1. 用PN標(biao)記的整體鋼制(zhi)91香蕉視頻app:管法蘭91香蕉視頻app:密封面型式及適用的公(gong)稱壓力和公(gong)稱尺寸范圍見(jian)表 6-1。


1.jpg


2. 用PN標記的整體鋼制管法蘭的結構型式包括平面型、突面型、凹凸面型、榫槽面型、O形圈面型及環連接面型等6種,如圖6-1~圖6-6所示。



3. 用PN標記(ji)的(de)(de)整體鋼制管(guan)法蘭密封尺寸見圖(tu)6-2~圖(tu)6-5及表(biao)6-2。用PN標記(ji)的(de)(de)法蘭環連接面尺寸見圖(tu)6-6及表(biao)6-3.




4. 用PN 標記的整體鋼制管法蘭(lan)的結構尺寸見圖 6-1 ~ 圖 6-6 及表 6-4 ~表 6-15。



注(zhu):公稱(cheng)尺(chi)寸(cun)DN10~DN40的法(fa)蘭(lan)使用PN40法(fa)蘭(lan)的尺(chi)寸(cun);公稱(cheng)尺(chi)寸(cun)DN50~DN150的法(fa)蘭(lan)使用PN16法(fa)蘭(lan)的尺(chi)寸(cun)。

    ①. 對(dui)(dui)于鑄(zhu)鐵法蘭(lan)(lan)和(he)銅合金(jin)(jin)法蘭(lan)(lan),該(gai)規格的法蘭(lan)(lan)可(ke)能是4個螺栓(shuan)孔的,因(yin)此,當制造(zao)廠和(he)用戶協(xie)商(shang)同(tong)意后(hou),與鑄(zhu)鐵法蘭(lan)(lan)和(he)銅合金(jin)(jin)法蘭(lan)(lan)配對(dui)(dui)使用的鋼制法蘭(lan)(lan)可(ke)以采用4個螺栓(shuan)孔。

    ②. 括號內尺寸為原標準法蘭厚度,對(dui)于現有(you)設(she)備或供需雙方認可仍(reng)可采用(yong)括號內的(de)尺寸,用(yong)戶也可以根據(ju)計算確定法蘭厚度。

    ③. 帶括號尺寸(cun)不推薦(jian)使(shi)用(yong),并且僅適用(yong)于(yu)船用(yong)法(fa)蘭(lan)。



7.jpg


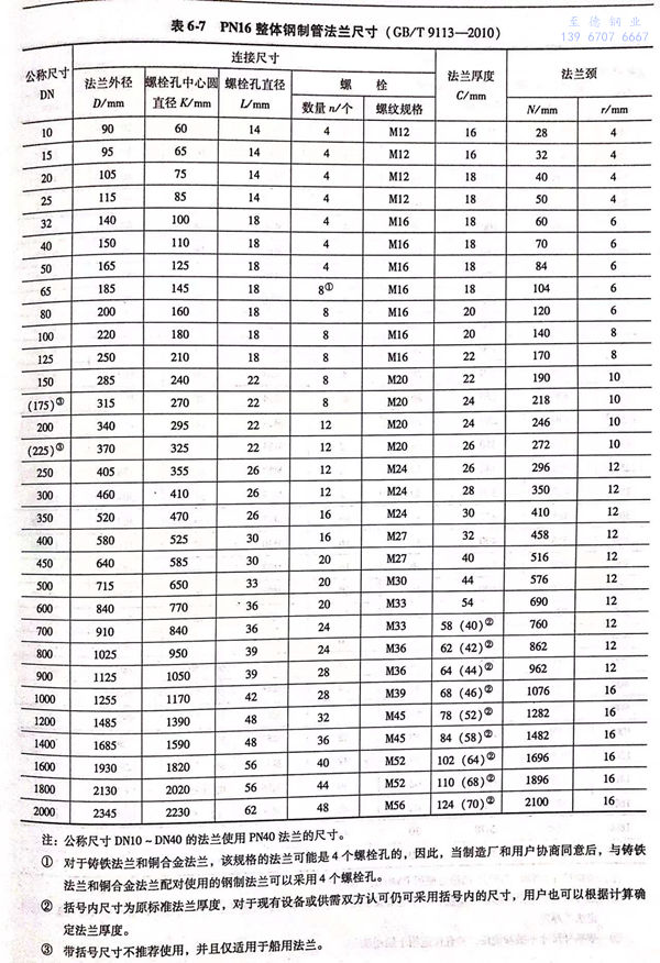
注:公稱尺寸DN10~DN40的法蘭使(shi)用PN40法蘭的尺寸。

   ①. 對(dui)于鑄鐵(tie)法(fa)蘭(lan)(lan)和銅合金法(fa)蘭(lan)(lan),該規格的法(fa)蘭(lan)(lan)可能是4個螺(luo)栓(shuan)孔的,因此,當制(zhi)造(zao)廠和用(yong)戶協商同意后,與鑄鐵(tie)法(fa)蘭(lan)(lan)和銅合金法(fa)蘭(lan)(lan)配對(dui)使用(yong)的鋼(gang)制(zhi)法(fa)蘭(lan)(lan)可以采用(yong)4個螺(luo)栓(shuan)孔。

   ②. 括號(hao)內(nei)(nei)尺寸為原(yuan)標準(zhun)法(fa)蘭厚度,對(dui)于(yu)現(xian)有設備或供需雙方認(ren)可(ke)(ke)仍可(ke)(ke)采用括號(hao)內(nei)(nei)的尺寸,用戶(hu)也(ye)可(ke)(ke)以根(gen)據計算確定法(fa)蘭厚度。

   ③. 帶括號尺(chi)寸不推薦(jian)使用,并(bing)且僅適用于船用法蘭。


8.jpg


注:公(gong)稱(cheng)尺(chi)(chi)寸DN10~DN150的(de)法蘭使(shi)用PN40法蘭的(de)尺(chi)(chi)寸。

  ①. 括(kuo)號內尺(chi)寸為原標準(zhun)法蘭厚(hou)度(du),對(dui)于現有設備(bei)或供需雙方認可(ke)(ke)(ke)仍可(ke)(ke)(ke)采用括(kuo)號內的尺(chi)寸,用戶也可(ke)(ke)(ke)以根據(ju)計算確(que)定法蘭厚(hou)度(du)。

  ②. 帶(dai)括號尺寸不推薦使用,并且(qie)僅(jin)適(shi)用于船用法蘭(lan)。