91香蕉視頻app:超聲波在不同介質界面處的反射、折射和透射情況是進行超聲探傷的重要物理基礎。聲波能量經界面時的聲壓聲強變化主要取決于兩側介質的聲阻抗。


1. 超(chao)聲波垂直人(ren)射到兩種介質界面處的(de)反射透射情況


 當超聲波垂直入射于兩種不同聲阻抗介質的界面時,其反射波按入射波相反的路徑返回,透射波垂直進入第二種介質。假設超聲波所處介質聲阻抗為Z1,人射聲強為I0,入射聲壓為P0,反射聲強為Ir,反射聲壓為Pr;另一種介質聲阻抗為Z2,透射聲強為It,透射聲壓為Pt.令聲阻抗比m=Z1/Z2,可得:

補 1.jpg

5.jpg


聲壓視為平面上單位面積所受的力,那么平面兩側的力應當平衡,故聲壓變化有P0+Pr=Pt.結合聲壓反射、透射系數,有


6.jpg


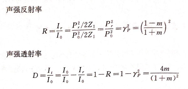
類似地,聲強在界面兩側應滿足能量守恒定律,所以有Io=Ir+It,如果把聲強反射率(R)定義為Ir/I0,聲強透射率(D)定義為It/I0,則有:


7.jpg


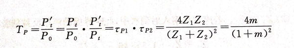
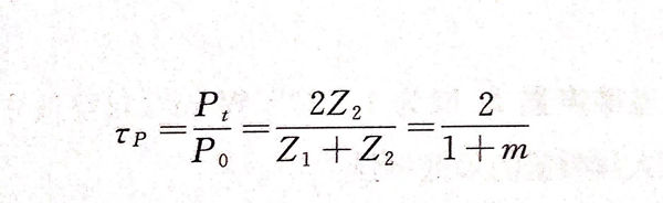
 實際檢測中,常用到自發自收探頭,例如對鋼板進行檢測時,認為聲波垂直入射進人鋼板內部,透射波到達底部后,聲壓在鋼板/空氣界面被完全反射,然后垂直返回,被探頭接收。探頭接收到的返回聲壓P't與人射聲壓P0之比稱為聲壓往復透過率,常用符號Tp表示。


補 2.jpg


所以


8.jpg


對比聲強透射率D和聲壓往復透過率Tp,可知兩者在數值上相等。


超聲波垂直(zhi)入射(she)于不同(tong)聲阻(zu)抗介質的界面,有以下四種反(fan)射(she)和透射(she)情況。


a.  Z1<Z2


 若(ruo)聲波從水中入射到(dao)鋼中,水的(de)聲阻(zu)抗(kang)(kang)為(wei)Z1=1.5×106kg/(㎡·s),鋼的(de)聲阻(zu)抗(kang)(kang)為(wei)Z2=46×106kg/(㎡·s),水/鋼界面上的(de)


9.jpg


 圖2.9表示從(cong)(cong)水入(ru)射(she)(she)到鋼時,聲壓在(zai)兩側的(de)(de)分布。當聲波從(cong)(cong)聲阻抗(kang)小(xiao)的(de)(de)介質人射(she)(she)到聲阻抗(kang)大(da)的(de)(de)介質時,反射(she)(she)聲壓較入(ru)射(she)(she)聲壓略低,而透射(she)(she)聲壓高于入(ru)射(she)(she)聲壓,且等于兩者之和。由聲強透射(she)(she)率D的(de)(de)大(da)小(xiao)可(ke)知入(ru)射(she)(she)聲強中只有12.24%的(de)(de)能量進入(ru)鋼中。


圖 9.jpg


b. Z1>Z2


若聲波(bo)從鋼入(ru)射到水中(zhong),此時界面的聲壓反射系數


10.jpg


圖2.10表示從(cong)鋼入(ru)射到水(shui)時,兩側的(de)(de)聲(sheng)(sheng)(sheng)(sheng)(sheng)壓(ya)(ya)分(fen)布(bu)。當聲(sheng)(sheng)(sheng)(sheng)(sheng)波從(cong)聲(sheng)(sheng)(sheng)(sheng)(sheng)阻(zu)抗較(jiao)(jiao)大的(de)(de)介(jie)質入(ru)射到較(jiao)(jiao)小的(de)(de)介(jie)質時,反射聲(sheng)(sheng)(sheng)(sheng)(sheng)壓(ya)(ya)較(jiao)(jiao)入(ru)射聲(sheng)(sheng)(sheng)(sheng)(sheng)壓(ya)(ya)略低;而透射聲(sheng)(sheng)(sheng)(sheng)(sheng)壓(ya)(ya)因入(ru)射聲(sheng)(sheng)(sheng)(sheng)(sheng)壓(ya)(ya)與反射聲(sheng)(sheng)(sheng)(sheng)(sheng)壓(ya)(ya)相(xiang)位相(xiang)反,其數值也較(jiao)(jiao)小。計算得知入(ru)射聲(sheng)(sheng)(sheng)(sheng)(sheng)強中同(tong)樣有12.24%的(de)(de)能(neng)量(liang)進入(ru)水(shui)中。


圖 10.jpg


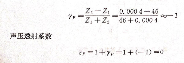
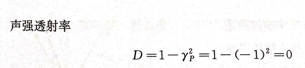
c. Z1 > Z2


 當聲波從聲阻抗高的固體入射到空氣中,例如從鋼中入射到空氣中,就屬于這種情況,此時Z1(鋼)=46×106kg/(㎡·s),Z2(空氣)=0.0004×106kg/(㎡·s),可計算聲壓反射系數


11.jpg

12.jpg


 此(ci)時,聲波(bo)在界面(mian)(mian)處(chu)幾(ji)乎全部被反(fan)射(she),無(wu)法透射(she)到(dao)空氣中(zhong),因此(ci),當(dang)超聲波(bo)探(tan)頭與粗(cu)糙(cao)待(dai)測(ce)件(jian)表面(mian)(mian)接觸,如果不加耦(ou)合劑,就相當(dang)于(yu)探(tan)頭與待(dai)測(ce)件(jian)表面(mian)(mian)間有一層空氣,導致聲波(bo)能量(liang)無(wu)法透射(she)到(dao)待(dai)測(ce)件(jian)中(zhong),無(wu)法進行探(tan)傷。


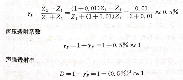
d. Z1≈Z2


 當(dang)聲波從兩種聲阻抗(kang)相近(jin)的(de)介質(zhi)界(jie)面(mian)經過(guo)時,例(li)如普通碳鋼(gang)焊縫金屬與母材(cai)金屬之間,聲阻抗(kang)相差僅1%,此(ci)時,界(jie)面(mian)的(de)聲壓反射系數


13.jpg


此時,在界面處反射聲(sheng)壓(ya)極小(xiao),而(er)透(tou)射聲(sheng)壓(ya)幾(ji)乎與入射聲(sheng)壓(ya)相同(tong);聲(sheng)波能量幾(ji)乎全部透(tou)射到(dao)第(di)二種(zhong)介質中。



2. 超聲波斜入射到兩種介(jie)質(zhi)界面處的(de)反(fan)射折射情(qing)況


當超聲波(bo)以一定角(jiao)度斜入射(she)到兩種介質(zhi)界面時,會(hui)發生反(fan)射(she)和折(zhe)(zhe)射(she)現象(xiang),且遵(zun)循反(fan)射(she)和折(zhe)(zhe)射(she)定律。一定條件下,還會(hui)發生波(bo)型轉換現象(xiang)。


 a. 超聲縱波斜(xie)入射


當(dang)超聲縱波斜入射到兩種介質界面(mian)時,反射波和折(zhe)射波的傳播方向符合反射定(ding)律、折(zhe)射定(ding)律,如圖2.11所示,即


14.jpg

圖 11.jpg


 由式(2.4)可知,在同一介質中聲波縱波波速不變,因此縱波反射角與縱波入射角相等,即αLL,同時,同一介質中縱波聲速大于橫波聲速,因此縱波反射角大于橫波反射角,縱波折射角大于橫波折射角,即γLsLs.


當αL增加時,βL也增加,增加到一定程度時,βL=90°,這時所得縱波入射角稱為第一臨界角,常用aI表示。當αLI時,第二介質中既有折射縱波L,又有折射橫波S.


當αL增加時,βs也增加,增加到一定程度時,βs=90°,這時所得縱波入射角稱為第二臨界角,常用aII表示。當αIL<aII時,第二介質中沒有折射縱波L,只有折射橫波S,這種情況也是橫波探頭的制作原理。


b. 超聲橫波斜入射


當(dang)橫波(bo)以一(yi)定角度入射(she)到(dao)兩種固體界面時(shi),也會出(chu)現(xian)波(bo)形的(de)轉換,如圖2.12所示。


圖 12.jpg


同(tong)樣地(di),橫波斜入射(she)也符合反(fan)射(she)、折射(she)定律:


15.jpg


橫波斜入射時,隨著αs增加,yL=90°時,所對應的橫波人射角αs為第三臨界角,常用αIII表示,橫波入射角大于第三臨界角時,產生橫波全反射現象。