漏磁場有(you)兩種(zhong)拾取方法,既可以測量漏磁感(gan)(gan)應(ying)強度(du)的(de)絕對(dui)值,也可以測量漏磁感(gan)(gan)應(ying)強度(du)的(de)梯度(du)值。
磁場傳(chuan)感(gan)(gan)器的(de)作用(yong)是將磁場轉換為電信號。按原理可分為體效應(ying)元件、面效應(ying)元件、P-N節(jie)注入和表面復合效應(ying)元件、量子效應(ying)元件、磁致伸縮效應(ying)元件和光纖磁傳(chuan)感(gan)(gan)器等。磁場傳(chuan)感(gan)(gan)器都(dou)是建立在各種(zhong)效應(ying)和物(wu)理現(xian)象的(de)基礎之上的(de),表3-1給出(chu)了不(bu)同(tong)種(zhong)類磁場傳(chuan)感(gan)(gan)器的(de)測量范圍,它們的(de)敏(min)感(gan)(gan)范圍差異較大。在具體應(ying)用(yong)過程(cheng)中,需要根據(ju)測量對象的(de)特點來選擇適合的(de)傳(chuan)感(gan)(gan)器。
在不銹鋼(gang)管漏磁檢測中,常使用的有下列幾種磁敏傳感器。

1. 各向異(yi)性磁(ci)阻傳感器(qi)
各(ge)向(xiang)(xiang)(xiang)異(yi)性磁(ci)(ci)(ci)(ci)(ci)(ci)阻(zu)(zu)傳感(gan)器 AMR(Anisotropic Magneto-Resistive sensors)由沉積(ji)在硅片上的(de)(de)坡莫合(he)金(Ni80Fe20)薄膜形成(cheng)電(dian)阻(zu)(zu),沉積(ji)時(shi)外加(jia)磁(ci)(ci)(ci)(ci)(ci)(ci)場,形成(cheng)易(yi)磁(ci)(ci)(ci)(ci)(ci)(ci)化(hua)(hua)(hua)軸(zhou)方(fang)向(xiang)(xiang)(xiang)。易(yi)磁(ci)(ci)(ci)(ci)(ci)(ci)化(hua)(hua)(hua)軸(zhou)方(fang)向(xiang)(xiang)(xiang)是指各(ge)向(xiang)(xiang)(xiang)異(yi)性的(de)(de)磁(ci)(ci)(ci)(ci)(ci)(ci)體能獲得最佳(jia)磁(ci)(ci)(ci)(ci)(ci)(ci)性能的(de)(de)方(fang)向(xiang)(xiang)(xiang),也(ye)就(jiu)是無外界磁(ci)(ci)(ci)(ci)(ci)(ci)干擾(rao)時(shi)磁(ci)(ci)(ci)(ci)(ci)(ci)疇整(zheng)齊排列的(de)(de)方(fang)向(xiang)(xiang)(xiang)。鐵磁(ci)(ci)(ci)(ci)(ci)(ci)材(cai)料的(de)(de)電(dian)阻(zu)(zu)與電(dian)流(liu)和磁(ci)(ci)(ci)(ci)(ci)(ci)化(hua)(hua)(hua)方(fang)向(xiang)(xiang)(xiang)的(de)(de)夾角有關(guan),電(dian)流(liu)與磁(ci)(ci)(ci)(ci)(ci)(ci)化(hua)(hua)(hua)方(fang)向(xiang)(xiang)(xiang)平行時(shi)電(dian)阻(zu)(zu)R最大,電(dian)流(liu)與磁(ci)(ci)(ci)(ci)(ci)(ci)化(hua)(hua)(hua)方(fang)向(xiang)(xiang)(xiang)垂直時(shi)電(dian)阻(zu)(zu)Rmin最小,電(dian)流(liu)與磁(ci)(ci)(ci)(ci)(ci)(ci)化(hua)(hua)(hua)方(fang)向(xiang)(xiang)(xiang)成(cheng)0角時(shi),電(dian)阻(zu)(zu)可表示(shi)為
R=Rmin+(Rmax-Rmin)cos2θ (3-2)
在磁(ci)阻傳感(gan)器中,為了消除溫度等外(wai)(wai)界因素對輸出的影(ying)響,一般由4個相同(tong)的磁(ci)阻元(yuan)件構成(cheng)惠斯(si)通電(dian)橋。理論(lun)分(fen)析與(yu)實踐表明,采用45°偏置磁(ci)場(chang)(chang),當沿與(yu)易磁(ci)化軸垂直的方(fang)向(xiang)施加外(wai)(wai)磁(ci)場(chang)(chang),且外(wai)(wai)磁(ci)場(chang)(chang)強度不太(tai)大時(shi),電(dian)橋輸出與(yu)外(wai)(wai)加磁(ci)場(chang)(chang)強度呈線性關系。
2. 磁通門
磁(ci)(ci)(ci)(ci)通門(men)傳感(gan)器(qi)又稱為(wei)磁(ci)(ci)(ci)(ci)飽(bao)和式磁(ci)(ci)(ci)(ci)敏傳感(gan)器(qi),它(ta)是利(li)用某(mou)些高磁(ci)(ci)(ci)(ci)導率(lv)的(de)軟磁(ci)(ci)(ci)(ci)性(xing)材(cai)料(如坡莫(mo)合(he)金)做(zuo)磁(ci)(ci)(ci)(ci)心,以其在交直流磁(ci)(ci)(ci)(ci)場作用下的(de)磁(ci)(ci)(ci)(ci)飽(bao)和特性(xing)以及法拉第電磁(ci)(ci)(ci)(ci)感(gan)應原理研制(zhi)的(de)磁(ci)(ci)(ci)(ci)場測量裝置。
這(zhe)種磁敏(min)傳感器的(de)最大特點是適合測量零(ling)磁場附近的(de)弱磁場。傳感器體積小,重量輕(qing),功耗低,不(bu)受(shou)磁場梯度影響,測量的(de)靈敏(min)度可(ke)達(da)0.01nT,并(bing)且(qie)可(ke)以和磁秤(cheng)混合使用(yong)(yong)(yong)。該(gai)裝置已普遍應用(yong)(yong)(yong)于航空、地(di)面(mian)、測井等方面(mian)的(de)磁法(fa)勘探工作中(zhong)。在軍事上(shang),也可(ke)用(yong)(yong)(yong)于尋找地(di)下武器(炮彈、地(di)雷等)和反潛(qian)。還可(ke)用(yong)(yong)(yong)于預報(bao)天(tian)然地(di)震及空間磁測等。
3. 巨磁阻(zu)元件
物(wu)(wu)質在(zai)一定磁(ci)(ci)場(chang)作用下電(dian)阻發生改變(bian)(bian)的(de)現象,稱為磁(ci)(ci)阻效應(ying)(ying)。磁(ci)(ci)性金(jin)屬(shu)和合金(jin)材料(liao)(liao)一般(ban)都有這種(zhong)現象。一般(ban)情(qing)況下,物(wu)(wu)質的(de)電(dian)阻率在(zai)磁(ci)(ci)場(chang)中(zhong)僅發生微小的(de)變(bian)(bian)化(hua),但在(zai)某種(zhong)條件下,電(dian)阻變(bian)(bian)化(hua)的(de)幅度相當(dang)(dang)大,比通常情(qing)況下高十余倍(bei),稱為巨磁(ci)(ci)阻效應(ying)(ying)(GMR)。這種(zhong)效應(ying)(ying)來自(zi)(zi)于載流電(dian)子(zi)的(de)不(bu)同自(zi)(zi)旋(xuan)狀(zhuang)態與(yu)(yu)磁(ci)(ci)場(chang)的(de)作用不(bu)同,因而(er)導(dao)致電(dian)阻值的(de)變(bian)(bian)化(hua)。GMR是一個量子(zi)力學效應(ying)(ying),它(ta)是在(zai)層(ceng)狀(zhuang)的(de)磁(ci)(ci)性薄(bo)膜結構中(zhong)觀察到(dao)的(de),這種(zhong)結構由鐵(tie)磁(ci)(ci)材料(liao)(liao)和非磁(ci)(ci)材料(liao)(liao)薄(bo)層(ceng)交替疊合而(er)成。當(dang)(dang)鐵(tie)磁(ci)(ci)層(ceng)的(de)磁(ci)(ci)矩相互平行時,載流子(zi)與(yu)(yu)自(zi)(zi)旋(xuan)有關的(de)散(san)射最(zui)(zui)(zui)小,材料(liao)(liao)有最(zui)(zui)(zui)小的(de)電(dian)阻。當(dang)(dang)鐵(tie)磁(ci)(ci)層(ceng)的(de)磁(ci)(ci)矩為反向平行時,與(yu)(yu)自(zi)(zi)旋(xuan)有關的(de)散(san)射最(zui)(zui)(zui)強,材料(liao)(liao)的(de)電(dian)阻最(zui)(zui)(zui)大。
構成(cheng)(cheng)(cheng)GMR磁(ci)(ci)頭(tou)和傳(chuan)感(gan)器的(de)(de)(de)(de)核心元(yuan)件(jian)(jian)是(shi)自旋閥(fa)(spin valve)元(yuan)件(jian)(jian)。它(ta)的(de)(de)(de)(de)基本結構是(shi)由(you)釘扎磁(ci)(ci)性(xing)層(ceng)(如(ru)(ru)Co)、Cu間隔層(ceng)和自由(you)磁(ci)(ci)性(xing)層(ceng)(如(ru)(ru)NiFe等(deng)易(yi)磁(ci)(ci)化(hua)層(ceng))組成(cheng)(cheng)(cheng)的(de)(de)(de)(de)多層(ceng)膜(mo)。由(you)于釘扎磁(ci)(ci)性(xing)層(ceng)的(de)(de)(de)(de)磁(ci)(ci)矩與(yu)自由(you)磁(ci)(ci)性(xing)層(ceng)的(de)(de)(de)(de)磁(ci)(ci)矩之(zhi)間的(de)(de)(de)(de)夾(jia)角發生變化(hua)會導致SV-GMR元(yuan)件(jian)(jian)的(de)(de)(de)(de)電(dian)阻值改變,進(jin)而使輸出(chu)電(dian)流(liu)發生變化(hua)。運用(yong)SV-GMR元(yuan)件(jian)(jian)的(de)(de)(de)(de)磁(ci)(ci)傳(chuan)感(gan)器,其檢測(ce)靈敏度(du)比(bi)使用(yong)MR元(yuan)件(jian)(jian)的(de)(de)(de)(de)高(gao)幾個數量級,更(geng)容易(yi)集成(cheng)(cheng)(cheng)化(hua),封裝(zhuang)尺寸更(geng)小,可(ke)靠性(xing)更(geng)高(gao)。它(ta)不僅可(ke)以(yi)取(qu)代以(yi)前的(de)(de)(de)(de)MR傳(chuan)感(gan)器,還可(ke)以(yi)制成(cheng)(cheng)(cheng)傳(chuan)感(gan)器陣列,實(shi)現智能化(hua),用(yong)來表述(shu)通(tong)行車(che)輛(liang)(liang)、飛機機翼、建筑防護裝(zhuang)置或管(guan)道系(xi)統中隱蔽缺陷(xian)的(de)(de)(de)(de)特征(zheng),跟蹤地磁(ci)(ci)場的(de)(de)(de)(de)異常現象等(deng)。當前,GMR傳(chuan)感(gan)器已在液壓氣缸位(wei)置傳(chuan)感(gan)、真假紙幣識(shi)別、軸(zhou)承編碼、電(dian)流(liu)檢測(ce)與(yu)控制、旋轉位(wei)置檢測(ce)、車(che)輛(liang)(liang)通(tong)行情(qing)況檢測(ce)等(deng)領域得到應(ying)用(yong)。
4. 霍(huo)爾元件
霍爾(er)元件(jian)(jian)在(zai)漏磁檢測中應用較為廣泛。霍爾(er)元件(jian)(jian)是由半導體(ti)材(cai)料制成的一種晶體(ti)。當給晶體(ti)材(cai)料通以電流并置于磁場(chang)之中時,在(zai)晶體(ti)的兩面就會產生電壓,電壓的大小與磁場(chang)強度成正(zheng)比關(guan)系。
固體導(dao)電(dian)材料幾乎可以使電(dian)子(zi)(zi)暢通(tong)無阻地流(liu)過,就像傳(chuan)統的臺球模型演(yan)示的那樣,晶(jing)(jing)體點陣上的離子(zi)(zi)不(bu)會使傳(chuan)導(dao)電(dian)子(zi)(zi)發生(sheng)折(zhe)(zhe)射。當電(dian)流(liu)由晶(jing)(jing)體的一端輸入時,電(dian)子(zi)(zi)或者相互(hu)之間發生(sheng)折(zhe)(zhe)射,或者向著晶(jing)(jing)體的另一端折(zhe)(zhe)射。
根據固體(ti)物理(li)理(li)論可知,晶體(ti)上(shang)的電壓Vh為: Vh=RhIBz/b (3-3)
式中(zhong),1為(wei)所使(shi)用的電(dian)流;Bz為(wei)磁場強度在(zai)垂(chui)直于(yu)電(dian)流方(fang)(fang)向上(shang)的分量;b為(wei)晶體在(zai)磁場方(fang)(fang)向上(shang)的厚度;Rh為(wei)霍爾系數(shu)。
一(yi)般情況下,如(ru)果晶體與(yu)磁場B之(zhi)間(jian)成一(yi)定夾(jia)角,則 B2=Beosθ。
由金屬制成的(de)霍(huo)(huo)爾元件并(bing)不(bu)是最好的(de),因(yin)為金屬的(de)霍(huo)(huo)爾系(xi)(xi)數都很(hen)低。根(gen)據霍(huo)(huo)爾元件工作(zuo)原理,霍(huo)(huo)爾系(xi)(xi)數越(yue)大(da),霍(huo)(huo)爾電壓(ya)也(ye)就越(yue)高。因(yin)此(ci)(ci),在制作(zuo)霍(huo)(huo)爾元件時,一般選(xuan)用元素周期表(biao)中第II和第IV族元素混合(he)制作(zuo),而(er)且(qie)其對溫(wen)度的(de)變(bian)化也(ye)最不(bu)敏感。此(ci)(ci)區域(yu)的(de)元素,載流子一般為空位而(er)不(bu)是電子。
5. 感應線圈(quan)
感(gan)應(ying)(ying)(ying)(ying)線(xian)圈(quan)是鋼管漏磁檢測(ce)中應(ying)(ying)(ying)(ying)用(yong)最為廣泛的磁敏(min)傳(chuan)感(gan)器(qi),主要(yao)有水(shui)平(ping)和(he)垂直線(xian)圈(quan)兩(liang)種布置方式,如圖3-2所示。根據提(ti)離(li)(li)效應(ying)(ying)(ying)(ying)和(he)法拉(la)第(di)電(dian)磁感(gan)應(ying)(ying)(ying)(ying)定(ding)律(lv),為了使檢測(ce)信號與缺(que)陷特征之間具有良好(hao)的對應(ying)(ying)(ying)(ying)關系,感(gan)應(ying)(ying)(ying)(ying)線(xian)圈(quan)提(ti)離(li)(li)距(ju)離(li)(li)以及掃查速度應(ying)(ying)(ying)(ying)盡量保持(chi)恒定(ding)。


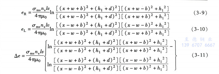
水平線(xian)圈(quan)(quan)以(yi)速度(du)v穿越(yue)缺(que)陷(xian)上部漏磁(ci)場時所(suo)產生的感應電動(dong)勢(shi)應為(wei)(wei)(wei)線(xian)圈(quan)(quan)前沿和尾(wei)部感應電動(dong)勢(shi)之差。設線(xian)圈(quan)(quan)長度(du)為(wei)(wei)(wei)l、寬度(du)為(wei)(wei)(wei)2w、提離值為(wei)(wei)(wei)h1、匝數為(wei)(wei)(wei),線(xian)圈(quan)(quan)前沿產生電動(dong)勢(shi)為(wei)(wei)(wei)SueR,線(xian)圈(quan)(quan)尾(wei)部產生電動(dong)勢(shi)為(wei)(wei)(wei)eL,線(xian)圈(quan)(quan)產生感應電動(dong)勢(shi)為(wei)(wei)(wei)Δe,根據法(fa)拉第電磁(ci)感應定律可(ke)得
此(ci)外,從圖3-3中(zhong)(zhong)(zhong)可(ke)(ke)以看出,水平線(xian)(xian)圈(quan)輸(shu)出感(gan)應(ying)(ying)電(dian)(dian)(dian)(dian)動勢(shi)本質為處(chu)于同(tong)一提離高度的前后導線(xian)(xian)在(zai)同(tong)一時(shi)刻的電(dian)(dian)(dian)(dian)動勢(shi)差動輸(shu)出。因此(ci),感(gan)應(ying)(ying)線(xian)(xian)圈(quan)電(dian)(dian)(dian)(dian)動勢(shi)輸(shu)出與(yu)線(xian)(xian)圈(quan)寬度有關(guan),并(bing)(bing)存在(zai)最(zui)佳(jia)寬度使得(de)線(xian)(xian)圈(quan)輸(shu)出最(zui)大感(gan)應(ying)(ying)電(dian)(dian)(dian)(dian)動勢(shi)。此(ci)時(shi),線(xian)(xian)圈(quan)運動至缺陷(xian)中(zhong)(zhong)(zhong)間(jian)位(wei)置(zhi),并(bing)(bing)且前沿產生正向極(ji)值(zhi)電(dian)(dian)(dian)(dian)動勢(shi)而尾部產生反向極(ji)值(zhi)電(dian)(dian)(dian)(dian)動勢(shi),經過差動后可(ke)(ke)獲(huo)取最(zui)高感(gan)應(ying)(ying)電(dian)(dian)(dian)(dian)動勢(shi)輸(shu)出。根(gen)據(ju)式(3-11),當x=0時(shi),可(ke)(ke)獲(huo)得(de)感(gan)應(ying)(ying)線(xian)(xian)圈(quan)位(wei)于缺陷(xian)中(zhong)(zhong)(zhong)間(jian)位(wei)置(zhi)時(shi)電(dian)(dian)(dian)(dian)動勢(shi)Δeo與(yu)線(xian)(xian)圈(quan)寬度參(can)數(shu)w的關(guan)系式Δeo(w),即


同(tong)樣,設(she)置(zhi)缺(que)(que)陷(xian)寬(kuan)度(du)2b為(wei)(wei)0.5mm,深度(du)d為(wei)(wei)0.75mm以(yi)及感(gan)(gan)應(ying)線(xian)圈(quan)提離(li)高度(du)h1為(wei)(wei)0.25mm,根據式(shi)(3-13)可獲得最佳線(xian)圈(quan)寬(kuan)度(du)參數wo為(wei)(wei)0.3253mm。根據線(xian)圈(quan)最佳寬(kuan)度(du)參數重新計算感(gan)(gan)應(ying)線(xian)圈(quan)前沿、尾部(bu)以(yi)及整體輸出感(gan)(gan)應(ying)電(dian)(dian)動勢(shi)曲線(xian),如圖3-4所示(shi)。從圖中可以(yi)看出,當線(xian)圈(quan)移動到缺(que)(que)陷(xian)正上方時(shi),線(xian)圈(quan)前沿感(gan)(gan)應(ying)電(dian)(dian)動勢(shi)輸出極小值而尾部(bu)輸出極大(da)值,經(jing)差動后水平線(xian)圈(quan)輸出電(dian)(dian)動勢(shi)達到最大(da)值。檢(jian)(jian)測線(xian)圈(quan)的(de)最優(you)寬(kuan)度(du)參數與缺(que)(que)陷(xian)尺(chi)寸和傳感(gan)(gan)器提離(li)值有關。在實際生產過(guo)程中,可根據鋼管軋制過(guo)程中產生的(de)自然缺(que)(que)陷(xian)特征對檢(jian)(jian)測線(xian)圈(quan)寬(kuan)度(du)進(jin)行優(you)化設(she)計,以(yi)達到最佳的(de)檢(jian)(jian)測效(xiao)果(guo)。

下面進一步討(tao)論垂直(zhi)線圈漏磁信號(hao)輸出特性。
如圖3-5所(suo)示(shi),垂直線(xian)(xian)圈以(yi)速度(du)(du),穿(chuan)越缺陷上部(bu)(bu)(bu)漏(lou)磁場(chang)時所(suo)產生的電(dian)(dian)動勢輸(shu)出應(ying)為線(xian)(xian)圈頂(ding)部(bu)(bu)(bu)和底(di)部(bu)(bu)(bu)感應(ying)電(dian)(dian)動勢之差。設線(xian)(xian)圈長度(du)(du)為l、匝數為、寬度(du)(du)為2w、中心提離(li)值為,線(xian)(xian)圈頂(ding)部(bu)(bu)(bu)產生電(dian)(dian)動勢為er,線(xian)(xian)圈底(di)部(bu)(bu)(bu)產生電(dian)(dian)動勢為eB,線(xian)(xian)圈產生整體感應(ying)電(dian)(dian)動勢為Δe,根(gen)據法拉第電(dian)(dian)磁感應(ying)定律(lv)可得

從圖3-5中(zhong)可以看出(chu),eт、eB和e三者波形相似,垂(chui)直(zhi)(zhi)線(xian)圈(quan)輸出(chu)感(gan)應(ying)電動(dong)勢(shi)本(ben)質為上(shang)下兩(liang)根導線(xian)在同一時刻的(de)電動(dong)勢(shi)差動(dong)輸出(chu)。在缺(que)陷(xian)中(zhong)心位置,垂(chui)直(zhi)(zhi)線(xian)圈(quan)感(gan)應(ying)電動(dong)勢(shi)輸出(chu)為零,而(er)在缺(que)陷(xian)兩(liang)端附近感(gan)應(ying)電動(dong)勢(shi)具有最大(da)輸出(chu)值。垂(chui)直(zhi)(zhi)線(xian)圈(quan)頂部和底部距離越(yue)大(da),整(zheng)體感(gan)應(ying)電動(dong)勢(shi)輸出(chu)越(yue)大(da)。因(yin)此(ci),在條件允許(xu)的(de)情況下,垂(chui)直(zhi)(zhi)線(xian)圈(quan)應(ying)盡量貼近鋼管表面(mian)并可通過(guo)增大(da)線(xian)圈(quan)的(de)寬度來提高電動(dong)勢(shi)輸出(chu)。但(dan)在設計線(xian)圈(quan)寬度時必須考慮背景噪聲的(de)影(ying)響,垂(chui)直(zhi)(zhi)線(xian)圈(quan)寬度越(yue)大(da),線(xian)圈(quan)包(bao)含的(de)背景噪聲越(yue)多,從而(er)會(hui)降(jiang)低缺(que)陷(xian)漏磁(ci)信號的(de)信噪比。

