總體來講,不銹鋼無(wu)縫鋼管超(chao)聲波(bo)探(tan)傷(shang)(shang)技(ji)術較為成熟,常見的探(tan)傷(shang)(shang)方(fang)法主要(yao)包括接觸(chu)式(shi)探(tan)傷(shang)(shang)、水(shui)浸(jin)式(shi)探(tan)傷(shang)(shang)。其(qi)中水(shui)浸(jin)式(shi)探(tan)傷(shang)(shang)容易實現自動化,檢(jian)測靈敏度(du)及探(tan)傷(shang)(shang)效率均(jun)較高,因此,本書重點討論水(shui)浸(jin)式(shi)超(chao)聲探(tan)傷(shang)(shang)。


 不銹鋼無縫鋼管水浸式探傷過程中,常見的檢測方法為垂直探傷法和斜角探傷法,其中垂直探傷法主要應用于大口徑厚壁不銹鋼管的無損檢測,當餓管壁厚達到直徑的20%以上時,采用垂直法較為合適。對于汽車發動機中采用的小直徑薄壁不銹鋼管(guan),斜角法顯然更為適用。


 斜角(jiao)法振(zhen)傷(shang)主要(yao)采用橫波(bo)(bo)探(tan)傷(shang)和表面波(bo)(bo)探(tan)傷(shang),其(qi)中橫波(bo)(bo)探(tan)傷(shang)可以檢測(ce)(ce)鋼管(guan)內外缺陷,而表面波(bo)(bo)探(tan)傷(shang)主要(yao)用來檢測(ce)(ce)鋼管(guan)表面的缺陷。圖4.1為小直(zhi)徑(jing)薄(bo)壁(bi)不銹鋼無縫鋼管(guan)超聲探(tan)傷(shang)的基本形式。


圖 1.jpg


  圖4.1中所(suo)給(gei)出(chu)的基本(ben)形式為(wei)(wei)斜角法探(tan)傷,所(suo)檢測(ce)的鋼管(guan)缺陷(xian)通(tong)常(chang)以軸向傷為(wei)(wei)主,以該(gai)方法為(wei)(wei)基礎,為(wei)(wei)提高檢測(ce)的準確性,可采(cai)用多(duo)個(ge)探(tan)頭同(tong)時檢測(ce)。為(wei)(wei)實(shi)現(xian)鋼管(guan)內外壁的軸向缺陷(xian)檢測(ce),通(tong)常(chang)需要如圖4.2所(suo)示的檢測(ce)方式,為(wei)(wei)實(shi)現(xian)檢測(ce)速(su)度與檢測(ce)準確性的提升,同(tong)樣(yang)可采(cai)用多(duo)個(ge)探(tan)頭同(tong)時檢測(ce)。


圖 2.jpg


 鑒于汽車發動機用(yong)不(bu)銹鋼(gang)無縫管(guan)的高要求,其選用(yong)的小口徑薄壁不(bu)鋼(gang)無縫鋼(gang)管(guan)的題(ti)聲(sheng)探傷宜采(cai)用(yong)聚然方式檢(jian)測,超聲(sheng)傳播過程中,在聚焦狀烈下(xia)可(ke)(ke)(ke)以盡可(ke)(ke)(ke)能實(shi)現檢(jian)測聲(sheng)能的集中,提(ti)高檢(jian)測靈敏度(du)。一般情況下(xia),為保證檢(jian)測速(su)度(du),采(cai)用(yong)線(xian)聚焦檢(jian)測即可(ke)(ke)(ke)滿足(zu)要求,當鋼(gang)管(guan)的檢(jian)測精度(du)提(ti)出特別要求時,可(ke)(ke)(ke)采(cai)用(yong)點聚焦方式,此時檢(jian)測速(su)度(du)會有(you)所降低。


小口徑薄壁不銹鋼管探(tan)傷過程(cheng)中(zhong),無論軸(zhou)向缺(que)陷或者周(zhou)向缺(que)陷的檢(jian)(jian)測(ce),在探(tan)傷儀(yi)器(qi)性(xing)能(neng)穩定(ding)的前提下,影(ying)響探(tan)傷靈敏度的因素主要(yao)包括四個方面:①. 超聲(sheng)探(tan)頭設(she)計與(yu)加工(gong);②. 超聲(sheng)探(tan)頭偏心距選擇;③. 超聲(sheng)聚焦聲(sheng)透鏡設(she)計;④. 檢(jian)(jian)測(ce)設(she)備的穩定(ding)性(xing)。


上述影響因素中,超聲探(tan)頭(tou)的(de)設(she)計與加工是一項專(zhuan)業(ye)性、技術(shu)性較(jiao)強的(de)工作(zuo),涉及很(hen)多專(zhuan)業(ye)知識,本書中不做詳細討論(lun),僅(jin)從滿足探(tan)傷工藝要求的(de)角度對超聲探(tan)頭(tou)的(de)偏(pian)心(xin)距(ju)選(xuan)擇及超聲聚(ju)焦(jiao)聲透鏡(jing)設(she)計加以(yi)分析。



一、軸向缺陷(xian)檢測的超聲探(tan)頭偏(pian)心距選擇(ze)


所謂超(chao)聲探(tan)頭(tou)偏心距(ju)是指采用折射橫波探(tan)傷時,探(tan)頭(tou)聲束中心線與(yu)鋼管輸心線的平行距(ju)離(li),用工加以表(biao)示。確定偏心距(ju)應(ying)滿(man)足以下兩個條(tiao)件(如(ru)圖4.3所示)。


 1. 鋼管橫波探(tan)傷條件


式 1.jpg

圖 3.jpg


 當超聲入射角滿足第一臨界角,即鋼中縱波折射角為90°時,所得到的入射角即為純橫波探傷條件下的最小入射角,用 αLmin 加以表示,探傷時選擇的入射角應滿足α≥αLmin,此時折射進鋼管內的超聲波變為橫波,折射角用βs加以表示。


 2. 管內壁(bi)缺陷(xian)檢測條件


式 2.jpg

式 4.jpg




二、軸(zhou)向(xiang)缺陷探傷超聲聚(ju)焦聲透鏡設計


 超聲探傷(shang)中所(suo)應用(yong)的聲透鏡材(cai)料通常為環(huan)氧樹脂膠固(gu)化后形成(cheng),其聲速約為2.65mm/μs.超聲探頭(tou)聲透鏡設(she)計過(guo)程(cheng)中,需要綜合考慮檢測時的水(shui)層(ceng)(ceng)距離(li)以及聚(ju)焦(jiao)聲透鏡的焦(jiao)距大小,水(shui)層(ceng)(ceng)距離(li)要求(qiu)如圖4.4所(suo)示。


圖 4.jpg


 為避免缺陷反射波受二次表面反射波的干擾,必須滿足T≥2T,即水中的超聲傳播時間不小于鋼中的傳播時間的2倍,由該條件,可得探傷時探頭距離鋼管表面的距離條件為:


式 6.jpg



  為(wei)兼顧鋼(gang)(gang)管內外壁(bi)缺陷(xian),不銹(xiu)鋼(gang)(gang)無縫鋼(gang)(gang)管斜角法(fa)超聲探(tan)傷時,聚焦聲透鏡的(de)焦點(dian)通常在鋼(gang)(gang)管水平軸(zhou)(zhou)面(mian)上較(jiao)為(wei)合適(shi),接下來分析焦點(dian)位于鋼(gang)(gang)管水平軸(zhou)(zhou)面(mian)上方、水平軸(zhou)(zhou)面(mian)上、水平軸(zhou)(zhou)面(mian)下方的(de)具體區別,如圖4.5所示。


圖 5.jpg



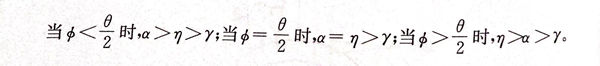
1. 焦點位于鋼(gang)管(guan)水平軸面


由式(4.7)可以推出,當焦點(dian)恰(qia)好(hao)位于鋼管水平軸面上時(shi)(shi),φ=0,此時(shi)(shi)γ=η<a,表示(shi)左(zuo)右(you)兩(liang)側聲束(shu)人(ren)射角(jiao)相(xiang)等且小(xiao)于中間(jian)聲束(shu)入射角(jiao),γ、n均與探頭半聚焦角(jiao)0的大小(xiao)有關(guan)。在該條件(jian)下,左(zuo)右(you)兩(liang)側聲束(shu)人(ren)射角(jiao)對稱分布,可兼顧鋼管內、外壁的缺陷檢測,是(shi)探傷的理(li)想狀態。


2. 焦點位于(yu)鋼(gang)管水(shui)平軸面以上


1.jpg


 這(zhe)三(san)種情況都出現折(zhe)射橫波(bo)快速向中心集中的(de)現象,反射到(dao)外壁(bi)的(de)檢(jian)測橫波(bo)面積較大,導致對鋼(gang)管外壁(bi)缺陷的(de)檢(jian)測靈(ling)敏(min)度降低,通過適當調整探頭,可實現折(zhe)射橫波(bo)聚焦到(dao)鋼(gang)管內壁(bi),由此(ci)提高(gao)內壁(bi)缺陷的(de)檢(jian)測靈(ling)敏(min)度。


3. 焦點位(wei)于(yu)鋼管水平軸(zhou)面(mian)以下


2.jpg


 這三(san)種情況都出(chu)現左(zuo)側(ce)折射(she)橫(heng)波折射(she)角大,右側(ce)折射(she)橫(heng)波折射(she)角小,引起橫(heng)波在(zai)鋼(gang)管內焦(jiao)距增加(jia)的(de)(de)現象,可以將管內折射(she)橫(heng)波聚焦(jiao)到鋼(gang)管外(wai)壁。因此(ci),在(zai)該條(tiao)件(jian)下,通(tong)過適調整(zheng)探頭可提高鋼(gang)管外(wai)壁缺陷的(de)(de)檢測(ce)靈敏度(du)。


確定檢測時的(de)水層距離及焦距后,還必須分(fen)析超聲縱(zong)波(bo)在水中(zhong)傳播時的(de)近(jin)場(chang)長度(du),超聲波(bo)無法在近(jin)場(chang)以外聚焦。


以圓形晶片為例(li),近場長度(du)的(de)計算公式為:


3.jpg


當所需的探(tan)頭(tou)透(tou)鏡焦(jiao)距超出一定頻率下的超聲(sheng)近場長(chang)度(du)時(shi),可通過改(gai)變(bian)(bian)探(tan)頭(tou)晶(jing)片的大小或者改(gai)變(bian)(bian)探(tan)頭(tou)頻率滿足(zu)聚焦(jiao)要求。


需要注意的是(shi)(shi),探頭(tou)焦距與透(tou)鏡(jing)(jing)晶片(pian)的曲率半徑并不(bu)是(shi)(shi)一回事,兩者之(zhi)(zhi)間的關系如圖4.6所示,探頭(tou)焦距與透(tou)鏡(jing)(jing)曲率半徑之(zhi)(zhi)間的關系可用下式表示:


式 8.jpg

圖 6.jpg


以(yi)超聲傳(chuan)播(bo)介質是水、透鏡材料是環(huan)氧樹脂(zhi)為(wei)例,聲透鏡曲率半徑與探頭焦距之間的關(guan)系為(wei)r≈0.45F。


以(yi) Φ 30×2mm不銹鋼(gang)無縫鋼(gang)管(guan)為(wei)例,具(ju)體分析如何確定探頭焦距、聲透(tou)鏡曲率半徑、檢測(ce)偏心距,如圖4.7所示。其中偏心距χ為(wei)


圖 7.jpg

4.jpg


如(ru)果超(chao)聲(sheng)探頭(tou)晶片為(wei)圓盤狀,檢測頻率為(wei)5MHz,有效檢測直(zhi)徑(jing)為(wei)Φ8mm,則水中(zhong)縱波近場長度約(yue)為(wei)42.5mm,可以實(shi)現聚焦。



三、周向(xiang)缺險(xian)探(tan)傷超聲(sheng)聚焦聲(sheng)透鏡設(she)計


 小口徑薄(bo)壁(bi)不銹鋼無縫鋼管(guan)周向缺陷探傷時,為增加有效檢測的聲能,可同(tong)樣采用斜角法(fa)聚焦方(fang)式檢測。


 隨著現代(dai)工業生產的(de)發(fa)展(zhan),產品競爭(zheng)日益激烈,幾乎(hu)所(suo)有的(de)汽車發(fa)動機(ji)生產廠家(jia)都對(dui)發(fa)動機(ji)內應用的(de)小口徑薄(bo)壁不(bu)(bu)銹(xiu)鋼管提出嚴苛的(de)質量要求,不(bu)(bu)光對(dui)鋼管的(de)軸向最小檢出缺陷(xian)提出明確要求,對(dui)周向最小檢出缺陷(xian)也提


 出了嚴苛的(de)要(yao)求(qiu),很大(da)程度上遠超目(mu)前的(de)國(guo)家標(biao)準甚(shen)至軍隊標(biao)準。譬如德國(guo)博世公司對小(xiao)(xiao)口(kou)徑薄壁不銹鋼無縫(feng)鋼管的(de)軸(zhou)向、周向最小(xiao)(xiao)檢出缺(que)陷(xian)都要(yao)求(qiu)達到人工(gong)缺(que)陷(xian)2mm×0.15mm×0.15mm(長(chang)×寬×深),如圖4.8所示。


圖 8.jpg


 小(xiao)口徑薄壁不銹(xiu)鋼無縫鋼管周向缺陷(xian)檢(jian)測(ce)時所碰到的技術(shu)工(gong)藝問題與軸(zhou)向缺陷(xian)檢(jian)測(ce)基本相同,但(dan)因鋼管中折射(she)橫波的傳播途徑不同,探頭聲透鏡的設計(ji)方法也(ye)就不一樣,以(yi)下具體分析。


 聚(ju)焦探(tan)頭焦點或(huo)焦線位于(yu)鋼(gang)管垂直軸面上,如圖4.2所示(shi)。采(cai)用(yong)斜角法檢測(ce)時,為獲得(de)折射橫(heng)波,根據式(4.1),必須滿足第(di)一(yi)臨界角條件,受不(bu)銹鋼(gang)無(wu)縫鋼(gang)管壁厚的(de)影(ying)響,在管壁較薄的(de)情況下,應適當增加聲(sheng)束的(de)入射角,避免探(tan)傷盲區的(de)影(ying)響,此外還可(ke)以通過提高檢測(ce)頻率(lv),優化探(tan)頭設計等手段(duan)減(jian)小檢測(ce)盲區。


 探頭(tou)焦(jiao)(jiao)距(ju)的選(xuan)定(ding),應以焦(jiao)(jiao)點(dian)落在(zai)被檢(jian)鋼管內壁為佳。計算焦(jiao)(jiao)距(ju)時,除考慮水(shui)層(ceng)厚度對(dui)探傷信號的影響外,還應考慮折射(she)橫波在(zai)鋼管內傳(chuan)(chuan)播(bo)(bo)(bo)的等(deng)效水(shui)距(ju)離(li)。如(ru)圖4.9所示,聲束在(zai)水(shui)中傳(chuan)(chuan)播(bo)(bo)(bo)距(ju)離(li)為L*,折射(she)橫波在(zai)鋼管中的傳(chuan)(chuan)播(bo)(bo)(bo)距(ju)離(li)為L常(chang),則等(deng)效水(shui)距(ju)離(li)為


5.jpg

圖 9.jpg


探(tan)頭聲(sheng)透(tou)鏡(jing)的(de)曲率半徑設計按照式(shi)8 即可。