擠壓筒是不銹鋼管擠壓機組工模具中最大的部件,25~30MN(2500~3000t)擠壓機的擠壓筒一套筒部件的重量達到8~10噸,50MN(5000t)擠壓機擠壓筒重約15t,60MN(6000t)擠壓機的擠壓筒重為20t,80MN(8000t)擠壓機的擠壓筒重40t,而220MN(20000t)擠壓機的擠壓筒重達100t以上。


  擠壓筒是用于放(fang)置已(yi)加熱(re)到擠壓溫度的坯(pi)料的容(rong)器(qi)。擠壓時擠壓筒內壁承受著將坯(pi)料擠壓成制品全部變形的徑(jing)向壓力,其負荷水平可以達到1000MPa以上(shang)。


  擠(ji)壓(ya)(ya)(ya)(ya)筒(tong)的(de)(de)(de)(de)工(gong)作(zuo)條件是十分嚴酷的(de)(de)(de)(de)。沿被加(jia)熱的(de)(de)(de)(de)擠(ji)筒(tong)內襯(chen)的(de)(de)(de)(de)長度方(fang)向上,周期(qi)性(xing)的(de)(de)(de)(de)作(zuo)用有強烈的(de)(de)(de)(de)、不均勻的(de)(de)(de)(de)加(jia)熱和冷卻(que),高(gao)(gao)(gao)溫坯料與擠(ji)壓(ya)(ya)(ya)(ya)筒(tong)內襯(chen)壁之間接(jie)觸的(de)(de)(de)(de)高(gao)(gao)(gao)溫高(gao)(gao)(gao)壓(ya)(ya)(ya)(ya)摩擦力(li)(li),高(gao)(gao)(gao)的(de)(de)(de)(de)徑向壓(ya)(ya)(ya)(ya)力(li)(li),隨后又沖(chong)擊性(xing)的(de)(de)(de)(de)下(xia)降。同(tong)時,冷空(kong)氣或水通過擠(ji)壓(ya)(ya)(ya)(ya)筒(tong)內襯(chen)的(de)(de)(de)(de)孔腔,使(shi)其受到強烈的(de)(de)(de)(de)冷卻(que)。在(zai)(zai)所(suo)有這(zhe)些(xie)工(gong)作(zuo)條件下(xia),在(zai)(zai)擠(ji)壓(ya)(ya)(ya)(ya)筒(tong)的(de)(de)(de)(de)材(cai)料中引(yin)(yin)起(qi)熱超高(gao)(gao)(gao)應力(li)(li)。這(zhe)種情況在(zai)(zai)擠(ji)壓(ya)(ya)(ya)(ya)筒(tong)前端(duan)三(san)分之一的(de)(de)(de)(de)內襯(chen)長度上顯得(de)尤其嚴重。由(you)于高(gao)(gao)(gao)溫變形(xing)金(jin)屬的(de)(de)(de)(de)流動(dong),在(zai)(zai)擠(ji)壓(ya)(ya)(ya)(ya)筒(tong)內襯(chen)前端(duan)的(de)(de)(de)(de)套筒(tong)壁上引(yin)(yin)起(qi)強烈的(de)(de)(de)(de)熱摩擦,使(shi)其產生磨(mo)損(sun)或裂(lie)紋,導致內襯(chen)損(sun)壞。


  早期的(de)擠(ji)(ji)壓(ya)筒(tong)采用(yong)(yong)的(de)都(dou)(dou)是(shi)整體結(jie)構(gou),現(xian)在這種結(jie)構(gou)的(de)擠(ji)(ji)壓(ya)筒(tong)甚(shen)至在小噸位(wei)的(de)擠(ji)(ji)壓(ya)機(ji)上都(dou)(dou)已被(bei)淘(tao)汰。目前,現(xian)代(dai)化(hua)的(de)大型(xing)擠(ji)(ji)壓(ya)機(ji)上所采用(yong)(yong)的(de)擠(ji)(ji)壓(ya)筒(tong)一(yi)套(tao)(tao)(tao)筒(tong)系統都(dou)(dou)是(shi)由(you)2個、3個或更多的(de)套(tao)(tao)(tao)筒(tong)組成的(de)多層結(jie)構(gou)擠(ji)(ji)壓(ya)筒(tong),并且在各(ge)層套(tao)(tao)(tao)筒(tong)之間(jian)都(dou)(dou)帶(dai)有一(yi)定(ding)的(de)過盈量,以熱裝的(de)方式裝配而成。


  采用過盈配合(he)的(de)(de)(de)多(duo)(duo)層(ceng)(ceng)結(jie)(jie)構擠(ji)(ji)壓(ya)(ya)(ya)(ya)筒(tong)(tong)(tong)(tong)(tong),使(shi)(shi)每層(ceng)(ceng)套(tao)筒(tong)(tong)(tong)(tong)(tong)的(de)(de)(de)結(jie)(jie)合(he)面上都具有(you)一定(ding)的(de)(de)(de)預(yu)應(ying)力。由于有(you)預(yu)應(ying)力的(de)(de)(de)存在,使(shi)(shi)多(duo)(duo)層(ceng)(ceng)結(jie)(jie)構的(de)(de)(de)擠(ji)(ji)壓(ya)(ya)(ya)(ya)筒(tong)(tong)(tong)(tong)(tong)在承(cheng)受擠(ji)(ji)壓(ya)(ya)(ya)(ya)產(chan)生的(de)(de)(de)熱(re)超高應(ying)力作用時,套(tao)筒(tong)(tong)(tong)(tong)(tong)之間的(de)(de)(de)應(ying)力分布趨于均勻,從而使(shi)(shi)擠(ji)(ji)壓(ya)(ya)(ya)(ya)筒(tong)(tong)(tong)(tong)(tong)套(tao)筒(tong)(tong)(tong)(tong)(tong)的(de)(de)(de)材料(liao)得到(dao)充分的(de)(de)(de)利(li)用;并且還可以提高熱(re)擠(ji)(ji)壓(ya)(ya)(ya)(ya)時擠(ji)(ji)壓(ya)(ya)(ya)(ya)筒(tong)(tong)(tong)(tong)(tong)承(cheng)受的(de)(de)(de)單(dan)位(wei)壓(ya)(ya)(ya)(ya)力,從而提高擠(ji)(ji)壓(ya)(ya)(ya)(ya)筒(tong)(tong)(tong)(tong)(tong)套(tao)筒(tong)(tong)(tong)(tong)(tong)的(de)(de)(de)使(shi)(shi)用壽命。


  擠(ji)壓筒(tong)內(nei)(nei)襯套(tao)(tao)的結構(gou)形式(shi),包(bao)括內(nei)(nei)襯套(tao)(tao)的內(nei)(nei)徑(jing)和形狀,內(nei)(nei)襯套(tao)(tao)外徑(jing)與中套(tao)(tao)內(nei)(nei)徑(jing)的配合(he);除(chu)了(le)過(guo)盈配合(he)之外,還有多種形式(shi)的配合(he),如圖(tu)7-4所示。擠(ji)壓筒(tong)內(nei)(nei)襯套(tao)(tao)經(jing)熱(re)處理后,其硬度(du)HRC達到40~45;在不(bu)重車的情況下(xia),使用壽命達到1500~4000次。


4.jpg


  除此之(zhi)外,擠壓筒使用時,為了建立熱(re)(re)擠壓過程本身所需的(de)熱(re)(re)力學條件,擠壓筒的(de)預(yu)熱(re)(re)極為重(zhong)要。擠壓筒的(de)預(yu)熱(re)(re)可以提高其使用壽(shou)命。


  擠(ji)壓(ya)筒(tong)(tong)預(yu)熱(re)(re)時(shi),為了(le)能快速地加熱(re)(re),減小熱(re)(re)量損失,在(zai)外(wai)加熱(re)(re)的同時(shi),最好能采(cai)用特殊可換式加熱(re)(re)器(qi)來(lai)預(yu)熱(re)(re)擠(ji)壓(ya)筒(tong)(tong)的內(nei)部,為了(le)保持(chi)壓(ya)人套筒(tong)(tong)時(shi)在(zai)套筒(tong)(tong)和擠(ji)壓(ya)筒(tong)(tong)內(nei)產(chan)生的預(yu)應力,內(nei)加熱(re)(re)非常必要(yao)。若僅(jin)強烈(lie)的外(wai)加熱(re)(re),將使預(yu)應力降低,從而,惡化(hua)擠(ji)壓(ya)筒(tong)(tong)套筒(tong)(tong)的工(gong)作能力。


  一般對于較大噸位的(de)(de)臥式擠(ji)壓(ya)機,擠(ji)壓(ya)筒(tong)的(de)(de)預熱(re)采(cai)(cai)用內(nei)置式的(de)(de)加熱(re)元件(jian)進行預熱(re)(圖(tu)7-5和圖(tu)7-6),而對于較小的(de)(de)擠(ji)壓(ya)筒(tong),較多(duo)的(de)(de)是采(cai)(cai)用活動的(de)(de)感應加熱(re)器(也(ye)有(you)用熱(re)坯料(liao))直(zhi)接(jie)放入擠(ji)壓(ya)筒(tong)內(nei)腔內(nei)進行預熱(re)。一旦擠(ji)壓(ya)開(kai)始擠(ji)壓(ya)筒(tong)內(nei)襯便處于受熱(re)狀(zhuang)態,不需要加熱(re),而是需要經常進行冷(leng)卻。圖(tu)7-5所示(shi)為(wei)俄羅斯(si)制(zhi)(zhi)造的(de)(de)63MN(6300t)臥式液(ye)(ye)壓(ya)擠(ji)壓(ya)機的(de)(de)帶預熱(re)裝置的(de)(de)三層結(jie)構擠(ji)壓(ya)筒(tong),圖(tu)7-6所示(shi)為(wei)德國制(zhi)(zhi)造的(de)(de)帶擠(ji)壓(ya)筒(tong)測(ce)溫(wen)裝置的(de)(de)60MN(6000t)臥式液(ye)(ye)壓(ya)擠(ji)壓(ya)機三層結(jie)構擠(ji)壓(ya)筒(tong)。


5.jpg


一、擠壓筒(tong)-套(tao)筒(tong)系統的設計條件


 擠壓筒-套筒系統的設(she)計條件如下:


  1. 擠(ji)壓(ya)時,擠(ji)壓(ya)筒(tong)中的(de)內壓(ya)力分布是不均(jun)勻的(de),其影響(xiang)因素(su)很多。但設計計算(suan)時,認為內應力是均(jun)勻分布的(de)。


  2. 擠壓時,擠壓筒壁上的單位壓力的大小是很難確定的。在足夠精確的情況下,可以認為其等于(0.5~0.8)p,即作用在擠壓筒壁上的徑向壓力pi,將低于擠壓桿上所施加的壓力p。


   擠壓力在金屬中的傳遞是不均勻的,其不同于壓力在液體中的傳遞,因此實際上在計算徑向壓力時,采用pi=(0.5~0.8)p,其中,金屬變形的難易系數(0.5~0.8)與變形金屬在一定壓力下的流動能力有關,即擠壓難變形材料時,該系數取小值。


  3. 在設(she)計計算擠壓(ya)簡一(yi)套簡系(xi)統(tong)部件時,首先(xian)根據(ju)經驗數據(ju)確定(ding)擠壓(ya)簡的主要尺寸、套筒(tong)的數量(liang)及(ji)其(qi)近似(si)尺寸,然后對所(suo)選定(ding)的系(xi)統(tong)進行強度驗算。


  4. 工(gong)藝條件決定(ding)了擠壓機工(gong)作套(tao)筒所需的內徑和擠壓力。此擠壓力為在工(gong)作套(tao)筒內孔截面上建立(li)一定(ding)的單位(wei)壓力所必需的。


  5. 擠(ji)壓筒外徑采用(yong)以下關系(xi)式確定:


a.jpg


  6. 在擠(ji)壓(ya)筒(tong)-套(tao)(tao)筒(tong)系(xi)統計算時,當套(tao)(tao)筒(tong)壁厚增加至一(yi)定范圍而(er)對最大應力數值的影響(xiang)很小時,為使(shi)套(tao)(tao)筒(tong)材料的性能(neng)得到(dao)充分(fen)利用,并使(shi)沿斷面(mian)上應力較均勻地分(fen)布,在大壓(ya)力的情況下(xia)應采用組合套(tao)(tao)筒(tong)。


  7. 對于多(duo)層(ceng)結(jie)構的(de)擠(ji)壓(ya)筒(tong)一套(tao)(tao)(tao)筒(tong)系統,可(ke)根據(ju)其許用(yong)應力(li)與壁厚系數的(de)關(guan)系圖(tu)表(biao)來(lai)選(xuan)擇合(he)理結(jie)構的(de)多(duo)層(ceng)擠(ji)壓(ya)筒(tong)。其保證條件(jian)是(shi):套(tao)(tao)(tao)筒(tong)以一定的(de)公(gong)盈裝(zhuang)入多(duo)層(ceng)擠(ji)壓(ya)筒(tong)中(zhong),提高(gao)其承(cheng)受最大壓(ya)力(li)的(de)能力(li),并在此壓(ya)力(li)下,擠(ji)壓(ya)筒(tong)一套(tao)(tao)(tao)筒(tong)系統內的(de)應力(li)不超(chao)過允許值。


  8. 擠(ji)壓(ya)(ya)筒(tong)(tong)(tong)一套(tao)筒(tong)(tong)(tong)系(xi)統(tong)的(de)(de)(de)強(qiang)度(du)(du),由擠(ji)壓(ya)(ya)筒(tong)(tong)(tong)材(cai)(cai)(cai)料在(zai)工作(zuo)溫(wen)度(du)(du)下的(de)(de)(de)屈(qu)(qu)服(fu)極(ji)(ji)限(xian)(xian)(xian)(σt)和單位擠(ji)壓(ya)(ya)力(li)(li)所(suo)決定(ding)。在(zai)擠(ji)壓(ya)(ya)筒(tong)(tong)(tong)一套(tao)筒(tong)(tong)(tong)內表面上(shang)的(de)(de)(de)最大切應力(li)(li)不應超過這個屈(qu)(qu)服(fu)極(ji)(ji)限(xian)(xian)(xian)。當此應力(li)(li)大于(yu)或等(deng)(deng)于(yu)材(cai)(cai)(cai)料熱狀(zhuang)態下的(de)(de)(de)屈(qu)(qu)服(fu)極(ji)(ji)限(xian)(xian)(xian),則(ze)擠(ji)壓(ya)(ya)筒(tong)(tong)(tong)應做成2、3或4層。這時整個系(xi)統(tong)的(de)(de)(de)強(qiang)度(du)(du)就取決于(yu)所(suo)選用(yong)(yong)材(cai)(cai)(cai)料在(zai)熱狀(zhuang)態下的(de)(de)(de)屈(qu)(qu)服(fu)強(qiang)度(du)(du)極(ji)(ji)限(xian)(xian)(xian)σt、σt'、σt”和擠(ji)壓(ya)(ya)筒(tong)(tong)(tong)各個套(tao)筒(tong)(tong)(tong)中產生的(de)(de)(de)應力(li)(li)。實踐證明,在(zai)這種情(qing)況下套(tao)筒(tong)(tong)(tong)的(de)(de)(de)內、外直徑比很(hen)重要。對(dui)所(suo)有套(tao)筒(tong)(tong)(tong)來講,應是(shi)相等(deng)(deng)的(de)(de)(de),即(ji)如果d/dx=U,那(nei)么U1=U2=U3.對(dui)易擠(ji)壓(ya)(ya)的(de)(de)(de)金(jin)屬用(yong)(yong)較厚的(de)(de)(de)套(tao)筒(tong)(tong)(tong),即(ji)U1>U2;而對(dui)難擠(ji)壓(ya)(ya)的(de)(de)(de)金(jin)屬采用(yong)(yong)較薄的(de)(de)(de)套(tao)筒(tong)(tong)(tong),即(ji)U1<U2.


  在(zai)正確選擇切應力(li)時,可正確選擇用(yong)以抵消(xiao)主應力(li)的熱裝(zhuang)應力(li)。為了安全,各套(tao)簡均在(zai)一定(ding)的公盈(ying)量下(xia)進行熱裝(zhuang),以使每個套(tao)筒(tong)的負荷與材(cai)料熱狀(zhuang)態(tai)下(xia)的屈(qu)(qu)服極限(xian)(xian)有同樣(yang)的比例(li)。在(zai)計算時,應采用(yong)低于相(xiang)應材(cai)料在(zai)熱狀(zhuang)態(tai)下(xia)之屈(qu)(qu)服極限(xian)(xian)。


為使套筒中的(de)應力趨于平(ping)緩,采用(yong)如下(xia)的(de)直(zhi)徑比:


b.jpg


 9. 在強(qiang)(qiang)度驗算(suan)時,因為擠(ji)壓筒部(bu)件通常是(shi)采用韌性熱(re)強(qiang)(qiang)鋼制造的(de)(de),因此,最近似的(de)(de)是(shi)按第(di)三強(qiang)(qiang)度理(li)(li)論(lun)(lun)(最大(da)(da)切應力理(li)(li)論(lun)(lun))和第(di)四強(qiang)(qiang)度理(li)(li)論(lun)(lun)(能量理(li)(li)論(lun)(lun))驗算(suan)。對于整(zheng)體式(shi)擠(ji)壓筒,其危(wei)險點(擠(ji)壓筒內(nei)表面)上的(de)(de)應力不超過(guo)允(yun)用值的(de)(de)情況下其最大(da)(da)壓力,可按第(di)三強(qiang)(qiang)度理(li)(li)論(lun)(lun)計(ji)算(suan),也可按第(di)四強(qiang)(qiang)度理(li)(li)論(lun)(lun)計(ji)算(suan)。


 10. 多層(ceng)(ceng)擠(ji)壓(ya)筒的極限應力(li)與(yu)層(ceng)(ceng)數(shu)無關,與(yu)整體式擠(ji)壓(ya)筒相比(bi),其極限應力(li)提高2倍(bei)。


 11. 擠壓筒的內(nei)部壓力(li)(li),在(zai)(zai)套(tao)筒橫截面的徑向上產生壓縮應(ying)力(li)(li),在(zai)(zai)切(qie)線(xian)方向上產生拉伸(shen)應(ying)力(li)(li)。軸向應(ying)力(li)(li)在(zai)(zai)所有斷面中是均(jun)勻分布的,計(ji)算時可忽略不計(ji)。


 12. 擠(ji)(ji)壓(ya)(ya)(ya)筒-套(tao)(tao)筒系統的(de)(de)熱裝配是在(zai)一定的(de)(de)公盈量下裝入已加熱到350~400℃溫度的(de)(de)擠(ji)(ji)壓(ya)(ya)(ya)筒中。已磨損(sun)套(tao)(tao)筒的(de)(de)更換(huan)可以在(zai)專(zhuan)用的(de)(de)設(she)備上進行,也可采用專(zhuan)門裝置(zhi)在(zai)擠(ji)(ji)壓(ya)(ya)(ya)機(ji)(ji)上頂出(chu)套(tao)(tao)筒。套(tao)(tao)筒頂出(chu)時,其壓(ya)(ya)(ya)力不允許(xu)大于3~5MPa(表(biao)壓(ya)(ya)(ya))。因為套(tao)(tao)筒頂出(chu)后,急劇(ju)的(de)(de)卸壓(ya)(ya)(ya)可能引(yin)起擠(ji)(ji)壓(ya)(ya)(ya)機(ji)(ji)工作故(gu)障,甚至在(zai)大壓(ya)(ya)(ya)力下會導致擠(ji)(ji)壓(ya)(ya)(ya)機(ji)(ji)損(sun)壞。


 13. 在熱(re)裝(zhuang)時,應(ying)保證套(tao)筒(tong)(tong)和擠(ji)壓(ya)筒(tong)(tong)材(cai)料不會被回火而產生(sheng)塑(su)性變形(xing),消除套(tao)筒(tong)(tong)內的原始受(shou)壓(ya)狀態,減(jian)小熱(re)裝(zhuang)時的公盈(ying)將會惡化擠(ji)壓(ya)筒(tong)(tong)殼體的工作,增加套(tao)筒(tong)(tong)的應(ying)力,從而更難選擇套(tao)筒(tong)(tong)的材(cai)料。因此,過(guo)盈(ying)選擇不當可(ke)使(shi)擠(ji)壓(ya)筒(tong)(tong)使(shi)用壽命降低。


 過盈(ying)量一般為筒徑的0.1%~0.2%.60MN(6000t)擠壓(ya)機(ji)在各(ge)套筒上的公盈(ying)量均為0.2%(與德國 Schloemann公司的31.5MN(3150t)擠壓(ya)機(ji)相同(tong))。


  原上海異形鋼管廠的經驗認為,過盈(ying)量為筒徑(jing)的0.15%(約為0.7~1.2mm)較為合適。


14. 在(zai)(zai)確定了多層擠壓(ya)筒(tong)由套(tao)筒(tong)熱裝和擠壓(ya)力所產生(sheng)的應力之后,在(zai)(zai)選擇套(tao)筒(tong)和擠壓(ya)筒(tong)的材(cai)料時(shi),還要考慮附加(jia)應力的存在(zai)(zai)。附加(jia)應力由以下因素產生(sheng): a. 擠(ji)(ji)壓(ya)(ya)時,套(tao)筒(tong)與熱鋼(gang)坯接(jie)觸(chu)導致擠(ji)(ji)壓(ya)(ya)筒(tong)一套(tao)筒(tong)系統的溫升;b. 壓(ya)(ya)力(li)沿(yan)擠(ji)(ji)壓(ya)(ya)筒(tong)長度上傳遞的不均勻性(xing);c. 金(jin)屬與套(tao)筒(tong)壁(bi)的熱摩(mo)擦。


根(gen)據(ju)以上因素(su)對擠壓筒一套(tao)筒系統中應(ying)力產(chan)生的(de)影響,應(ying)提出其(qi)修正(zheng)值。


二、擠壓(ya)筒內襯的(de)使用條(tiao)件(jian)


擠(ji)壓筒內(nei)襯(chen)是(shi)多層擠(ji)壓筒一(yi)套筒系統(tong)中(zhong)的(de)易損(sun)件,其壽命一(yi)般(ban)為(wei)1500~4000次(ci)/只。擠(ji)壓筒內(nei)襯(chen)的(de)使用條件如下:


 1. 擠(ji)壓(ya)(ya)(ya)(ya)時(shi),金屬在(zai)高(gao)溫(wen)高(gao)壓(ya)(ya)(ya)(ya)下以400mm/s的(de)速度(du)滑動,即使在(zai)良好的(de)潤滑條件下,內(nei)(nei)(nei)(nei)襯內(nei)(nei)(nei)(nei)表(biao)面在(zai)1.5mm深度(du)的(de)范圍內(nei)(nei)(nei)(nei)被加(jia)熱(re)到650~700℃的(de)高(gao)溫(wen)。尤其(qi)是在(zai)靠近擠(ji)壓(ya)(ya)(ya)(ya)模一(yi)端的(de)200~300mm的(de)長度(du)上,擠(ji)壓(ya)(ya)(ya)(ya)筒(tong)(tong)內(nei)(nei)(nei)(nei)襯的(de)內(nei)(nei)(nei)(nei)表(biao)面遭受到最強烈(lie)的(de)熱(re)摩擦,引起(qi)最嚴重的(de)磨損(sun),會形成(cheng)縱向(xiang)劃道、內(nei)(nei)(nei)(nei)壁溝(gou)槽和表(biao)面粗糙(cao)及龜裂,進而導致內(nei)(nei)(nei)(nei)襯的(de)報廢。因此,一(yi)般在(zai)設計多(duo)層擠(ji)壓(ya)(ya)(ya)(ya)簡(jian)一(yi)套(tao)簡(jian)系(xi)統的(de)結構時(shi)。應該考慮到擠(ji)壓(ya)(ya)(ya)(ya)筒(tong)(tong)的(de)內(nei)(nei)(nei)(nei)襯套(tao)筒(tong)(tong)可以允(yun)許調(diao)頭使用(yong)。因為使用(yong)經驗表(biao)明(ming),在(zai)進料端的(de)擠(ji)壓(ya)(ya)(ya)(ya)筒(tong)(tong)內(nei)(nei)(nei)(nei)襯的(de)內(nei)(nei)(nei)(nei)表(biao)面沒(mei)有(you)發生磨損(sun)。


另(ling)外,當內(nei)襯(chen)壓(ya)(ya)入(ru)不良或者由于中套和內(nei)襯(chen)磨損,公盈(ying)消(xiao)失(shi),會(hui)形(xing)成內(nei)襯(chen)縱(zong)向(xiang)裂(lie)紋(wen)。大部(bu)分(fen)縱(zong)向(xiang)裂(lie)紋(wen)的(de)發生都在內(nei)襯(chen)壓(ya)(ya)出(chu)以后(hou)(hou),即(ji)公盈(ying)已經消(xiao)失(shi)之(zhi)時。這種(zhong)情(qing)況限制了內(nei)襯(chen)修復(fu)的(de)可能(neng)性。作為預防的(de)辦法,可以在內(nei)襯(chen)壓(ya)(ya)出(chu)以后(hou)(hou),立(li)即(ji)在500℃溫度(du)下進行退火4~5h,以消(xiao)除應力。


 2. 國外的使用經(jing)驗已經(jing)證明(ming),采用離心(xin)澆注的空心(xin)坯來制(zhi)造(zao)擠壓筒的內(nei)襯,是最(zui)合理的工藝。因為在其制(zhi)造(zao)過程中消耗最(zui)少,成本(ben)最(zui)低。


  采(cai)用(yong)離心澆注空心坯作擠(ji)壓筒(tong)內(nei)(nei)(nei)襯時,其機械加(jia)工的余量,對(dui)外徑(jing)而言約為(wei)10~15mm,對(dui)內(nei)(nei)(nei)徑(jing)而言應不少于(yu)20~25mm.內(nei)(nei)(nei)襯粗加(jia)工以(yi)后(hou)再經熱(re)處理(淬火后(hou)高溫回火)。


  專門的(de)研究(jiu)確定,鍛造的(de)擠壓(ya)筒內襯和離心澆注的(de)擠壓(ya)筒內襯,其使用壽命相(xiang)同。在各種工作條件(jian)下的(de)實際使用,證明均可以達到1500~4000次/只(zhi)的(de)使用壽命指標。


三、臥式擠(ji)壓機的擠(ji)壓筒一(yi)套筒系統(tong)的計算


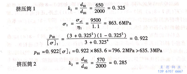
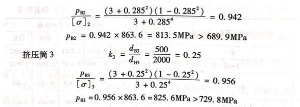
 80MN(8000t)擠(ji)(ji)壓機擠(ji)(ji)壓筒的結(jie)構(帶(dai)預(yu)熱器)如圖7-7所(suo)示。


7.jpg


  計(ji)算時,按作用(yong)有(you)內外(wai)壓力的多層厚壁圓筒強度計(ji)算的方法進(jin)行。


  假(jia)設:(1)沿(yan)擠(ji)壓(ya)筒長度上單(dan)位壓(ya)應(ying)力(li)(li)不(bu)變(bian),且與擠(ji)壓(ya)墊上的(de)單(dan)位壓(ya)力(li)(li)相等;(2)軸向壓(ya)應(ying)力(li)(li)不(bu)大,計(ji)算時可忽略不(bu)計(ji);(3)所有的(de)組成套筒經受均勻(yun)的(de)熱制度的(de)作(zuo)用;(4)內孔(kong)在(zai)加熱器的(de)作(zuo)用下對套筒外(wai)內表(biao)面應(ying)力(li)(li)和變(bian)形無影響。


 按Slame公式確定切向應力σt和徑向應力σr,而軸向力引起的應力σg不計。則:


式 1.jpg


 在(zai)強(qiang)(qiang)度驗算時,因為擠(ji)壓筒部件(jian)通常是采用韌性熱強(qiang)(qiang)鋼制造,且其(qi)(qi)受力(li)條件(jian)為二(er)向的平面(mian)應(ying)力(li)狀態。因此,對于整(zheng)體(ti)式擠(ji)壓筒,在(zai)內表面(mian)危險點上的應(ying)力(li)不超(chao)過允許值的情況下,其(qi)(qi)最大壓應(ying)力(li),可按第三強(qiang)(qiang)度理(li)(li)論(lun)和(he)第四強(qiang)(qiang)度理(li)(li)論(lun)來計(ji)算。


按(an)照第四強(qiang)度理論計(ji)算時的等效(xiao)應(ying)力為(wei):


式 3.jpg


式 9.jpg

可見(jian),多層(ceng)擠壓(ya)筒(tong)的內(nei)應(ying)力絕對值始終小于許用應(ying)力絕對值。且擠壓(ya)筒(tong)的裝配次序(xu)(圖(tu)7-7)為:裝好擠壓(ya)筒(tong)殼體(將套筒(tong)2嵌入(ru)套筒(tong)1中),然后,在由套筒(tong)1和2所組成的擠壓(ya)筒(tong)殼體中嵌入(ru)內(nei)套筒(tong)3。


按式(7-8)確(que)定最大(da)單位力,為了便于計算,列(lie)表7-2.





第(di)3套筒(tong)(內(nei)套筒(tong))的內(nei)應(ying)力(li)(li),即為在對(dui)每個套筒(tong)所選擇許用應(ying)力(li)(li)情況下,所求(qiu)的整個擠壓(ya)筒(tong)的最(zui)大單位工作壓(ya)力(li)(li)(對(dui)應(ying)表7-2第(di)17行)。


按(an)式(7-10)確(que)(que)定擠壓筒的內應力,并與(yu)列入(ru)表7-2第17行的式(7-8)確(que)(que)定的單位壓力相比較得(de):