鋼制管法(fa)蘭(lan)參(can)考質量,用于供(gong)設計、制造、建(jian)設和施工(gong)等(deng)單位(wei)作工(gong)程詢價(jia)、報價(jia)及預算等(deng)工(gong)作時參(can)考。91香蕉視頻app:法蘭的參考質(zhi)量不作為檢測法蘭的技術指標準,只作為資料性的參考文件。


1. 用PN標記的法(fa)蘭


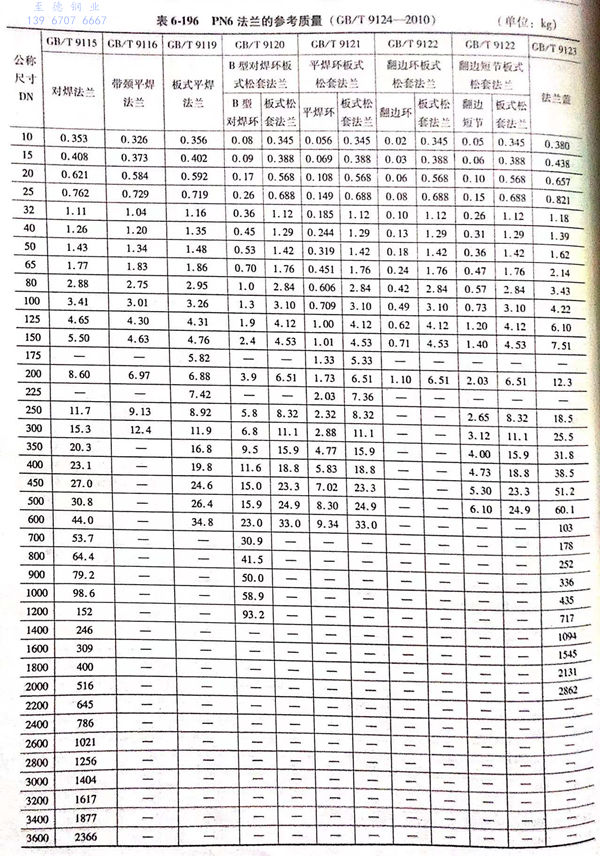
 用PN標記的(de)法蘭(包括PN2.5~PN400共12個(ge)壓力級的(de)法蘭)的(de)參考質(zhi)量見表6-195~表6-203。





2. 用 Class 標記的法蘭


 用 Class 標記的(de)法蘭(lan)(包括 Class 150 ~ Class 2500 共6個壓力級(ji)的(de)法蘭(lan))的(de)參考質量見(jian)表(biao)6-204~表(biao)6-209。