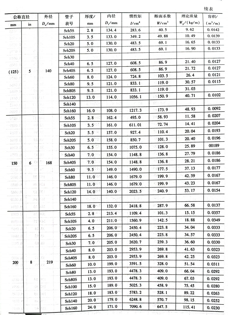
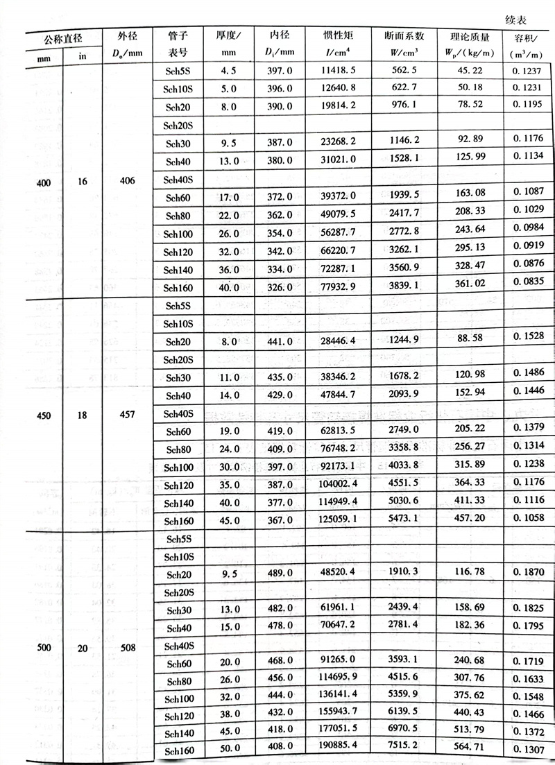
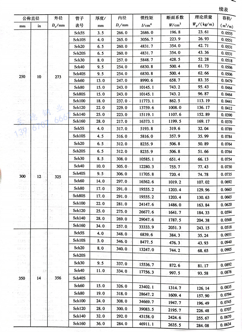
中國石化行業標準碳素鋼、低合金鋼、合金鋼、奧氏體不銹(xiu)鋼無縫鋼管尺寸及特性數據見表4.1.14。
表4.1.14 中國(guo)石化行業(ye)標準碳(tan)素鋼(gang)、低(di)合金鋼(gang)、合金鋼(gang)、奧(ao)氏體不銹(xiu)鋼(gang)無縫鋼(gang)管尺寸及特(te)性數據
發布日期:2024-05-06 14:42:09 人氣:366
中國石化行業標準碳素鋼、低合金鋼、合金鋼、奧氏體不銹(xiu)鋼無縫鋼管尺寸及特性數據見表4.1.14。
表4.1.14 中國(guo)石化行業(ye)標準碳(tan)素鋼(gang)、低(di)合金鋼(gang)、合金鋼(gang)、奧(ao)氏體不銹(xiu)鋼(gang)無縫鋼(gang)管尺寸及特(te)性數據