造廠和(he)采購方(fang)的(de)協議(yi)供貨。這種管(guan)(guan)件(jian)不需(xu)要(yao)符合20.4.7條表(biao)面輪廓的(de)要(yao)求。



五、尺寸


 1. 標(biao)準尺寸


  本標準為管件的(de)焊接端(duan)提(ti)供了固定(ding)位置,不(bu)論(lun)是(shi)相對于(yu)管件的(de)中(zhong)心線還是(shi)總尺寸,其位置都不(bu)變(bian)。


  管件尺(chi)寸分米(mi)制和(he)英制兩個系列。


   a. 米制(zhi)尺(chi)寸(cun)的(de)長半徑彎頭型(xing)式見(jian)圖(tu)(tu)20-33,尺(chi)寸(cun)見(jian)表(biao)20-41;英制(zhi)尺(chi)寸(cun)的(de)長半徑彎頭型(xing)式見(jian)圖(tu)(tu)20-33,尺(chi)寸(cun)見(jian)表(biao)20-42。


   b. 米制(zhi)(zhi)尺(chi)(chi)寸(cun)(cun)的長半(ban)徑異徑彎頭(tou)型(xing)(xing)式見(jian)圖20-34,尺(chi)(chi)寸(cun)(cun)見(jian)表(biao)20-43;英制(zhi)(zhi)尺(chi)(chi)寸(cun)(cun)的長半(ban)徑異徑彎頭(tou)型(xing)(xing)式見(jian)圖20-34,尺(chi)(chi)寸(cun)(cun)見(jian)表(biao)20-44。



   c. 米制尺寸(cun)(cun)的(de)長半徑180°彎頭(tou)型式見圖20-35,尺寸(cun)(cun)見表20-45;英制尺寸(cun)(cun)的(de)長半徑180°彎頭(tou)型式見圖20-35,尺寸(cun)(cun)見表20-46。


45.jpg


   d. 米制(zhi)尺寸(cun)的(de)短半徑彎(wan)頭型式(shi)見(jian)圖20-36,尺寸(cun)見(jian)表20-47;英制(zhi)尺寸(cun)的(de)短半徑彎(wan)頭型式(shi)見(jian)圖20-36,尺寸(cun)見(jian)表20-48。


47.jpg


   e. 米制尺寸(cun)的(de)短半徑(jing)180°彎頭(tou)型式(shi)見(jian)圖20-37,尺寸(cun)見(jian)表20-49;英(ying)制尺寸(cun)的(de)短半徑(jing)180°彎頭(tou)型式(shi)見(jian)圖20-37,尺寸(cun)見(jian)表20-50。


49.jpg

   f. 米制尺(chi)(chi)寸等(deng)徑三通和四通型式見(jian)圖20-38,尺(chi)(chi)寸見(jian)表20-51;英制尺(chi)(chi)寸等(deng)徑三通和四通型式見(jian)圖20-38,尺(chi)(chi)寸見(jian)表20-52。


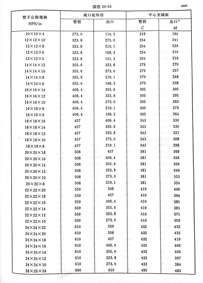
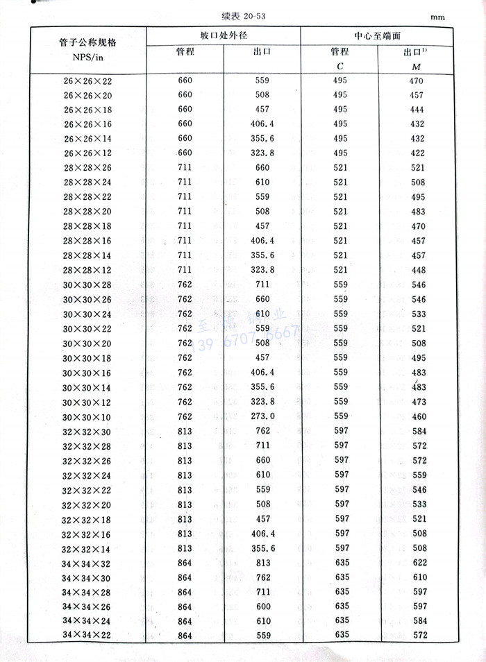
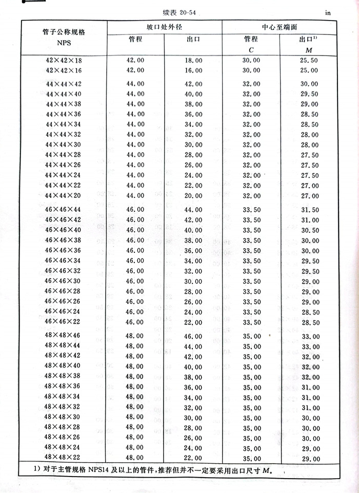
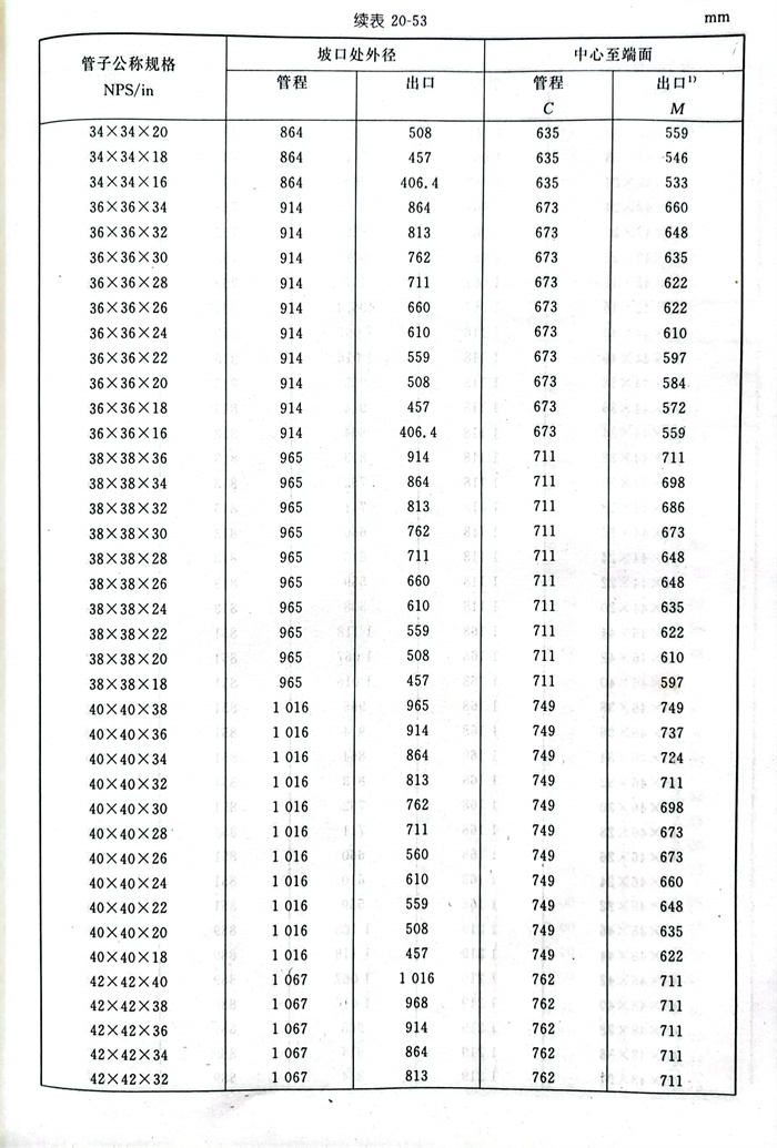
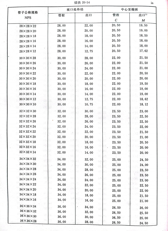
   g. 米制尺(chi)寸異徑出(chu)口(kou)(kou)三通和異徑出(chu)口(kou)(kou)四通型(xing)式(shi)見(jian)(jian)圖20-39,尺(chi)寸見(jian)(jian)表20-53;英制尺(chi)寸異徑出(chu)口(kou)(kou)三通和異徑出(chu)口(kou)(kou)四通型(xing)式(shi)見(jian)(jian)圖20-39,尺(chi)寸見(jian)(jian)表20-54。



   h. 米制搭接(jie)短節型式見圖20-40,尺寸(cun)見表20-55;英(ying)制搭接(jie)短節型式見圖20-40,尺寸(cun)見表20-56。



55.jpg

    ①. 當(dang)(dang)短(duan)形短(duan)節(jie)用300磅(bang)(bang)級和600磅(bang)(bang)級的(de)(de)較大法蘭(lan)(lan)(lan)及大于等于900磅(bang)(bang)級的(de)(de)大部分規格法蘭(lan)(lan)(lan)時(shi);當(dang)(dang)長形短(duan)節(jie)用1500磅(bang)(bang)級和2500磅(bang)(bang)級的(de)(de)較大法蘭(lan)(lan)(lan)時(shi),為了避免法蘭(lan)(lan)(lan)可(ke)能覆蓋焊縫(feng),可(ke)能需要(yao)增(zeng)加(jia)搭接長度(du)。長度(du)的(de)(de)增(zeng)加(jia)量由(you)制造廠與采購方雙方協商。

    ②. 當采用榫槽面(mian),凹凸面(mian)特殊端面(mian)時,必須增(zeng)加(jia)(jia)搭接邊的厚度,增(zeng)加(jia)(jia)厚度應(ying)在(zai)基本長度F之外(不包括在(zai)基本長度內)。

    ③. 這(zhe)些尺(chi)寸(cun)應與ASME B16.5《管(guan)道(dao)法(fa)蘭(lan)(lan)和法(fa)蘭(lan)(lan)管(guan)配件(jian)》中搭接法(fa)蘭(lan)(lan)的規定半徑相(xiang)符。

    ④. 該尺寸與(yu)ASMEB16.5中(zhong)表示(shi)的標準(zhun)機加工面(mian)(mian)一(yi)致。折邊的背面(mian)(mian)應進行(xing)機加工,使與(yu)其(qi)安裝表面(mian)(mian)一(yi)致。當(dang)采(cai)用(yong)環(huan)連接密封面(mian)(mian)時,使用(yong)ASME B16.5中(zhong)給出(chu)的尺寸K。

56.jpg

    ①. 當(dang)短(duan)形(xing)(xing)短(duan)節(jie)用300磅(bang)級(ji)和600磅(bang)級(ji)的(de)較大法(fa)(fa)蘭(lan)(lan)及大于等于900磅(bang)級(ji)的(de)大部分(fen)規格法(fa)(fa)蘭(lan)(lan)時;當(dang)長(chang)形(xing)(xing)短(duan)節(jie)用1500磅(bang)級(ji)和2500磅(bang)級(ji)的(de)較大法(fa)(fa)蘭(lan)(lan)時,為(wei)了(le)避免法(fa)(fa)蘭(lan)(lan)可(ke)能覆蓋焊縫,可(ke)能需要增加(jia)搭接管的(de)長(chang)度。長(chang)度的(de)增加(jia)量由(you)制造(zao)廠(chang)與采購方(fang)(fang)雙(shuang)方(fang)(fang)協商(shang)。

    ②. 當采用如榫槽面,凹凸面特殊端面時,必須增加搭接(jie)邊的厚(hou)度(du),增加厚(hou)度(du)應在(zai)基本(ben)長度(du)F之外(不包括在(zai)基本(ben)長度(du)內)。

    ③. 這些尺寸應與ASME B16.5《管(guan)道(dao)法(fa)蘭(lan)和法(fa)蘭(lan)管(guan)配件》中塔接法(fa)蘭(lan)的規定(ding)半(ban)徑相(xiang)符。

    ④. 該尺寸與ASME B16.5中表(biao)示的(de)(de)標準機加工面一致(zhi)。折邊的(de)(de)背面應進行(xing)機加工,使與其安(an)裝(zhuang)表(biao)面一致(zhi)。當采用(yong)環(huan)連接密封(feng)面時,使用(yong)ASMEB16.5中給出(chu)的(de)(de)尺寸K。


   i. 米制(zhi)管蓋(gai)(gai)型式見(jian)(jian)圖20-41,尺寸(cun)見(jian)(jian)表20-57;英制(zhi)管蓋(gai)(gai)型式見(jian)(jian)圖20-41,尺寸(cun)見(jian)(jian)表20-58。


   j. 米制異徑接頭型式見圖20-42,尺寸(cun)見表(biao)20-59;英制異徑接頭見圖20-42,尺寸(cun)見表(biao)20-60。



 2. 特殊尺寸


  a. 疲勞載荷(he)


    對于(yu)涉及疲勞載荷的(de)應(ying)用情況,采購方應(ying)提(ti)供所要求的(de)最小尺寸(cun)。


  b. 鉆孔直徑


    不在端(duan)部(bu)的(de)鉆孔(kong)直徑不作(zuo)規定。如(ru)果(guo)需要(yao)特殊的(de)流程要(yao)求(qiu),采購方應(ying)規定鉆孔(kong)尺寸(cun)。


  C. 短節


    使用條件和接頭結構通常支(zhi)配(pei)短(duan)節長度(du)要求。因此,在(zai)訂購(gou)時,采購(gou)方(fang)必(bi)須(xu)規定(ding)是(shi)長形還是(shi)短(duan)形管件。



六、公(gong)差(cha)


  管(guan)件(jian)公(gong)差(cha)有米(mi)(mi)制尺(chi)寸公(gong)差(cha)及英(ying)制尺(chi)寸公(gong)差(cha)兩種。米(mi)(mi)制管(guan)件(jian)公(gong)差(cha)見(jian)圖(tu)20-43及表(biao)20-61;英(ying)制管(guan)件(jian)公(gong)差(cha)見(jian)圖(tu)20-43及表(biao)20-62。


    ①. 端(duan)部內徑和公稱壁厚由采購方規(gui)定。

    ②. 除非采購方規定各種壁厚公差否則就采用公稱壁厚的87.5%,見圖20-45的腳注1)(a)。

    ③. 不圓度為正偏差和負偏差絕對值之和。

    ④. 當需要增加壁厚以滿足20.4.2.2條的設計要求時,該公差可能不適用于成型管件的固定區域。

    ⑤. 除非采購方另有規定,否則這些公差適用于公稱內徑等于公稱外徑減去兩倍公稱壁厚的場合。

    ⑥. 筒部外徑的極限尺寸見表20-55。


62.jpg

    ①. 端部內徑和公稱壁厚由采購方規定。

    ②. 除非采購方規定各種壁厚公差否則就采用公稱壁厚的87.5%。見圖20-45的腳注1)(a)。

    ③. 不圓度為正偏差和負偏差絕對值之和。

    ④. 當需要增加壁厚以滿足20.4.2.2條的設計要求時,該公差可能不適用于成型管件的固定區域。

    ⑤. 除非采購方另有規定,這些公差適用于公稱內徑(等于公稱外徑減去兩倍公稱壁厚)的場合。

    ⑥. 筒部外徑的極限尺寸見表20-56。



七、表面(mian)輪(lun)廓線(xian)


   當管件上相鄰的(de)開(kai)孔不(bu)在(zai)平行平面(mian)上,應用一段圓弧或半徑將外表面(mian)連接上。圓弧或半徑可以終止在(zai)切點處。除作為鍛坯提供的(de)管件外(見20.4.4條(tiao)),管件外表面(mian)的(de)設計(ji)輪廓應無尖銳的(de)橫斷圓弧及/或折疊圓弧。



八(ba)、端部制備


  除(chu)非另有規定,管件焊接(jie)端(duan)部的(de)制(zhi)備(包括(kuo)焊接(jie)端(duan)部坡(po)口形狀及尺(chi)寸以及焊接(jie)端(duan)部過渡部分的(de)最大包絡線)按以下(xia)規定:


   a. 焊接(jie)端(duan)部坡口形(xing)狀及(ji)尺(chi)寸見圖20-44,焊接(jie)坡口和(he)鈍邊見表20-63。


   b. 焊接(jie)端部過(guo)渡(du)部分的最大包絡線見圖(tu)20-45。


   除圖(tu)20-45(焊接端(duan)部(bu)過(guo)渡(du)段的(de)最大(da)包(bao)(bao)絡(luo)線)腳(jiao)注5)所包(bao)(bao)括情況或除非特殊訂貨(huo)外,在圖(tu)20-45所示的(de)最大(da)包(bao)(bao)絡(luo)線的(de)范圍內(nei),由(you)(you)焊接坡口到管件的(de)外表(biao)面、以及由(you)(you)鈍邊到管件的(de)內(nei)表(biao)面的(de)過(guo)渡(du),由(you)(you)制造廠自(zi)定。





九、設計驗證試驗


 1. 要求(qiu)的試驗


   當制造廠(chang)選擇驗證試驗以考核(he)管(guan)件設計質量(liang)時,應(ying)按本(ben)標準的(de)(de)規定(ding)進行(xing)驗證試驗。除非(fei)制造廠(chang)和采購方之間另有協議,驗證試驗應(ying)是依據管(guan)件及其他連接管(guan)道(dao)的(de)(de)計算爆破壓力進行(xing)的(de)(de)一種試驗。


   搭(da)接短節免做(zuo)驗(yan)證(zheng)試驗(yan)。因為搭(da)接短節在法(fa)蘭組件中使(shi)用,它有著不(bu)同(tong)的(de)壓力(li)等級,并取決于操(cao)作要(yao)求(qiu)。


 2. 試驗組裝件


   a.樣品件(jian) 作為產品樣品并已經被選來作試驗(yan)的(de)管件(jian),應(ying)驗(yan)明材(cai)料、等級和批量,包括(kuo)熱處理。管件(jian)應(ying)經過尺(chi)寸檢(jian)驗(yan),并符合本標(biao)準的(de)要求。


   b. 其他(ta)零件應將計算爆破壓力(li)至少(shao)與(yu)按(an)20.4.9.3條規(gui)定計算得出的(de)驗(yan)證試驗(yan)壓力(li)同樣大小(xiao)的(de)直無縫管(guan)或(huo)焊接管(guan)的(de)管(guan)段焊接到(dao)待(dai)試驗(yan)的(de)管(guan)件各端(duan)。任何(he)內圓不圓度(du)(du)大于1.5 mm(0.06 in.)的(de)管(guan)子都應采用斜度(du)(du)不大于1:3的(de)鏜削加工,減少(shao)其不圓度(du)(du)。這些管(guan)段的(de)截止(zhi)長度(du)(du)按(an)以下規(gui)定:


    對于NPS 14(DN 350)及以下的(de)(de)管件,管子的(de)(de)最小長度(du)應與管子的(de)(de)外徑相等。


    對于大于NPS 14(DN 350)的管(guan)(guan)件,管(guan)(guan)子(zi)的最小長度應為管(guan)(guan)子(zi)外徑的一半。


 3. 試驗方法(fa)


   水壓試(shi)(shi)(shi)驗(yan)(yan)(yan)用的(de)(de)試(shi)(shi)(shi)驗(yan)(yan)(yan)流體(ti)(ti)應(ying)為水或其(qi)他液體(ti)(ti)。應(ying)對試(shi)(shi)(shi)驗(yan)(yan)(yan)組裝件(jian)施(shi)加水壓。當試(shi)(shi)(shi)驗(yan)(yan)(yan)組裝件(jian)能經受住按下式計算得到(dao)的(de)(de)驗(yan)(yan)(yan)證試(shi)(shi)(shi)驗(yan)(yan)(yan)壓力的(de)(de)105%而不發生(sheng)破裂時(shi),即滿足驗(yan)(yan)(yan)證試(shi)(shi)(shi)驗(yan)(yan)(yan)要求。


      P=2 St/D


      式(shi)中:D-管子的(de)公稱外徑;


     P-管(guan)子的最小計算(suan)驗(yan)(yan)證(zheng)試驗(yan)(yan)壓力(li);


     S-試(shi)驗(yan)管件的(de)實(shi)測抗(kang)(kang)(kang)拉強(qiang)(qiang)度,該抗(kang)(kang)(kang)拉強(qiang)(qiang)度從試(shi)驗(yan)管件的(de)有代表性的(de)樣品(pin)上(shang)測出。試(shi)驗(yan)管件的(de)實(shi)測抗(kang)(kang)(kang)拉強(qiang)(qiang)度應(ying)滿足(zu)20.4.4條中所規定的(de)適用材料的(de)抗(kang)(kang)(kang)拉強(qiang)(qiang)度要求。


     t一管件標志(zhi)識別的公稱管壁厚度。


     注:可使用(yong)任(ren)何(he)一種和(he)尺寸(cun)上(shang)相符合(he)的(de)單位制(zhi)。


 4. 試驗結(jie)果的可用性


  不需要對規(gui)格、壁厚及材料的(de)所(suo)有組合(he)管件進行(xing)逐一試驗。在一個代(dai)表性管件上得出的(de)合(he)格驗證試驗可代(dai)表以下所(suo)述范圍內的(de)其他相(xiang)同形(xing)式的(de)管件。


  a. 規(gui)格(ge)范圍(wei)


   一個試(shi)驗(yan)管(guan)件可用(yong)來評定或考(kao)核規(gui)格(ge)為試(shi)驗(yan)管(guan)件規(gui)格(ge)的0.5倍(bei)到(dao)2倍(bei)的類似比例的管(guan)件。非異徑管(guan)件試(shi)驗(yan)可用(yong)以對相同模型的等徑管(guan)件進(jin)行評定或考(kao)核。


  b. 厚度范圍


   一個(ge)試驗(yan)管件可以用來對(dui)t/D比(bi)值為試驗(yan)管件的(de)(de)0.5倍到3倍的(de)(de)類似比(bi)例的(de)(de)管件進行(xing)評定或考核(he)。


  c. 材料等級


   由各種級(ji)別鋼材制造(zao)的(de)幾(ji)何尺寸相同(tong)的(de)管(guan)(guan)件(jian)(jian),其(qi)承壓能力直接與各種級(ji)別材料的(de)抗(kang)拉強度成正比,見(jian)20.4.2.1條。因此,只需試(shi)驗單(dan)一(yi)材料級(ji)別的(de)樣品管(guan)(guan)件(jian)(jian)以驗證該管(guan)(guan)件(jian)(jian)的(de)設計。



十、產品試驗


   本標準不要(yao)求(qiu)對鍛鋼(gang)管件進(jin)行水(shui)壓試(shi)驗(yan)。所有管件都應能承受與該(gai)管件的NPS、壁(bi)厚(hou)及標志在管件上的材料級(ji)別相當的無縫鋼(gang)管適用(yong)規范(fan)所要(yao)求(qiu)的水(shui)壓試(shi)驗(yan)壓力,而(er)無泄漏(lou)或(huo)有損(sun)使用(yong)性(xing)能的缺陷。



十一、標志


 1. 標準(zhun)標志(zhi)


  每個管件都(dou)應作(zuo)永久性標志以表明以下內(nei)容:


   a. 制造廠的名稱或商標(biao);


   b. 材(cai)料標識,ASTM或(huo)ASME級(ji)別(bie)符號;


   c. 壁厚序列號(hao)或以mm為(wei)單位的公稱壁厚;


   d. 規格(ge)一(yi)一(yi)應使用與(yu)端部連(lian)接有關的管子公稱(cheng)規格(ge)(NPS)識別(bie)號;


   e. 符合性(xing)一一對于標準(zhun)管件和特殊(shu)管件標志見(jian)20.4.11.4條。


  制(zhi)造(zao)廠可采用包括(kuo)DN規格符號(hao)等其(qi)他標志來補充強制(zhi)性(xing)標志,但(dan)是應避(bi)免與要求的標志混淆。


  注:壁厚(hou)系(xi)列(lie)號是(shi)在訂購管(guan)子和管(guan)件(jian)時使用(yong)的(de)一(yi)種方便的(de)代號,是(shi)一(yi)個(ge)無尺寸(cun)單位的(de)數字(zi)。它(ta)通常與一(yi)組標準管(guan)壁厚(hou)有聯系(xi)。對(dui)于管(guan)子的(de)壁厚(hou)系(xi)列(lie)號的(de)整個(ge)細節見 ASME B36.10M及ASME B36.19M。


 2. 例外情況


  當管(guan)件(jian)的規(gui)格不允許進行完整標(biao)志時,可(ke)逆上述內容(rong)順序省略識別標(biao)識。


 3. 鋼印深度


   在使用鋼(gang)印(yin)處,應(ying)注意鋼(gang)印(yin)不要過深或太尖(jian)而產生裂紋或使管件的(de)壁厚(hou)減少到小(xiao)于允許的(de)最小(xiao)壁厚(hou)。


 4. 符合性


  a. 標(biao)準管件


   按符合(he)本標(biao)準制造(zao)的管件,包括所有尺(chi)寸在(zai)內,在(zai)材(cai)料(liao)級別號標(biao)志中加“WP”前(qian)綴進行識(shi)別。


  b. 特殊管件


   按符合本標準制造的(de)管件,除(chu)了(le)尺寸要求是按采購方和制造廠之(zhi)間的(de)協議外,用(yong)補(bu)充后(hou)綴至如下材料級別(bie)(bie)號(hao)標志中來進行識別(bie)(bie):


   對于符合 ASTM A234、A403、A420及A815的管件,采用(yong)“S9”標志;


   對于符合ASTM B361、B363及B366的(de)管件,采用“SPLD”標志(zhi)。




聯系方式.jpg