高合(he)金(jin)鋼、鎳基耐熱合(he)金(jin)、鑄(zhu)態鉬(mu)合(he)金(jin)、燒結(jie)鉬(mu)鋯合(he)金(jin)和難(nan)熔金(jin)屬(shu)等(deng)都屬(shu)于低(di)塑(su)性難(nan)變形材(cai)(cai)料(liao),在大(da)多數情況下,甚至在采用擠壓(ya)(ya)工藝加工時(shi),也(ye)顯(xian)得可塑(su)性不(bu)足。在擠壓(ya)(ya)這類材(cai)(cai)料(liao)時(shi),金(jin)屬(shu)的(de)(de)(de)(de)連續(xu)性容(rong)易(yi)遭到(dao)破壞。由于引起金(jin)屬(shu)層(ceng)不(bu)均(jun)勻的(de)(de)(de)(de)流(liu)動(dong)而(er)產生的(de)(de)(de)(de)拉伸應力,同(tong)時(shi)金(jin)屬(shu)與(yu)模具接(jie)觸層(ceng)的(de)(de)(de)(de)溫度比較低(di),擠壓(ya)(ya)模與(yu)擠壓(ya)(ya)芯棒(bang)的(de)(de)(de)(de)間(jian)隙分布相(xiang)對(dui)于空心坯壁厚的(de)(de)(de)(de)不(bu)對(dui)稱,導致金(jin)屬(shu)流(liu)動(dong)不(bu)對(dui)稱。金(jin)屬(shu)流(liu)動(dong)最不(bu)均(jun)勻的(de)(de)(de)(de)位置是擠壓(ya)(ya)管的(de)(de)(de)(de)內外(wai)表面(mian),因此(ci),在擠壓(ya)(ya)管內表面(mian)產生缺陷的(de)(de)(de)(de)可能性最大(da),而(er)外(wai)表面(mian)則有材(cai)(cai)料(liao)連續(xu)性被(bei)破壞的(de)(de)(de)(de)危險。


一、提(ti)高(gao)材(cai)料可塑性(xing)


 材料(liao)的可塑(su)性降(jiang)低,導致(zhi)擠(ji)壓(ya)(ya)鋼管表面產(chan)(chan)生缺陷的可能性增加(jia)。坯(pi)料(liao)表面的接觸(chu)摩擦不均勻(yun),引起鋼管圓(yuan)周金(jin)屬流動的不均勻(yun)。為(wei)了防止(zhi)擠(ji)壓(ya)(ya)制(zhi)品(pin)產(chan)(chan)生缺陷,均勻(yun)地涂敷(fu)玻璃潤滑劑(ji)顯得(de)十分(fen)重(zhong)要。除此之外,對于低塑(su)性難變(bian)形材料(liao)的擠(ji)壓(ya)(ya),還可以采(cai)取以下(xia)工藝措施來提高材料(liao)的可塑(su)性,防止(zhi)擠(ji)壓(ya)(ya)材料(liao)連續性的破壞:


1. 包塑性(xing)包套


  在(zai)坯料的內表(biao)面(mian)上包(bao)(bao)(bao)(bao)一(yi)層塑性(xing)金屬(shu),從而(er)在(zai)擠(ji)(ji)壓(ya)變形時,在(zai)塑性(xing)包(bao)(bao)(bao)(bao)套(tao)內承受著最大的拉應力。當被擠(ji)(ji)壓(ya)金屬(shu)的可(ke)塑性(xing)比較低時,塑性(xing)包(bao)(bao)(bao)(bao)套(tao)包(bao)(bao)(bao)(bao)在(zai)外表(biao)面(mian)。包(bao)(bao)(bao)(bao)塑性(xing)包(bao)(bao)(bao)(bao)套(tao)有幾種方(fang)法:a. 套(tao)管(guan)與坯料用簡(jian)單的機(ji)械結合(he)(he),這種方(fang)法最簡(jian)單;b. 電解涂層;c. 離(li)心(xin)鑄造(zao)等。在(zai)擠(ji)(ji)壓(ya)鎳合(he)(he)金管(guan)(如(ru)Ni36GrTiAIMo合(he)(he)金管(guan))時,采(cai)用第一(yi)種方(fang)法包(bao)(bao)(bao)(bao)塑性(xing)包(bao)(bao)(bao)(bao)套(tao),擠(ji)(ji)壓(ya)出的鎳合(he)(he)金管(guan)的內表(biao)面(mian)質量如(ru)圖5-4所示。


4.jpg


  在擠壓鎳合金時,用321不銹鋼制作坯料內表面的塑性保護套。保護套的厚度與延伸系數有關,擠壓后塑性層壁厚為0.8~1.0mm.在擠壓Ni38CrTiAlMo5 合金管時,采用3.5mm的碳鋼內套,用電焊將碳鋼管焊接在坯料上。


 2. 采用帶錐(zhui)度的擠壓(ya)芯(xin)棒


  在擠壓高(gao)強(qiang)(qiang)度(du)(du)合金時,由于高(gao)強(qiang)(qiang)度(du)(du)合金的最大(da)變(bian)形(xing)(xing)力很大(da),為(wei)了(le)減小(xiao)變(bian)形(xing)(xing)力,采用端部帶錐(zhui)度(du)(du)的擠壓芯棒(bang)。


3. 坯料(liao)前端焊接碳鋼墊片


  擠壓高(gao)強度鎳(nie)合金管時(shi),將碳(tan)鋼(gang)制成(cheng)50mm厚(hou)的墊(dian)片(pian),并將其焊接在(zai)坯料前端。這樣可以降低開始擠壓時(shi)最大壓力(li)的峰值,擠壓完成(cheng)后碳(tan)鋼(gang)墊(dian)片(pian)會形成(cheng)擠壓管的前端。


4. 坯料后端焊接塑性墊片


  為了充分利用貴金(jin)屬,并使擠壓(ya)后(hou)擠壓(ya)管與壓(ya)余容易分離,在(zai)個別情況下可將塑性(xing)墊片焊(han)接在(zai)坯(pi)料(liao)的后(hou)端(duan),墊片的厚度應該是使其完全成為壓(ya)余的厚度。


5. 用反(fan)擠壓法(fa)提高材料的塑(su)性


  在變形條件下(xia),當變形區內建立起推力時,工(gong)作液(ye)體的靜壓力可以(yi)增高(gao)到金屬材(cai)料(liao)(liao)屈服極限(xian)的5~6倍,因而甚至可成(cheng)功擠壓易碎的材(cai)料(liao)(liao),如粉末冶金的坯(pi)料(liao)(liao)、灰口(kou)鐵等。


6. 建立“反壓(ya)力”


  在實際工業生產中,用低塑性合金擠壓管子時,采用將擠壓模的圓柱帶從10mm增加到15~25mm或者以小角度代替圓錐部分,即采用模子的人口角為5°~15°,使其建立“反壓力”,可成功地用鎳合金坯料擠壓出鎳管而沒有破壞。此時,工作液體的靜壓力僅提高到(1.5~1.8)σb


7. 降(jiang)低坯料加熱溫度(du)


  當(dang)擠壓管有一層易碎(sui)材(cai)料的(de)(de)雙金屬(shu)管或(huo)雙層管時(shi),為了(le)(le)提高變(bian)形區內工作液體的(de)(de)靜壓力,可采用降低坯(pi)料加熱溫度的(de)(de)方法。在這(zhe)種(zhong)情況下,易碎(sui)層的(de)(de)可塑(su)性顯著提高,防止了(le)(le)裂紋的(de)(de)產生。


8. 采用帶圓錐孔型的(de)模具


  俄羅斯巴(ba)爾(er)金(jin)(jin)中央黑色冶金(jin)(jin)科學研(yan)究(jiu)院在(zai)拼(pin)壓(ya)不銹(xiu)鋼(gang)、鎳基高溫合金(jin)(jin)和難熔金(jin)(jin)屬時,采用(yong)(yong)帶圓錐孔(kong)型的模子進行(xing)試驗,其最小的擠(ji)壓(ya)力(li)是發生在(zai)采用(yong)(yong)的擠(ji)壓(ya)模喇叭(ba)口(kou)入(ru)口(kou)角(jiao)度2am=90°~120°的情(qing)況下,擠(ji)壓(ya)模的進口(kou)喇叭(ba)口(kou)入(ru)口(kou)角(jiao)在(zai)90°~120°間上(shang)下波動,都會使擠(ji)壓(ya)力(li)平均增加10%~15%。


9. 采用(yong)鉬合金(jin)“可拆換環(huan)”的組合結(jie)構擠(ji)壓模


  組(zu)合模(mo)(mo)(mo)由模(mo)(mo)(mo)盒、模(mo)(mo)(mo)環(huan)、彈(dan)簧(huang)(huang)組(zu)成(cheng),為了提高擠(ji)壓(ya)過程(cheng)的(de)穩定性,模(mo)(mo)(mo)環(huan)可采用鉬合金(jin)(MTZ)制(zhi)作。擠(ji)壓(ya)操作時,可由10~16個鉬合金(jin)環(huan)組(zu)成(cheng)的(de)擠(ji)壓(ya)模(mo)(mo)(mo)輪流作業,由于模(mo)(mo)(mo)盒與(yu)模(mo)(mo)(mo)環(huan)借助于彈(dan)簧(huang)(huang)固定,可以方便地裝(zhuang)卸。



二(er)、特(te)殊(shu)結(jie)構組合擠壓模的使(shi)用


  為了確保玻璃潤滑劑的連續供給,保護擠壓模工作部分免受過熱和磨損,俄羅斯巴爾金中央黑色冶金科學研究院專門針對鎳基高溫合金(jin)和難熔金屬的擠壓設計了具有特殊結構的組合擠壓模,其結構如圖5-5所示。


5.jpg


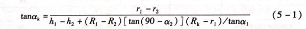
  該擠壓模由金屬模套1、特殊材料擠壓模2和特殊形狀潤滑墊3組成。潤滑墊3既是模子組成形狀的一部分,也可作為變形金屬的潤滑源。收縮錐的AB外環高度為h1,角度為α1,定徑孔直徑為2r1;內環高度為h2,錐角為α2,定徑孔直徑2r2<2r1.在該模子中,變形區的側面形狀的長度包括AB和BC兩部分,形成帶有由玻璃潤滑材料構成的入口錐的雙錐形孔型。模子平面BCDEF 被玻璃潤滑劑填滿,玻璃潤滑劑形成了第二個壓縮錐BC,其角度為αk為:


式 1.jpg


 式(5-1)包含了設計擠壓模孔(kong)型時的(de)全部要(yao)素(su)尺寸。


 改變第一和第二個圓錐之間的延伸系數的比值、角度α1和α2以及內部嵌入物的輪廓尺寸,可以得到不同定徑帶的配合,且同時并不超過模子的基本尺寸(高度h1).在r1=Rk時,可得到由母線AC和角度α所成的圓錐模子定徑帶;在r1=r2時,在模子中產生凸緣長度為BC的圓錐或平面(α1=90°)定徑帶。因此,模子潤滑錐的角度a,可以在α~0°范圍變化。


 將(jiang)粉末狀玻璃潤滑(hua)劑,附加黏結(jie)劑(水玻璃、紙漿廢液等)的混合物裝(zhuang)入組合模(mo)干燥后使(shi)用(yong)。


擠壓前,在擠壓模上部的圓錐上放置玻璃潤滑墊。擠壓過程中玻璃的剩余物充滿空間3。在擠壓負荷的作用下,玻璃潤(run)滑劑被擠壓成模子不可分離的部分。模子中位于直接鄰近定徑區的玻璃潤滑劑可形成連續的玻璃膜,保證金屬在流體動摩擦條件下完成變形。而玻璃潤滑劑的隔熱性能可降低模子凸緣部分金屬的受熱程度,從而提高擠壓模的使用壽命。新型結構組合模的應用實踐表明,單從模子的使用壽命來考慮,新型結構組合模的使用壽命是圓錐模的數倍。


 擠壓含硼的不銹(xiu)鋼產品時發現,產品縱向和橫向上的力學性能存在較大的各向異性,這是由于附加相的縱向變形顯著或不溶性非金屬化合物在縱向呈條狀所致。


 為了避免(mian)擠(ji)壓產(chan)(chan)品出現性(xing)能的(de)(de)各(ge)向(xiang)異(yi)性(xing),擠(ji)壓時強(qiang)迫產(chan)(chan)品在成(cheng)(cheng)形(xing)(xing)過程中進行(xing)旋轉,造(zao)成(cheng)(cheng)擠(ji)壓產(chan)(chan)品性(xing)能各(ge)向(xiang)異(yi)性(xing)的(de)(de)相組織(zhi)條紋線呈螺旋形(xing)(xing)布置。在模(mo)子錐(zhui)形(xing)(xing)部分(fen)刻成(cheng)(cheng)螺旋形(xing)(xing)的(de)(de)凹線,而在模(mo)子的(de)(de)圓柱(zhu)帶無(wu)這種凹槽。擠(ji)壓時,產(chan)(chan)品依靠這種專(zhuan)門的(de)(de)模(mo)子旋轉,完成(cheng)(cheng)附(fu)加相的(de)(de)螺旋形(xing)(xing)分(fen)布,擠(ji)壓出的(de)(de)鋼管(guan)仍具有光滑外表面。在采用帶凹線入口錐(zhui)形(xing)(xing)模(mo)擠(ji)壓,含硼產(chan)(chan)品力學性(xing)能的(de)(de)各(ge)向(xiang)異(yi)性(xing)明顯下降。