一、ASME簡單判斷式
ASME簡單(dan)判(pan)斷法是由美國(guo)ASMEB31.1標準(zhun)給出的(de)(de)一種快速確定管(guan)(guan)系熱膨脹補償是否(fou)滿(man)足(zu)要求的(de)(de)簡便方(fang)法,在(zai)工(gong)程設計中得到了(le)廣泛的(de)(de)應(ying)用。但是,該方(fang)法僅是一個判(pan)斷式,它并不(bu)能(neng)計算出管(guan)(guan)系中的(de)(de)應(ying)力、邊界(jie)反力和(he)位移等(deng)(deng)數值,只進行簡單(dan)的(de)(de)判(pan)斷。它的(de)(de)判(pan)斷結果是粗略的(de)(de),也(ye)是比較保守的(de)(de),因此對貴重的(de)(de)管(guan)(guan)道(如合(he)金鋼、不(bu)銹(xiu)鋼、特殊耐熱鋼、超(chao)低溫(wen)用鋼管(guan)(guan)道等(deng)(deng))不(bu)宜(yi)用它進行最終分析。
具有(you)同一(yi)直(zhi)徑(jing)、同一(yi)壁厚(hou)、無分支管(guan)、兩(liang)端(duan)固(gu)定、中間無支承(cheng)約束(shu)的(de)非劇毒管(guan)道若不(bu)(bu)存在下列情(qing)況則可以按ASME簡單判斷式[式(9-1)]進行判斷:存在劇烈(lie)冷熱循環變化的(de)管(guan)道;大直(zhi)徑(jing)薄壁管(guan);不(bu)(bu)等腿的(de)管(guan)道展開長度大于端(duan)點(dian)連線長度2.5倍的(de)U形(xing)(xing)管(guan)道;不(bu)(bu)在端(duan)點(dian)連線方向上的(de)端(duan)點(dian)附加位移占總位移量(liang)的(de)大部(bu)分;近似直(zhi)線的(de)鋸(ju)齒形(xing)(xing)狀(zhuang)的(de)管(guan)道。

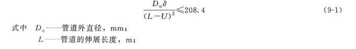
U-固定點之(zhi)間(jian)的連(lian)線長度,m;
δ-作用于(yu)管(guan)道的總熱(re)位(wei)(wei)移荷載,mm,由(you)管(guan)端(duan)處管(guan)道自由(you)熱(re)脹冷縮(suo)位(wei)(wei)移以(yi)(yi)及設(she)備(bei)熱(re)脹冷縮(suo)位(wei)(wei)移疊加(jia)構成,前者在熱(re)脹條件下取(qu)正(zheng)值(zhi),在冷縮(suo)條件下取(qu)負(fu)(fu)值(zhi),后者以(yi)(yi)造(zao)成端(duan)點(dian)相(xiang)向(xiang)移動取(qu)正(zheng)值(zhi),相(xiang)背移動取(qu)負(fu)(fu)值(zhi)。
二(er)、ASME簡單判斷式不適用的(de)管道(dao)
①. 在劇烈循環條件下運(yun)行,有疲勞危險的管道。
②. 大直(zhi)徑薄壁(bi)管道(dao)(管件應(ying)力(li)增強系數i≥5)。
③. 與端點連(lian)線不在(zai)同一方向的端點附加位(wei)移量(liang)(liang)占(zhan)總位(wei)移量(liang)(liang)大部分的管道。
④. L/U>2.5的不等腿U形彎管管道(dao),或(huo)近似直線的鋸齒狀管道(dao)。
三、簡單(dan)判斷式的求解步(bu)驟
在進行ASME簡單判(pan)斷(duan)式(shi)的求(qiu)解(jie)時,一般情況下并不困難(nan),只需(xu)要(yao)將(jiang)式(shi)中(zhong)各(ge)參數按各(ge)自(zi)的定(ding)義求(qiu)出(chu)并代入公式(shi)計(ji)(ji)算即可(ke)。但(dan)當(dang)管系兩端點有附加(jia)位移(yi)(yi)時,一些設計(ji)(ji)人員往往將(jiang)端點位移(yi)(yi)的正、負(fu)號搞錯而導致計(ji)(ji)算錯誤。為此,特將(jiang)端點位移(yi)(yi)的正、負(fu)號判(pan)斷(duan)方(fang)法(fa)進行介紹。端點位移(yi)(yi)的正、負(fu)號可(ke)按以下兩種方(fang)法(fa)確(que)定(ding)。
第一(yi)種方法(熱脹趨勢(shi)法)判斷步(bu)驟如下。
①. 選(xuan)擇任一端點為(wei)始端,而另一端則為(wei)末端。
②. 假想始端(duan)固定,而末端(duan)開(kai)放,并以此判斷管系的(de)熱(re)脹方向。
③. 管(guan)(guan)系(xi)中各管(guan)(guan)段(duan)的熱(re)脹(zhang)量 Δl=ΔTt 同一方(fang)向的管(guan)(guan)道熱(re)脹(zhang)量為各管(guan)(guan)段(duan)熱(re)脹(zhang)量的代(dai)數(shu)和,并(bing)判斷末端在該(gai)方(fang)向上的位移趨勢。
④. 兩端點有附(fu)加位移(yi)(yi)時(shi)(shi),對于始端,其附(fu)加位移(yi)(yi)方(fang)向與(yu)(yu)管(guan)系(xi)的熱脹趨勢(shi)(shi)相同時(shi)(shi)取(qu)“十(shi)”,與(yu)(yu)管(guan)系(xi)位移(yi)(yi)趨勢(shi)(shi)相反(fan)時(shi)(shi)取(qu)“一”。對于末端,其附(fu)加位移(yi)(yi)方(fang)向與(yu)(yu)管(guan)系(xi)的熱脹趨勢(shi)(shi)相同時(shi)(shi)取(qu)“-”,與(yu)(yu)管(guan)系(xi)的熱脹趨勢(shi)(shi)相反(fan)時(shi)(shi)取(qu)“十(shi)”;
第二種方法(fa)(熱脹坐標(biao)法(fa))判斷(duan)步驟如下。
①. 選擇(ze)任一(yi)端為始端,另一(yi)端則(ze)為末端。
②. 假(jia)想(xiang)始(shi)(shi)端固定(ding),末端開放,并以(yi)始(shi)(shi)端為原點(dian)建(jian)立坐標(biao)系。
③. 從始(shi)端(坐標(biao)原點)沿管系向(xiang)(xiang)末(mo)端行走,與(yu)坐標(biao)同(tong)向(xiang)(xiang)時位(wei)移(yi)為正,反(fan)向(xiang)(xiang)時為負,最后分別取各(ge)方(fang)向(xiang)(xiang)的位(wei)移(yi)代(dai)數(shu)和。該(gai)代(dai)數(shu)和具(ju)有“十”“-”號,“十”號表(biao)(biao)示該(gai)方(fang)向(xiang)(xiang)的總(zong)位(wei)移(yi)方(fang)向(xiang)(xiang)與(yu)坐標(biao)軸同(tong)向(xiang)(xiang),而“一”號表(biao)(biao)示該(gai)方(fang)向(xiang)(xiang)的總(zong)位(wei)移(yi)方(fang)向(xiang)(xiang)與(yu)坐標(biao)軸反(fan)向(xiang)(xiang)。
④. 端(duan)點有附(fu)(fu)加(jia)位移(yi)時,對(dui)于始端(duan),如果(guo)其附(fu)(fu)加(jia)位移(yi)方向(xiang)與坐標軸同向(xiang)則(ze)(ze)為(wei)(wei)(wei)“+”,反(fan)向(xiang)則(ze)(ze)為(wei)(wei)(wei)“一”;對(dui)于末端(duan),如果(guo)其附(fu)(fu)加(jia)位移(yi)方向(xiang)與坐標軸同向(xiang)則(ze)(ze)為(wei)(wei)(wei)“十”,反(fan)向(xiang)則(ze)(ze)為(wei)(wei)(wei)“-”。
熱(re)脹(zhang)(zhang)趨勢法(fa)和熱(re)脹(zhang)(zhang)坐標法(fa)得到(dao)的(de)結果(guo)是相(xiang)同(tong)的(de)。
工程實例
ASME簡單判斷(duan)式的工(gong)程應(ying)用
有一Φ273mm×8mnm的碳鋼(gang)管道,其設計溫(wen)度(du)為250℃,安裝溫(wen)度(du)為20℃,線(xian)脹系(xi)數為at=12.8×10-6℃-1。管道走向如圖9-5所示,其中A、D為固(gu)定(ding)點。試(shi)計算(suan)其柔性是否足夠。

因為A=501.12>208.4,所以該管(guan)道不能滿足柔(rou)性要(yao)求。

