隨(sui)機變量(liang)模型和隨(sui)機過(guo)程模型是研(yan)究91香蕉視頻app:應力腐蝕概(gai)率的常用模(mo)型,本章重點介紹(shao)隨機變(bian)量模(mo)型。


一(yi)、應力(li)-強度(du)干(gan)涉模型


 1942年,Pugsley提(ti)出了采用應力(li)(li)(li)、強(qiang)度(du)分(fen)(fen)(fen)布(bu)函(han)數曲線的(de)(de)干(gan)涉區面積(ji)分(fen)(fen)(fen)析失效(xiao)概率的(de)(de)方(fang)法,即(ji)(ji)應力(li)(li)(li)-強(qiang)度(du)干(gan)涉模(mo)型,該模(mo)型在(zai)構(gou)件和(he)(he)系統的(de)(de)可靠性分(fen)(fen)(fen)析中(zhong)得到了廣泛應用。目(mu)前,已成為分(fen)(fen)(fen)析構(gou)件和(he)(he)系統失效(xiao)概率的(de)(de)重(zhong)要模(mo)型之一。在(zai)結構(gou)可靠性分(fen)(fen)(fen)析中(zhong),應力(li)(li)(li)-強(qiang)度(du)(S-R)干(gan)涉模(mo)型應用最廣,模(mo)型中(zhong)的(de)(de)S和(he)(he)R的(de)(de)含義不僅僅是(shi)力(li)(li)(li)學分(fen)(fen)(fen)析中(zhong)的(de)(de)應力(li)(li)(li)和(he)(he)強(qiang)度(du),二者具有更廣泛的(de)(de)范疇。對(dui)于一個系統而言,S指的(de)(de)是(shi)造成結構(gou)破壞的(de)(de)所有因素,即(ji)(ji)推動(dong)力(li)(li)(li);R代表了結構(gou)抵抗破壞的(de)(de)能(neng)力(li)(li)(li),即(ji)(ji)阻抗力(li)(li)(li)。


  應(ying)(ying)(ying)(ying)力(li)(li)(li)腐蝕(shi)斷裂(lie)是(shi)(shi)一種(zhong)低應(ying)(ying)(ying)(ying)力(li)(li)(li)脆斷,是(shi)(shi)斷裂(lie)和腐蝕(shi)兩(liang)種(zhong)機理相(xiang)互影(ying)響的(de)(de)(de)(de)結果。因此(ci),當應(ying)(ying)(ying)(ying)力(li)(li)(li)還遠低于斷裂(lie)應(ying)(ying)(ying)(ying)力(li)(li)(li)時(shi)就(jiu)能(neng)(neng)(neng)引起應(ying)(ying)(ying)(ying)力(li)(li)(li)腐蝕(shi)裂(lie)紋(wen)的(de)(de)(de)(de)產生和擴展(zhan)。應(ying)(ying)(ying)(ying)力(li)(li)(li)作用(yong)降低了材(cai)(cai)(cai)料的(de)(de)(de)(de)耐腐蝕(shi)性(xing)能(neng)(neng)(neng),而腐蝕(shi)降低了材(cai)(cai)(cai)料的(de)(de)(de)(de)斷裂(lie)強度(du)(du),兩(liang)者是(shi)(shi)互相(xiang)促進的(de)(de)(de)(de)。也(ye)就(jiu)是(shi)(shi)說,機械力(li)(li)(li)和化學力(li)(li)(li)的(de)(de)(de)(de)協同作用(yong)導致了裂(lie)紋(wen)的(de)(de)(de)(de)擴展(zhan),如果只有(you)應(ying)(ying)(ying)(ying)力(li)(li)(li)或腐蝕(shi)單獨作用(yong),是(shi)(shi)不會出現應(ying)(ying)(ying)(ying)力(li)(li)(li)腐蝕(shi)斷裂(lie)的(de)(de)(de)(de)結果。應(ying)(ying)(ying)(ying)力(li)(li)(li)腐蝕(shi)斷裂(lie)要經過(guo)一定的(de)(de)(de)(de)時(shi)間才能(neng)(neng)(neng)發生,這是(shi)(shi)因為能(neng)(neng)(neng)量積蓄到使(shi)材(cai)(cai)(cai)料破壞的(de)(de)(de)(de)程度(du)(du)是(shi)(shi)需要時(shi)間的(de)(de)(de)(de),應(ying)(ying)(ying)(ying)力(li)(li)(li)腐蝕(shi)是(shi)(shi)使(shi)材(cai)(cai)(cai)料強度(du)(du)逐漸(jian)退(tui)化的(de)(de)(de)(de)過(guo)程,因此(ci),我們可(ke)以采用(yong)耐久性(xing)損(sun)傷模(mo)型來描述應(ying)(ying)(ying)(ying)力(li)(li)(li)腐蝕(shi)失效的(de)(de)(de)(de)物理過(guo)程。由S-R干涉模(mo)型的(de)(de)(de)(de)理論可(ke)以寫出結構(gou)的(de)(de)(de)(de)極(ji)限狀態方程


式 1.jpg

式 2.jpg


  因此(ci),對于失效(xiao)(xiao)概率的研(yan)究就轉化(hua)為(wei)對強(qiang)度(du)和應力(li)由于概率分布干(gan)涉(she)引起的狀(zhuang)態(tai)失效(xiao)(xiao)問題的研(yan)究。當fs(s)和fR(r)分別表示應力(li)和強(qiang)度(du)的概率密(mi)度(du)函(han)數時,圖中兩者重疊部分面積(ji)反映了失效(xiao)(xiao)概率的大小(xiao),如圖6-1所示。


1.jpg


  假如最初應力(li)與強度是留有充分(fen)的(de)(de)安全余(yu)量的(de)(de),那么經過一定(ding)時間(jian)后,隨著應力(li)分(fen)布(bu)(bu)與強度分(fen)布(bu)(bu)的(de)(de)交(jiao)疊(die),就有失效發生(sheng),這種情形可以說是耐久模型(xing)的(de)(de)典型(xing)例子。根(gen)據應力(li)-強度干(gan)涉模型(xing)不但能夠(gou)求解應力(li)腐蝕失效概(gai)率,還可以分(fen)析(xi)應力(li)腐蝕不同(tong)階段的(de)(de)概(gai)率情況,如裂紋的(de)(de)萌生(sheng)概(gai)率、裂紋的(de)(de)擴展概(gai)率等。


  當材料發(fa)生腐蝕后,隨(sui)著時(shi)間(jian)(jian)的(de)(de)推(tui)移,材料抵(di)抗破壞的(de)(de)能(neng)(neng)力(li)(li)降低(di),而腐蝕環境很可能(neng)(neng)變(bian)得(de)更加苛(ke)刻。例(li)如應(ying)(ying)(ying)力(li)(li)腐蝕,隨(sui)著裂紋(wen)的(de)(de)擴展,材料強度(du)降低(di)、裂紋(wen)尖(jian)端應(ying)(ying)(ying)力(li)(li)集(ji)中區(qu)域增大(da),局部存在侵蝕性(xing)離子的(de)(de)富集(ji),使(shi)得(de)廣義應(ying)(ying)(ying)力(li)(li)變(bian)大(da)而強度(du)降低(di),此時(shi)S(t)和(he)R(t)都是與時(shi)間(jian)(jian)有(you)關的(de)(de)變(bian)量,很顯(xian)然,概率(lv)密度(du)函數也(ye)著時(shi)間(jian)(jian)的(de)(de)變(bian)化(hua)而變(bian)化(hua)。當強度(du)隨(sui)時(shi)間(jian)(jian)發(fa)生衰退時(shi),強度(du)和(he)應(ying)(ying)(ying)力(li)(li)組成的(de)(de)干涉區(qu)域隨(sui)時(shi)間(jian)(jian)變(bian)化(hua)會越來越大(da),這意味著產品可靠(kao)性(xing)在降低(di)。


2.jpg


  大多數(shu)參(can)數(shu)的不(bu)確定性與時(shi)間有(you)關。發生應(ying)(ying)力腐蝕時(shi),構(gou)件所受的廣義應(ying)(ying)力一般是隨機過程(cheng),應(ying)(ying)力稱為(wei)時(shi)間的函數(shu),強度(du)為(wei)一固定的臨界值,如圖6-2所示(shi),功能函數(shu)應(ying)(ying)表(biao)示(shi)為(wei)


式 5.jpg



二、應力腐蝕參(can)數的(de)概率分布估計(ji)


1. 變(bian)量分布類型確(que)定


  采用S-R模型(xing)分(fen)(fen)(fen)析應力(li)腐(fu)蝕(shi)失效(xiao)概(gai)率(lv)(lv)時,第一步是確定應力(li)腐(fu)蝕(shi)的(de)(de)(de)“推動力(li)”,即(ji)S所包(bao)含(han)的(de)(de)(de)參(can)數(shu),包(bao)括溫度、侵蝕(shi)性離子濃(nong)度、pH值等(deng),分(fen)(fen)(fen)析各(ge)參(can)數(shu)的(de)(de)(de)分(fen)(fen)(fen)布(bu)(bu)(bu)概(gai)型(xing)。在進(jin)行參(can)數(shu)的(de)(de)(de)概(gai)率(lv)(lv)分(fen)(fen)(fen)布(bu)(bu)(bu)類(lei)型(xing)研究中(zhong),一般經(jing)過(guo)以下步驟:①. 假設隨機變(bian)量(liang)服從某一分(fen)(fen)(fen)布(bu)(bu)(bu);②. 在假設分(fen)(fen)(fen)布(bu)(bu)(bu)基(ji)礎(chu)上(shang)構(gou)建統(tong)計(ji)量(liang);③. 根(gen)據(ju)統(tong)計(ji)量(liang)的(de)(de)(de)分(fen)(fen)(fen)布(bu)(bu)(bu)做出統(tong)計(ji)推斷(duan),進(jin)行擬合檢驗;④. 選擇最優概(gai)型(xing)。常(chang)用的(de)(de)(de)統(tong)計(ji)量(liang)包(bao)括均值、標準(zhun)差、極差、變(bian)異(yi)系數(shu)、偏度等(deng)。正態分(fen)(fen)(fen)布(bu)(bu)(bu)、威布(bu)(bu)(bu)爾(Weibull)分(fen)(fen)(fen)布(bu)(bu)(bu)、指數(shu)分(fen)(fen)(fen)布(bu)(bu)(bu)以及Poisson分(fen)(fen)(fen)布(bu)(bu)(bu)等(deng)都(dou)是應力(li)腐(fu)蝕(shi)概(gai)率(lv)(lv)分(fen)(fen)(fen)析中(zhong)經(jing)常(chang)用到的(de)(de)(de)隨機變(bian)量(liang)的(de)(de)(de)概(gai)率(lv)(lv)分(fen)(fen)(fen)布(bu)(bu)(bu)類(lei)型(xing)。


通常(chang),直接計(ji)算(suan)概率(lv)(lv)的(de)(de)密度(du)函(han)數難度(du)非常(chang)大(da),常(chang)用的(de)(de)處(chu)理方法是把概率(lv)(lv)密度(du)估(gu)計(ji)轉(zhuan)化為參數估(gu)計(ji)問題。因此概率(lv)(lv)密度(du)函(han)數的(de)(de)確定是關(guan)鍵,正確的(de)(de)密度(du)函(han)數是獲得準(zhun)確估(gu)計(ji)值(zhi)的(de)(de)重要(yao)前(qian)提。


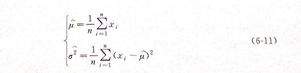
2. 參數(shu)的估計和(he)假(jia)設檢(jian)驗


由于(yu)正(zheng)(zheng)態分(fen)布(bu)(bu)情(qing)況發(fa)生的(de)(de)(de)比較(jiao)多(duo),因此,以(yi)正(zheng)(zheng)態分(fen)布(bu)(bu)為例加(jia)(jia)以(yi)說明。參(can)(can)(can)數(shu)(shu)估計(ji)(ji)的(de)(de)(de)思路(lu)是采(cai)用樣(yang)本(ben)統計(ji)(ji)量(liang)估計(ji)(ji)總(zong)體參(can)(can)(can)數(shu)(shu)。常用的(de)(de)(de)參(can)(can)(can)數(shu)(shu)估計(ji)(ji)方法有(you)矩估計(ji)(ji)法和最大(da)(極大(da))似(si)(si)然法,除(chu)此之外,還有(you)最小二(er)乘、貝葉斯估計(ji)(ji)等方法。矩估計(ji)(ji)法不(bu)受(shou)變量(liang)分(fen)布(bu)(bu)的(de)(de)(de)影響,這(zhe)也恰(qia)恰(qia)成(cheng)為該方法的(de)(de)(de)缺(que)點,即(ji)變量(liang)的(de)(de)(de)分(fen)布(bu)(bu)信息不(bu)能(neng)被(bei)充分(fen)利用,一般具(ju)有(you)多(duo)個(ge)分(fen)析結果。與矩估計(ji)(ji)法相反(fan),最大(da)似(si)(si)然法的(de)(de)(de)使用受(shou)已知變量(liang)概(gai)(gai)型(xing)(xing)的(de)(de)(de)影響,必須(xu)在已知概(gai)(gai)型(xing)(xing)的(de)(de)(de)前提下(xia)(xia)才能(neng)使用,而且(qie)假設的(de)(de)(de)概(gai)(gai)率(lv)模(mo)型(xing)(xing)正(zheng)(zheng)確性對參(can)(can)(can)數(shu)(shu)估計(ji)(ji)結果影響很大(da)。最大(da)似(si)(si)然估計(ji)(ji)法具(ju)有(you)計(ji)(ji)算簡單、收(shou)斂型(xing)(xing)好等特點,在參(can)(can)(can)數(shu)(shu)估計(ji)(ji)中的(de)(de)(de)應用更(geng)加(jia)(jia)廣泛,其主(zhu)要計(ji)(ji)算步驟如下(xia)(xia):


式 8.jpg


  式(6-10)稱(cheng)為(wei)似然(ran)方(fang)程組,求(qiu)解該方(fang)程組,得出均值、方(fang)差最大似然(ran)估計值


式 11.jpg


  以上過程是參(can)(can)數估(gu)計,下面(mian)對參(can)(can)數假(jia)設檢(jian)驗。與參(can)(can)數估(gu)計的(de)目的(de)相同,參(can)(can)數假(jia)設檢(jian)驗也(ye)是根據(ju)樣本信息對總體的(de)數量特征(zheng)進(jin)行推斷。


  假(jia)(jia)(jia)(jia)設(she)檢驗(yan)是以樣本資料對總體(ti)的先驗(yan)假(jia)(jia)(jia)(jia)設(she)是否成(cheng)立,根據樣本的統計量檢驗(yan)假(jia)(jia)(jia)(jia)設(she)的總體(ti)參數的可靠度(du),同(tong)時做出判(pan)斷結果(guo)(guo),判(pan)斷結果(guo)(guo)包(bao)括接受和拒(ju)絕。分析過(guo)程(cheng)是:①. 提(ti)出原假(jia)(jia)(jia)(jia)設(she)(要求檢驗(yan)的假(jia)(jia)(jia)(jia)設(she))H0 :F(x)=F0(x)和備選假(jia)(jia)(jia)(jia)設(she)(如果(guo)(guo)原假(jia)(jia)(jia)(jia)設(she)不成(cheng)立,就(jiu)要接受另一個(ge)假(jia)(jia)(jia)(jia)設(she))H1:F(x)≠F0(x);②. 選取恰當的檢驗(yan)統計量;③. 計算觀測(ce)值(zhi);④. 確定顯(xian)著性水(shui)平;⑤. 依據檢驗(yan)統計量觀測(ce)值(zhi)的位置給(gei)出判(pan)斷結果(guo)(guo)。


在(zai)以上分析(xi)過(guo)程中(zhong),可(ke)能會(hui)犯(fan)兩類(lei)錯(cuo)(cuo)誤(wu):當H0為(wei)真時而拒(ju)絕H0,稱為(wei)第(di)(di)(di)一(yi)類(lei)錯(cuo)(cuo)誤(wu);當H0為(wei)假時而接(jie)受H0,稱為(wei)第(di)(di)(di)二類(lei)錯(cuo)(cuo)誤(wu)。犯(fan)兩類(lei)錯(cuo)(cuo)誤(wu)的概(gai)(gai)率通常是(shi)矛(mao)盾(dun)的:一(yi)個概(gai)(gai)率小(xiao)了另一(yi)個概(gai)(gai)率就大。在(zai)實際使(shi)(shi)用(yong)中(zhong),我們一(yi)般限定犯(fan)第(di)(di)(di)一(yi)類(lei)錯(cuo)(cuo)誤(wu)的概(gai)(gai)率不(bu)超過(guo)給定的α,使(shi)(shi)犯(fan)第(di)(di)(di)二類(lei)錯(cuo)(cuo)誤(wu)的概(gai)(gai)率就可(ke)能小(xiao)。在(zai)正態總(zong)體參數的假設檢(jian)(jian)驗中(zhong),主要包括(kuo)均值的U檢(jian)(jian)驗和t檢(jian)(jian)驗、方差的χ2檢(jian)(jian)驗等(deng)。


3. 分(fen)布的假(jia)設檢驗


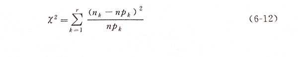
  上一小節介紹(shao)的(de)(de)是(shi)(shi)在(zai)總(zong)(zong)(zong)體分布已(yi)知(zhi)的(de)(de)情況(kuang)下,對(dui)分布中的(de)(de)一些(xie)未知(zhi)參數進行檢(jian)(jian)驗(yan)(yan)。但(dan)是(shi)(shi),很多(duo)時候(hou)并(bing)不知(zhi)道總(zong)(zong)(zong)體的(de)(de)分布規律,我們(men)往(wang)往(wang)是(shi)(shi)根據樣(yang)本(ben)來假設總(zong)(zong)(zong)體的(de)(de)分布類(lei)型,因此,對(dui)于總(zong)(zong)(zong)體樣(yang)本(ben)所假設的(de)(de)分布是(shi)(shi)否正確,還需要(yao)檢(jian)(jian)驗(yan)(yan),常用的(de)(de)有χ2、J-B、A-D、K-S等檢(jian)(jian)驗(yan)(yan)方(fang)法,其中χ2檢(jian)(jian)驗(yan)(yan)應用較多(duo),下面以(yi)這種方(fang)法為例,介紹(shao)檢(jian)(jian)驗(yan)(yan)過程(cheng)。


  χ2檢驗法的分(fen)析(xi)過(guo)程是:①. 提出原假(jia)(jia)設(she);②. 檢驗假(jia)(jia)設(she)H0:Fx(x)=F0(x;θ1,θ2,··,θm).先(xian)用若(ruo)干(gan)個(ge)互不相交的小區間把樣(yang)本數據(ju)進(jin)行分(fen)組,通(tong)(tong)常(chang)每個(ge)區間的數據(ju)不少于5個(ge),若(ruo)不滿足(zu)這一要求(qiu)(qiu),可以(yi)通(tong)(tong)過(guo)合并區間來達(da)到這一要求(qiu)(qiu)。假(jia)(jia)設(she)H0成立(li),根(gen)據(ju)分(fen)組結果計(ji)算(suan)χ2檢驗統計(ji)量


式 12.jpg


雜 1.jpg


4. 主要參數的概率分布


 根據以(yi)上分(fen)析(xi)步驟,對(dui)應(ying)力(li)腐(fu)蝕環境(jing)中的離(li)子(zi)濃度的統(tong)計(ji)性進行分(fen)析(xi)。數(shu)據來自某石化企(qi)業的監測數(shu)據。頻率(lv)直方圖要將(jiang)樣本值分(fen)為(wei)r個不相(xiang)交的區間,r值可由 Sturges公式確定,并取(qu)整數(shu)。r值取(qu)決于樣本數(shu)n。


式 13.jpg

3.jpg

3.1.jpg


  首先,假設(she)各參數服從正(zheng)態分(fen)布,并畫(hua)出正(zheng)態分(fen)布的密度函數曲線,該計(ji)算采用matlab編(bian)程完成,計(ji)算結果如圖6-3所示(shi)。


  從圖(tu)6-3可以看出,pH、氯離(li)子濃度(du)和硫酸(suan)根離(li)子濃度(du)滿(man)(man)足(zu)正態分布,而亞硫酸(suan)根離(li)子濃度(du)不滿(man)(man)足(zu)正態分布,經過(guo)分析,認為滿(man)(man)足(zu)威布爾分布,如圖(tu)6-4所示(shi)。


4.jpg


  經(jing)過卡方(fang)檢驗,在(zai)顯(xian)著(zhu)性(xing)水平(ping)0.05下(xia),可以認為:


  溫度服從N(98.25,1.642);


  pH服從(cong)N(4.4608,0.29522);


  硫(liu)酸根(gen)離(li)子(zi)濃(nong)度服從N(143.5204,9.48592);


  氯離子(zi)濃度服從N(35.3481,17.57352);


  亞(ya)硫酸根離(li)子濃度服從α=0.5926,β=1.5746的兩(liang)參數威布爾分布。


  亞硫酸根離子濃度(du)服從威布爾分布的原因:亞硫酸根不穩定,與氫離子反應,從而濃度(du)逐漸減小。


三(san)、失效概率計算方法


1. 解析(xi)法


  當應(ying)力和強(qiang)(qiang)度(du)是比(bi)較簡單的(de)變量時(shi),式(6-4)可(ke)以直接(jie)計算失效(xiao)概率(lv)(lv)。在一些研(yan)究中,會出現“干涉面(mian)積=失效(xiao)概率(lv)(lv)”的(de)說法(fa),這種說法(fa)是不正(zheng)確(que)的(de)。根(gen)據(ju)可(ke)靠性理論可(ke)知,應(ying)力-強(qiang)(qiang)度(du)模型中強(qiang)(qiang)度(du)大(da)于(yu)應(ying)力的(de)概率(lv)(lv)即為可(ke)靠度(du)。可(ke)靠度(du)P可(ke)根(gen)據(ju)下式計算


5.jpg



  從計算結果可以看(kan)出,失效概率遠小于干涉面積之和。


式 17.jpg

式 24.jpg


2. 數值解析法


  當隨(sui)機(ji)變量(liang)較多(duo)時,直接求(qiu)解失效(xiao)概(gai)率(lv)(lv)值是(shi)很困(kun)難的(de)(de)(de)(de),采(cai)用(yong)數值求(qiu)解是(shi)一(yi)種比較好的(de)(de)(de)(de)解決方法(fa)。在應力腐蝕概(gai)率(lv)(lv)計算中,涉及的(de)(de)(de)(de)隨(sui)機(ji)變量(liang)較多(duo)且具有不(bu)同的(de)(de)(de)(de)分布類型,結果難以用(yong)解析法(fa)和近似法(fa)求(qiu)解,可以采(cai)用(yong)蒙(meng)特(te)卡洛(Monte-Carlo)模擬法(fa)。Monte-Carlo模擬法(fa)的(de)(de)(de)(de)特(te)點是(shi):①. 受研(yan)究(jiu)問(wen)題(ti)維數的(de)(de)(de)(de)影響(xiang)較小(xiao);②. 不(bu)受假(jia)設約束;③. 不(bu)存在狀態空間爆(bao)炸問(wen)題(ti);④. 不(bu)受變量(liang)數量(liang)的(de)(de)(de)(de)影響(xiang)。因此(ci),Monte-Carlo法(fa)是(shi)一(yi)種處(chu)理(li)高維動態失效(xiao)概(gai)率(lv)(lv)問(wen)題(ti)的(de)(de)(de)(de)方法(fa)。


  蒙特卡洛模擬法又(you)稱(cheng)為隨機模擬法,基本思想是:


式 27.jpg