一、通(tong)用金屬環(huan)形(xing)墊(dian)片型式(shi)、尺寸及公差


1. 型式與尺寸


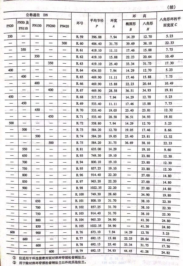
 金屬(shu)環形(xing)(xing)墊片(pian)按截面形(xing)(xing)狀(zhuang)分為八角形(xing)(xing)和橢(tuo)圓形(xing)(xing)兩種結構(gou),如圖14-1所示,尺寸見表14-1.


1.2.jpg




2. 尺寸公差(cha)


 金屬環(huan)形墊片的(de)尺寸(cun)極限偏差見(jian)表(biao) 14-2。


2.jpg



二、通用金屬(shu)環形墊片技術要求


1. 材料 


 金屬環墊(dian)坯(pi)料的化(hua)學成分應(ying)符合(he)相應(ying)標(biao)準(zhun)的規(gui)定,其(qi)中軟鐵的化(hua)學成分應(ying)符合(he)表14-3的規(gui)定,常用材料的牌號、代號、推薦最高使用溫度(du)和執(zhi)行標(biao)準(zhun)見(jian)表14-4。根據供需雙方(fang)協商,允許采用表14-4之(zhi)外的其(qi)他材料,其(qi)性能應(ying)符合(he)相關標(biao)準(zhun)要求(qiu)。


3.jpg


2. 硬度(du) 


 金屬環墊的硬度一般應低于法蘭材料,以確保緊密連接。合金及不銹鋼法(fa)蘭用金屬環墊的硬度值由供需雙方協商確定。同一金屬環墊的硬度應均勻,其極差不得超過10HBW,測試各點的硬度不得超過表14-5的規定。常用材料的金屬環墊推薦最大硬度值見表14-5。


5.jpg


 在(zai)某些情況(kuang)下,金屬環(huan)(huan)墊的硬度(du)(du)值可能不低(di)于法(fa)蘭(lan)合(he)金材料的硬度(du)(du)值。例如,為了(le)獲(huo)得最(zui)佳耐腐蝕性狀態而(er)進行(xing)熱處(chu)理的不銹鋼法(fa)蘭(lan);與(yu)退火至(zhi)最(zui)低(di)硬度(du)(du)的同樣(yang)材料制成的環(huan)(huan)墊具有相(xiang)同的硬度(du)(du)范圍。


3. 表(biao)面粗糙(cao)度 


 金(jin)屬環墊(dian)的密封面(八(ba)角墊(dian)的斜面、橢圓墊(dian)的圓弧面)不(bu)得有劃痕、磕痕、裂(lie)紋和凹坑,表面粗糙度(du)不(bu)大于Ra1.6μm.



三、通用金屬環形墊片標(biao)記


 1. 標記(ji)方法 


  金屬環(huan)形墊片的標(biao)記(ji)由墊片形式、環(huan)號-墊片材(cai)料牌號和墊片標(biao)準(zhun)號組成(cheng)。


 2. 標記示例


  號為20, 材料為0Cr19Ni9 的八(ba)(ba)角形金屬環墊片,其標(biao)記為:八(ba)(ba)角墊  R.20-0Cr19Ni9  GB/T 9128