一、氮的固相溶解度模型


  一般而言,不銹鋼熔體在凝固過程中首先生成δ-Fe相,而氮在δ-Fe中的溶解度遠低于在液相和奧氏體相中的溶解度(如圖2-42所示,容易使鋼中的氮析出并形成氮氣孔。因此,探究影響固相中氮溶解度的因素,并建立合理的固相溶解度模型,對高氮不銹(xiu)鋼(gang)的成分設計和凝固過程的控制具有重要意義。


圖 42.jpg



  根據(ju) Hillert和Staffansson的正規溶(rong)體(ti)模型(xing),每(mei)個(ge)狀態(相、間(jian)隙(xi)溶(rong)液和空(kong)位(wei)等)可(ke)(ke)由相應的能量(liang)表示(shi),可(ke)(ke)使用(yong)兩(liang)個(ge)晶(jing)格,分(fen)別當作溶(rong)質(zhi)原(yuan)子和間(jian)隙(xi)溶(rong)質(zhi)原(yuan)子。因為(wei)大量(liang)的間(jian)隙(xi)位(wei)置(zhi)不被占(zhan)用(yong),這些(xie)空(kong)位(wei)則被視為(wei)額外的元素(Va).基于此模型(xing),可(ke)(ke)建立氮在固相高氮不銹鋼體(ti)系中(zhong)的溶(rong)解度(du)模型(xing),以預測氮在固相中(zhong)的平(ping)衡(heng)氮含量(liang)或飽(bao)和滲氮量(liang)并(bing)分(fen)析其影響(xiang)因素。


 考(kao)慮到固態與(yu)熔體的不同,以Fe-Cr-Mn-N合金體系為(wei)例(li),在固態合金中各元素的摩爾分數(shu)(shu)(xN、xi)可以轉化為(wei)相應的位置分數(shu)(shu)(yN、yi):


81.jpg


   由于固相體系中氮的溶解度與晶體結構、間隙原子晶格位置等密切相關,需要分別針對典型的γ、δ和α相區建立氮溶解度模型。


 1. 氮在(zai)γ相中(zhong)固相溶解度模型的建立


   對于Fe-Cr-Mn-N系合金體系,在固態(tai)奧(ao)氏(shi)體(面心立方結(jie)構)相區,氣相和奧(ao)氏(shi)體相的平衡方程可表達(da)為(wei)



 2. 氮在δ相和α相中固相溶解度模型的建立


  對于Fe-Cr-Mn-N系合金體(ti)系,在鐵(tie)素體(ti)相(xiang)(體(ti)心(xin)立方(fang)(fang)結(jie)構)中,鐵(tie)晶格中每(mei)個填入間(jian)隙(xi)(xi)位(wei)(wei)(wei)置的氮(dan)原(yuan)子(zi)都會阻礙該(gai)間(jian)隙(xi)(xi)位(wei)(wei)(wei)置的最(zui)近鄰的三個間(jian)隙(xi)(xi)位(wei)(wei)(wei)置被其他氮(dan)原(yuan)子(zi)占據。因(yin)此,氣相(xiang)與鐵(tie)素體(ti)相(xiang)的平(ping)衡方(fang)(fang)程可表達為下式:



 3. 合金中奧氏體數量和液相線(xian)的確定


  明確(que)合(he)金(jin)凝固過程的相(xiang)轉(zhuan)變,是(shi)通過模型計(ji)算(suan)氮固相(xiang)溶解度(du)的一個重(zhong)要(yao)(yao)基礎。其中,確(que)定(ding)鋼(gang)種的液相(xiang)線溫(wen)度(du)TL和奧氏體(ti)與(yu)鐵素體(ti)的數(shu)量或比例尤(you)為重(zhong)要(yao)(yao)。近年來,研究(jiu)人員利用(yong)熱(re)力(li)(li)學(xue)數(shu)據計(ji)算(suan)了(le)合(he)金(jin)元素與(yu)相(xiang)平(ping)衡(heng)的關(guan)系,以鋼(gang)的化學(xue)成分和熱(re)處理溫(wen)度(du)作為計(ji)算(suan)奧氏體(ti)數(shu)量的基礎,根據SGTE熱(re)力(li)(li)學(xue)數(shu)據庫進(jin)行(xing)計(ji)算(suan),得出奧氏體(ti)線性(xing)方程式(shi)如下:


  根據鋼的(de)化(hua)學成分和固(gu)溶(rong)溫度(du),按此方(fang)程(cheng)式即可計(ji)算出(chu)在不同(tong)溫度(du)下(xia)的(de)奧(ao)(ao)(ao)氏體(ti)數(shu)(shu)量(liang)(liang),計(ji)算數(shu)(shu)據與實(shi)驗(yan)結果吻(wen)合得很(hen)好。吳忠忠等利用奧(ao)(ao)(ao)氏體(ti)線性方(fang)程(cheng)和固(gu)溶(rong)實(shi)驗(yan)研究了不同(tong)固(gu)溶(rong)溫度(du)下(xia)各相的(de)含量(liang)(liang),奧(ao)(ao)(ao)氏體(ti)線性方(fang)程(cheng)理論計(ji)算的(de)奧(ao)(ao)(ao)氏體(ti)數(shu)(shu)量(liang)(liang)與實(shi)驗(yan)值吻(wen)合得很(hen)好,精確度(du)很(hen)高。


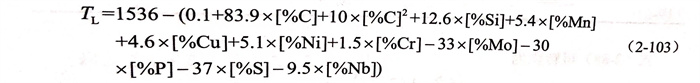
  利用固相(xiang)氮溶(rong)解(jie)(jie)度模型,可(ke)以方便地(di)計(ji)算(suan)(suan)出Fe-Cr-Mn-N系(xi)合金在各溫(wen)度區間的(de)(de)氮溶(rong)解(jie)(jie)度曲(qu)線(xian)。通過(guo)擬合前人的(de)(de)研究成果(guo)和奧(ao)氏體(ti)(ti)(ti)線(xian)性方程(cheng),可(ke)以確定(ding)固相(xiang)中鐵(tie)(tie)素(su)體(ti)(ti)(ti)含(han)量(liang)為(wei)80%是鐵(tie)(tie)素(su)體(ti)(ti)(ti)和奧(ao)氏體(ti)(ti)(ti)的(de)(de)理論分界點,鐵(tie)(tie)素(su)體(ti)(ti)(ti)含(han)量(liang)大于80%為(wei)鐵(tie)(tie)素(su)體(ti)(ti)(ti)區域,該分界點即(ji)為(wei)氮溶(rong)解(jie)(jie)度曲(qu)線(xian)上(shang)鐵(tie)(tie)素(su)體(ti)(ti)(ti)全部轉變為(wei)奧(ao)氏體(ti)(ti)(ti)的(de)(de)拐點。根(gen)據鋼(gang)(gang)種(zhong)(zhong)的(de)(de)液相(xiang)線(xian)溫(wen)度,可(ke)以方便地(di)確定(ding)氮溶(rong)解(jie)(jie)度曲(qu)線(xian)上(shang)由液相(xiang)轉變為(wei)鐵(tie)(tie)素(su)體(ti)(ti)(ti)的(de)(de)拐點溫(wen)度。鋼(gang)(gang)種(zhong)(zhong)不同(tong),液相(xiang)線(xian)溫(wen)度的(de)(de)表達式也不盡相(xiang)同(tong)[54].在本研究中采(cai)用下式來計(ji)算(suan)(suan)鋼(gang)(gang)種(zhong)(zhong)的(de)(de)液相(xiang)線(xian)溫(wen)度TL.


103.jpg


 4. 氮的固相溶(rong)解度模型的驗證


   利用(yong)前人實(shi)(shi)驗(yan)(yan)數據(ju),驗(yan)(yan)證(zheng)氮(dan)的(de)(de)固(gu)相(xiang)溶(rong)解(jie)(jie)度(du)模型(xing)的(de)(de)準確(que)性。李光強等(deng)對(dui)氮(dan)在合(he)(he)金體系中的(de)(de)溶(rong)解(jie)(jie)度(du)進行了實(shi)(shi)驗(yan)(yan)研(yan)究,直接(jie)用(yong)高純氮(dan)氣在1473K、0.1MPa下高溫電阻(zu)爐內進行滲氮(dan)實(shi)(shi)驗(yan)(yan),爐管兩(liang)端封閉以形成穩定的(de)(de)氣氛。該研(yan)究的(de)(de)實(shi)(shi)驗(yan)(yan)鋼種成分和固(gu)相(xiang)滲氮(dan)后(hou)的(de)(de)氮(dan)含(han)量見表2-10。利用(yong)上述氮(dan)溶(rong)解(jie)(jie)度(du)模型(xing)進行計(ji)(ji)算,其理論計(ji)(ji)算值與實(shi)(shi)驗(yan)(yan)值比較(jiao)如圖2-43所示,氮(dan)溶(rong)解(jie)(jie)度(du)的(de)(de)模型(xing)計(ji)(ji)算值與測(ce)量值吻合(he)(he)良好。


  Kunze等對Fe17.26Cr6.42Mn和Fe20.53Cr11.63Mn合(he)金體(ti)系在不同(tong)氮(dan)氣(qi)壓力條(tiao)件下,進行(xing)了低溫奧氏體(ti)、高溫奧氏體(ti)和δ-Fe的(de)(de)固相滲氮實(shi)(shi)驗(yan)(yan)(yan)研究。本模型(xing)的(de)(de)計(ji)(ji)算結(jie)果(guo)與(yu)其實(shi)(shi)驗(yan)(yan)(yan)結(jie)果(guo)的(de)(de)對(dui)比見(jian)圖2-44和圖2-45。從圖中可以看到,實(shi)(shi)驗(yan)(yan)(yan)值與(yu)模型(xing)的(de)(de)計(ji)(ji)算值吻合得很好,尤其在δ-Fe相(xiang)吻合得更好。但(dan)對于(yu)Fe17.26 Cr6.42Mn合金體(ti)系在(zai)(zai)奧(ao)氏體(ti)相(xiang)中(zhong)的(de)實驗點偏(pian)離計算曲線較大,如圖2-44(a)所示。這可能(neng)是由于(yu)在(zai)(zai)建立(li)模型(xing)的(de)過程中(zhong)忽略(lve)了(le)δ-Fe相和(he)γ奧氏(shi)體兩相共存(cun)階段溶解度的(de)計算,導致模型(xing)的(de)計算值(zhi)與(yu)實驗值(zhi)存(cun)在一定的(de)偏差。



表 10.jpg

圖 45.jpg




二(er)、固(gu)相合金體(ti)系中氮溶解(jie)度(du)模型(xing)的相關(guan)研究(jiu)


  面(mian)心立(li)方(fang)結(jie)構鐵(tie)中氮的(de)濃度(du)可由(you)奧(ao)氏體(ti)相與氮氣(qi)之間(jian)的(de)平衡實驗(yan)得到,目(mu)前多(duo)數實驗(yan)都在(zai)912~1394℃范圍內,當溫度(du)更高時,固(gu)體(ti)表面(mian)的(de)氣(qi)體(ti)成(cheng)分具有明(ming)顯的(de)不確定(ding)性。Hillert和Jarl、曲英和Wada-Pehlk等分別給出了(le)鐵(tie)中氮濃度(du)與溫度(du)和氮氣(qi)壓力(li)的(de)關系式(shi):


104.jpg


  Tsuchiyama等(deng)將(jiang)厚度(du)為0.25~3.0mm的Fe-Cr-Mn 系合(he)(he)金(jin)(jin)試(shi)(shi)樣(yang)(yang)置于0.1MPa的氮(dan)氣(qi)氛(fen)中,在1473K溫度(du)下(xia)滲(shen)氮(dan)。滲(shen)氮(dan)60min后(hou),厚度(du)為0.25mm的Fe12.5Cr 合(he)(he)金(jin)(jin)試(shi)(shi)樣(yang)(yang)中滲(shen)氮(dan)反(fan)應達(da)(da)到平(ping)衡(heng),試(shi)(shi)樣(yang)(yang)的平(ping)均氮(dan)含(han)(han)量達(da)(da)到了(le)(le)0.30%,并且試(shi)(shi)樣(yang)(yang)的平(ping)均氮(dan)含(han)(han)量隨(sui)著合(he)(he)金(jin)(jin)中鉻(ge)、錳元(yuan)素含(han)(han)量的增加(jia)而逐漸(jian)增加(jia),對于實驗Fe24.0Cr20.5Mn合(he)(he)金(jin)(jin),滲(shen)氮(dan)反(fan)應平(ping)衡(heng)后(hou)試(shi)(shi)樣(yang)(yang)的平(ping)均氮(dan)含(han)(han)量達(da)(da)到1.95%.此(ci)外,對固(gu)態滲(shen)氮(dan)時鋼中氮(dan)的溶(rong)(rong)解度(du)計算模型(xing)進行了(le)(le)簡化,并通過固(gu)相(xiang)滲(shen)氮(dan)實驗數(shu)據進行修正,給出了(le)(le)1473K、0.1MPa氮(dan)氣(qi)壓力下(xia)Fe-Cr-Mn系不銹鋼中氮(dan)溶(rong)(rong)解度(du)的近(jin)似表(biao)達(da)(da)式(shi):


107.jpg



 在前人研究的(de)基礎上(shang),Kunze和Rothe[50]計算和推導了氮(dan)(dan)(dan)在奧氏(shi)體Fe-Cr-Mn合(he)金(jin)中的(de)溶解度,氮(dan)(dan)(dan)的(de)活度系數(shu)YN(以摩爾分(fen)(fen)數(shu)表(biao)示(shi))與溫度及氮(dan)(dan)(dan)在合(he)金(jin)中的(de)摩爾分(fen)(fen)數(shu)xN存在如(ru)下關系:


  表(biao)2-11給出了1000~1200℃范圍內,N與合(he)金(jin)元素(su)Cr、Mn的活(huo)(huo)度相互(hu)作(zuo)用系(xi)數(shu)和溫(wen)度之間(jian)的關系(xi)。根(gen)據Wagner模型,超額吉(ji)布斯自由能可以(yi)用活(huo)(huo)度相互(hu)作(zuo)用系(xi)數(shu)表(biao)示為


109.jpg


111.jpg


三、固相合(he)金體系中氮(dan)溶解(jie)度(du)的影(ying)響因素


  利用已建立的(de)氮(dan)在(zai)(zai)固相不(bu)銹(xiu)鋼(gang)(gang)中(zhong)的(de)溶解(jie)度(du)模型(xing),可得出高氮(dan)不(bu)銹(xiu)鋼(gang)(gang)在(zai)(zai)凝固過程中(zhong)隨溫(wen)度(du)變(bian)化時(shi)氮(dan)在(zai)(zai)不(bu)同相區的(de)溶解(jie)度(du)變(bian)化曲線,以明晰氮(dan)氣分壓(ya)和鉻(ge)、錳(meng)等典型(xing)合金元素對氮(dan)溶解(jie)的(de)影響。


  研究結果表明,在(zai)(zai)凝固(gu)過(guo)程(cheng)(cheng)中氮(dan)(dan)(dan)的(de)(de)(de)溶(rong)解(jie)度(du)受相(xiang)轉變的(de)(de)(de)影響明顯(xian),在(zai)(zai)相(xiang)變點處氮(dan)(dan)(dan)的(de)(de)(de)溶(rong)解(jie)度(du)會有突(tu)變。隨著鋼(gang)液(ye)溫度(du)的(de)(de)(de)降低(di),氮(dan)(dan)(dan)溶(rong)解(jie)度(du)會逐漸增(zeng)加;在(zai)(zai)凝固(gu)初(chu)期,δ相(xiang)的(de)(de)(de)產(chan)生(sheng)導致(zhi)氮(dan)(dan)(dan)的(de)(de)(de)溶(rong)解(jie)度(du)急(ji)劇降低(di);當鋼(gang)中開始析出(chu)γ相(xiang)時,氮(dan)(dan)(dan)的(de)(de)(de)溶(rong)解(jie)度(du)又會增(zeng)大,并且隨著γ相(xiang)的(de)(de)(de)增(zeng)多(duo),氮(dan)(dan)(dan)的(de)(de)(de)溶(rong)解(jie)度(du)逐漸增(zeng)大。固(gu)液(ye)兩相(xiang)區氮(dan)(dan)(dan)的(de)(de)(de)溶(rong)解(jie)度(du)最(zui)小,在(zai)(zai)析出(chu)的(de)(de)(de)高溫鐵素體(ti)與液(ye)相(xiang)界(jie)面處最(zui)容(rong)易產(chan)生(sheng)氮(dan)(dan)(dan)氣泡(pao)。在(zai)(zai)實際冶煉過(guo)程(cheng)(cheng)中,8相(xiang)區的(de)(de)(de)氮(dan)(dan)(dan)溶(rong)解(jie)度(du)決定了在(zai)(zai)凝固(gu)過(guo)程(cheng)(cheng)中是否產(chan)生(sheng)氮(dan)(dan)(dan)氣孔。


 1. 氮(dan)氣壓力(li)對合金體(ti)系(xi)氮(dan)溶(rong)解度的(de)影響


   我們利用(yong)建立的(de)氮(dan)(dan)在(zai)不(bu)(bu)銹(xiu)鋼熔體(ti)中及氮(dan)(dan)在(zai)γ相(xiang)(xiang)、δ相(xiang)(xiang)和(he)α相(xiang)(xiang)中的(de)溶解度(du)模型,對Fe-18Cr-18Mn合(he)金體(ti)系(xi)(xi)在(zai)不(bu)(bu)同氮(dan)(dan)氣(qi)壓(ya)力(li)(li)(0.02MPa、0.1MPa和(he)0.6MPa)條(tiao)件(jian)下,氮(dan)(dan)在(zai)該(gai)合(he)金體(ti)系(xi)(xi)不(bu)(bu)同相(xiang)(xiang)中的(de)溶解度(du)進(jin)行了計算(suan),結果如圖(tu)2-46所(suo)示。隨著(zhu)體(ti)系(xi)(xi)氮(dan)(dan)氣(qi)壓(ya)力(li)(li)的(de)增加,δ-Fe相(xiang)(xiang)區逐漸(jian)減小(xiao),當氮(dan)(dan)氣(qi)壓(ya)力(li)(li)增至0.6MPa時,8-Fe相(xiang)(xiang)完全(quan)消失,凝(ning)固過程中氮(dan)(dan)直(zhi)接(jie)由液(ye)相(xiang)(xiang)進(jin)入γ奧氏(shi)體(ti)相(xiang)(xiang)區。提(ti)(ti)高(gao)體(ti)系(xi)(xi)氮(dan)(dan)氣(qi)壓(ya)力(li)(li)不(bu)(bu)僅可以提(ti)(ti)高(gao)各相(xiang)(xiang)中氮(dan)(dan)的(de)溶解度(du),還可以減小(xiao)δ-Fe區域,有(you)效(xiao)地(di)抑制凝(ning)固過程中氮(dan)(dan)的(de)析出。目前,常(chang)見(jian)的(de)高(gao)氮(dan)(dan)鋼制備工藝基(ji)本上都是采(cai)用(yong)增加氮(dan)(dan)氣(qi)壓(ya)力(li)(li),如高(gao)壓(ya)氮(dan)(dan)氣(qi)氣(qi)氛下的(de)感應熔煉(lian)、高(gao)壓(ya)氮(dan)(dan)氣(qi)氣(qi)氛下的(de)電渣重熔、高(gao)壓(ya)電弧爐熔煉(lian)等。


 2. 合金成分對合金體系氮溶解度的影響


   研究(jiu)表明(ming),Cr、Mn等(deng)常用合金(jin)元(yuan)素均能增大氮(dan)(dan)(dan)(dan)的(de)固(gu)(gu)相溶(rong)(rong)解(jie)度。為(wei)了探(tan)究(jiu)合金(jin)元(yuan)素含(han)量(liang)(liang)對氮(dan)(dan)(dan)(dan)固(gu)(gu)相溶(rong)(rong)解(jie)度的(de)影響規律,Tsuchiyama等(deng)基于實驗(yan)繪制了1473K、0.1MPa氮(dan)(dan)(dan)(dan)氣(qi)壓力下Fe-Cr和Fe-Mn二元(yuan)合金(jin)的(de)平衡(heng)氮(dan)(dan)(dan)(dan)含(han)量(liang)(liang)與(yu)Cr或Mn含(han)量(liang)(liang)的(de)關(guan)系[圖(tu)2-47(a)].結果表明(ming),提(ti)高兩種(zhong)元(yuan)素的(de)含(han)量(liang)(liang)都增加(jia)(jia)了氮(dan)(dan)(dan)(dan)的(de)溶(rong)(rong)解(jie)度,其中Cr元(yuan)素較Mn元(yuan)素更(geng)能有效地(di)增加(jia)(jia)鋼中氮(dan)(dan)(dan)(dan)的(de)溶(rong)(rong)解(jie)度。例如,添(tian)加(jia)(jia)23%Cr可增加(jia)(jia)平衡(heng)氮(dan)(dan)(dan)(dan)含(han)量(liang)(liang)至(zhi)超高氮(dan)(dan)(dan)(dan)(1%N)的(de)水(shui)平,而添(tian)加(jia)(jia)25%Mn時平衡(heng)氮(dan)(dan)(dan)(dan)含(han)量(liang)(liang)也僅能達到0.15%。圖(tu)2-47(b)所(suo)示的(de)等(deng)氮(dan)(dan)(dan)(dan)含(han)量(liang)(liang)圖(tu)也證實了這一點,達到相同的(de)氮(dan)(dan)(dan)(dan)固(gu)(gu)相溶(rong)(rong)解(jie)度所(suo)需(xu)的(de)Cr含(han)量(liang)(liang)明(ming)顯(xian)低(di)于Mn含(han)量(liang)(liang)。


圖 46.jpg


   即便如此(ci),Mn也是高(gao)氮(dan)鋼中(zhong)一種重(zhong)要的(de)(de)(de)合金元素,因此(ci),Cr和(he)Mn同(tong)時(shi)添加對(dui)(dui)平衡(heng)氮(dan)含(han)(han)量(liang)的(de)(de)(de)影(ying)響也是研究的(de)(de)(de)重(zhong)點之(zhi)一。圖2-47(a)進一步出了Fe-20Mn-Cr三元基合金中(zhong)的(de)(de)(de)平衡(heng)氮(dan)含(han)(han)量(liang)與Cr含(han)(han)量(liang)的(de)(de)(de)關(guan)系(xi)。值得(de)注意(yi)的(de)(de)(de)是,在Fe-20Mn-Cr合金中(zhong)實驗測量(liang)的(de)(de)(de)氮(dan)含(han)(han)量(liang),遠高(gao)于Fe-20Mn與Fe-Cr系(xi)氮(dan)溶解度的(de)(de)(de)加和(he)。這(zhe)意(yi)味著Cr和(he)Mn的(de)(de)(de)協同(tong)作用顯(xian)著提高(gao)了鋼中(zhong)氮(dan)的(de)(de)(de)溶解度。這(zhe)反映了Cr、Mn和(he)N這(zhe)三種元素之(zhi)間存在相互作用,具體表現為溶解度表達(da)式中(zhong)Cr、Mn元素對(dui)(dui)N的(de)(de)(de)二階(jie)交叉活(huo)度相互作用系(xi)數(shu)較大。


   除了合(he)金元(yuan)素含量對氮(dan)溶(rong)解(jie)度高低的(de)影響(xiang),不銹鋼(gang)中不同合(he)金元(yuan)素對凝(ning)固過程中不同相區氮(dan)溶(rong)解(jie)度的(de)變化也具有顯著的(de)影響(xiang),一般可分為兩大類進行討論(lun),即鐵(tie)素體形(xing)成(cheng)元(yuan)素(Cr、Mo和Si等)和奧氏體形(xing)成(cheng)元(yuan)素(Ni、Mn、C和N等)。


   在(zai)0.1MPa下幾種(zhong)Fe-Cr合金中(zhong)氮(dan)(dan)溶(rong)解(jie)(jie)度隨(sui)著(zhu)溫度變化的規律如圖2-42所示。存在(zai)如下特點:隨(sui)著(zhu)凝(ning)固的進行,氮(dan)(dan)溶(rong)解(jie)(jie)度在(zai)8-Fe 區域(yu)出(chu)現突降(jiang),到(dao)奧氏體(ti)區域(yu)氮(dan)(dan)含(han)(han)量又急劇增(zeng)加(jia)。隨(sui)著(zhu)合金中(zhong)Cr含(han)(han)量的增(zeng)加(jia),氮(dan)(dan)溶(rong)解(jie)(jie)度快速上升(sheng),但在(zai)各溫度范圍中(zhong)的上升(sheng)幅度不同,尤其在(zai)奧氏體(ti)區的升(sheng)幅特別(bie)大(da)。當Cr含(han)(han)量高于8.1%時,奧氏體(ti)區的氮(dan)(dan)溶(rong)解(jie)(jie)度已(yi)明顯大(da)于相應液相中(zhong)氮(dan)(dan)的溶(rong)解(jie)(jie)度。同時,隨(sui)著(zhu)Cr含(han)(han)量的提高,凝(ning)固過程中(zhong)8-Fe區域(yu)也逐(zhu)漸增(zeng)大(da)。


   相(xiang)反(fan)地,鋼中(zhong)(zhong)(zhong)(zhong)的(de)(de)奧(ao)氏(shi)體(ti)形(xing)成元(yuan)素(su)(su),可使凝(ning)固(gu)(gu)過程(cheng)(cheng)(cheng)中(zhong)(zhong)(zhong)(zhong) δ-Fe 區(qu)域(yu)逐(zhu)漸(jian)減小。圖(tu)2-48(a)為不同(tong)Mn含(han)量(liang)鋼(合(he)金成分見表2-12)中(zhong)(zhong)(zhong)(zhong)氮(dan)(dan)的(de)(de)溶解(jie)度(du)(du)隨(sui)(sui)溫度(du)(du)變化(hua)的(de)(de)曲線。結果(guo)表明:隨(sui)(sui)著Mn含(han)量(liang)的(de)(de)提高,在(zai)(zai)液相(xiang)與固(gu)(gu)相(xiang)中(zhong)(zhong)(zhong)(zhong)氮(dan)(dan)的(de)(de)溶解(jie)度(du)(du)也會隨(sui)(sui)之增大;Mn是強奧(ao)氏(shi)體(ti)形(xing)成元(yuan)素(su)(su),隨(sui)(sui)著Mn含(han)量(liang)的(de)(de)提高,凝(ning)固(gu)(gu)過程(cheng)(cheng)(cheng)中(zhong)(zhong)(zhong)(zhong)8相(xiang)區(qu)逐(zhu)漸(jian)減小,甚至可能消失。從(cong)圖(tu)中(zhong)(zhong)(zhong)(zhong)8.0%Mn鋼的(de)(de)氮(dan)(dan)溶解(jie)度(du)(du)計算結果(guo)可以(yi)看出(chu),在(zai)(zai)凝(ning)固(gu)(gu)過程(cheng)(cheng)(cheng)中(zhong)(zhong)(zhong)(zhong)未出(chu)現(xian)8相(xiang)區(qu)。同(tong)時(shi),利用建立的(de)(de)固(gu)(gu)相(xiang)氮(dan)(dan)溶解(jie)度(du)(du)模型(xing)對(dui)Fe-4Cr-16Mn合(he)金進行了計算,結果(guo)如圖(tu)2-48(b)所示。從(cong)圖(tu)中(zhong)(zhong)(zhong)(zhong)可以(yi)看出(chu),在(zai)(zai)Fe-4Cr-16Mn合(he)金體(ti)系(xi)從(cong)液相(xiang)凝(ning)固(gu)(gu)的(de)(de)過程(cheng)(cheng)(cheng)中(zhong)(zhong)(zhong)(zhong)也沒有出(chu)現(xian)δ-Fe相(xiang)區(qu),與文獻中(zhong)(zhong)(zhong)(zhong)報道一(yi)致。因(yin)此,適當提高合(he)金體(ti)系(xi)中(zhong)(zhong)(zhong)(zhong)奧(ao)氏(shi)體(ti)形(xing)成元(yuan)素(su)(su)的(de)(de)含(han)量(liang),有助于減少氮(dan)(dan)在(zai)(zai)其凝(ning)固(gu)(gu)過程(cheng)(cheng)(cheng)中(zhong)(zhong)(zhong)(zhong)的(de)(de)析出(chu)趨勢,從(cong)而(er)有效避免(mian)高氮(dan)(dan)鋼在(zai)(zai)凝(ning)固(gu)(gu)過程(cheng)(cheng)(cheng)中(zhong)(zhong)(zhong)(zhong)氮(dan)(dan)氣孔(kong)的(de)(de)形(xing)成。






聯系方式.jpg