柔(rou)性石(shi)墨金(jin)屬波(bo)齒復合墊(dian)片是(shi)由(you)柔(rou)性石(shi)墨做成的(de)(de)(de)金(jin)屬波(bo)齒復合墊(dian)片是(shi)在機械加工成波(bo)齒狀的(de)(de)(de)金(jin)屬板兩面覆蓋(gai)上柔(rou)性石(shi)墨的(de)(de)(de)一種(zhong)復合墊(dian)片。這種(zhong)墊(dian)片既有(you)金(jin)屬的(de)(de)(de)強度,又有(you)波(bo)紋彈性的(de)(de)(de)特點,最高(gao)使用溫(wen)度可達(da)到650℃左右;適(shi)用公稱(cheng)壓力用PN標記的(de)(de)(de)91香蕉視頻app:法蘭用(yong)墊片尺寸的最(zui)高壓(ya)力可(ke)達(da)250bar;適用(yong)公稱壓(ya)力用(yong)Class標記的法蘭(lan)用(yong)墊片尺寸的最(zui)高壓(ya)力可(ke)達(da)到1500磅級(PN260bar).此種(zhong)墊片通常用(yong)于突(tu)面(mian)、凹凸(tu)面(mian)及(ji)榫槽面(mian)帶頸對焊鋼制管(guan)法蘭(lan)、壓(ya)力容器法蘭(lan)、91香蕉視頻app:閥門及換熱器等管道(dao)和設備的密封。


一、型式及代(dai)號


1. 型式(shi)


  柔(rou)性石(shi)墨金屬波齒復合墊片,按結(jie)構的不同可分(fen)為基(ji)本(ben)型(xing)、帶(dai)定(ding)位環(huan)型(xing)及帶(dai)定(ding)位耳型(xing)3種(zhong)型(xing)式。


 a. 基本型 


 基本(ben)型(xing)柔性石(shi)墨金屬波齒復(fu)合墊片(pian)適用于(yu)榫(sun)槽面和凹凸面法蘭,其結構型(xing)式如圖13-23所示。


圖 23.jpg


 b. 帶定位環(huan)型


帶(dai)定位環型柔(rou)性石墨金屬波齒復合墊(dian)片適用于全平面(mian)和(he)突面(mian)密封面(mian)法蘭,其結(jie)構型式如圖13-24所示。


圖 24.jpg


 c. 帶定位耳型


 帶定位耳型柔(rou)性石墨金屬波齒復合(he)墊片適用于全平面和突面密封面法蘭,其(qi)結(jie)構型式(shi)如圖13-25所示。


圖 25.jpg


2. 代號


 a.  墊片的型式代(dai)號見表 13-36。


36.jpg


 b. 金屬骨架(jia)的常(chang)用材料(liao)代號見表 13-37。


37.jpg




二、尺寸及(ji)公差


1. 公(gong)稱(cheng)壓力用 PN 標(biao)記的法蘭用墊片(pian)尺寸


a. 榫槽面法(fa)蘭用基本型(xing)墊片尺寸見圖 13-23 和(he) 表 13-38。


38.jpg


b. 凹(ao)凸面法蘭用基(ji)本(ben)型墊片尺寸見(jian)圖(tu) 13-23 和 表 13-39。


39.jpg


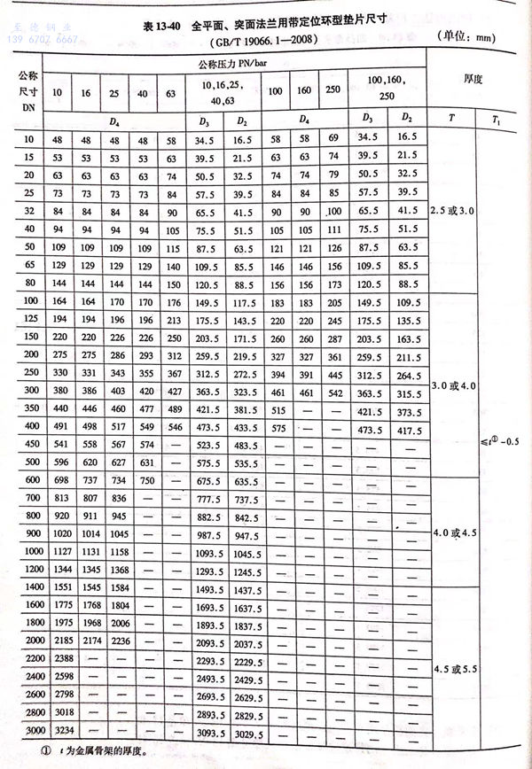
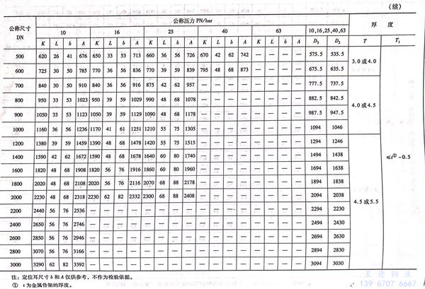
c. 全平面(mian)、突面(mian)法(fa)蘭用帶(dai)定位(wei)環型墊片尺寸(cun)見圖 13-24 和 表 13-40。


40.jpg


d. 全平(ping)面、突面法(fa)蘭用帶定位(wei)耳環型墊片尺寸(cun)見圖 13-25 和 表 13-41。



2. 公稱(cheng)壓力用(yong) Class 標記的法蘭用(yong)墊片尺寸


a. 榫槽面法蘭(lan)用基本型(xing)墊片尺(chi)寸見圖(tu) 13-23 和 表 13-42。


42.jpg


b. 凹凸面法蘭用基本(ben)型墊片尺寸見圖 13-23 和(he) 表 13-43。


43.jpg


c. 全平面(mian)、突面(mian)法蘭用帶定(ding)位環型墊片尺寸見圖 13-24 和 表 13-44。


44.jpg


d. 全平面、突面法(fa)蘭用帶定位耳環型墊片(pian)尺寸(cun)見圖 13-25 和 表 13-45。


45.jpg



3. 公稱壓(ya)力(li)用Class 標記的大(da)直(zhi)徑鋼(gang)制管法(fa)蘭用墊片(pian)尺寸


a. 公稱壓力用Class 標(biao)記的(de)A系列大直徑(jing)突(tu)面法蘭用帶定位環型的(de)墊片尺寸(cun)見(jian)圖13-24和(he)表13-46。


46.jpg


b. 公稱壓力(li)用(yong)(yong)Class 標記的B系列大直徑(jing)突面法蘭(lan)用(yong)(yong)帶定位環型墊片(pian)尺寸見圖13-24和表13-47。


47.jpg


c. 公稱(cheng)壓(ya)力用Class 標(biao)記的(de)A系列(lie)大直徑突面法(fa)蘭用帶(dai)定位(wei)耳型墊(dian)片的(de)尺寸見圖13-26和表(biao)13-48.


圖 26.jpg

48.jpg


d. 公稱壓力用Class標記的(de)B系列大直徑突面法用帶定位耳型的(de)墊片尺(chi)寸(cun)見圖13-26和表13-49。


49.jpg


4. 金屬骨架尺寸(cun)的極限偏差


金屬波齒復(fu)合(he)墊片(pian)金屬骨架尺寸的極限偏(pian)差見表13-50.復(fu)合(he)后的墊片(pian)外徑和密封元件寬度的極限偏(pian)差與(yu)金屬骨架的相同。


5. 墊片厚度(du)公差


墊片厚(hou)度的極(ji)限偏差見表13-51;波齒深度以及波齒圓(yuan)弧半(ban)徑(jing)的尺寸(cun)及其(qi)極(ji)限偏差由制(zhi)造(zao)廠(chang)(商)進行(xing)確(que)定(ding)。


6. 尺寸極限偏差


大直徑(jing)法蘭用柔性石(shi)墨金屬(shu)波齒復合墊片尺寸極限偏差見(jian)表13-52.




50.jpg



三、技(ji)術要求


1. 金屬骨架


a. 金屬(shu)骨(gu)架材料及硬度要求見表13-53.材料的(de)機械(xie)性能和化學(xue)成分應(ying)符合相應(ying)標準的(de)規定。


b. 金屬(shu)骨(gu)架一般使用整(zheng)張金屬(shu)板制作(zuo),若受材(cai)料寬(kuan)度限制需拼(pin)接(jie)時(shi),其(qi)拼(pin)接(jie)接(jie)頭的(de)數量(liang)應有所限制。拼(pin)接(jie)接(jie)頭的(de)數量(liang)見表13-54.對(dui)接(jie)切口應采(cai)用氬弧(hu)焊(han)或電焊(han)對(dui)接(jie)焊(han)縫必須打磨與母材(cai)齊平,焊(han)縫處不應出現夾渣、氣孔(kong)等(deng)影響(xiang)焊(han)接(jie)接(jie)頭質量(liang)的(de)缺陷(xian)。


c. 金屬骨(gu)(gu)(gu)(gu)架(jia)的(de)結(jie)構見圖13-27,其結(jie)構尺寸和參數(shu)由制(zhi)造廠(商)設計(ji)確定(ding),并確保金屬骨(gu)(gu)(gu)(gu)架(jia)兩側面波峰與波谷應錯(cuo)開1/2齒距(ju),波齒距(ju)一(yi)致(zhi),波齒圓弧半徑(jing)相(xiang)等,所(suo)有齒尖應在一(yi)個平面內,骨(gu)(gu)(gu)(gu)架(jia)無(wu)明顯(xian)翹(qiao)曲變形。成形后的(de)金屬骨(gu)(gu)(gu)(gu)架(jia)任意(yi)兩點(dian)厚度(du)偏(pian)差在制(zhi)作(zuo)骨(gu)(gu)(gu)(gu)架(jia)的(de)板材(cai)厚度(du)偏(pian)差范(fan)圍之內。


d. 定位環(huan)(包括定位耳(er)環(huan))厚度T1通常為T1≤t-0.5,定位環(huan)可直接與波齒部分一起加工成一整(zheng)體。定位環(huan)采(cai)用碳(tan)鋼材料(liao)時,其(qi)表(biao)面應進行防銹處理。


e. 當(dang)墊片單邊寬度較窄時,宜采用較小的波齒距,并使單邊不(bu)得少于(yu)3個齒尖,以(yi)保證密封(feng)性能。


2. 墊片的復合


a. 墊片用粘合劑應按有(you)關(guan)標(biao)準規定(ding),柔性(xing)石(shi)墨應符合JB/T 7758.2《柔性(xing)石(shi)墨板(ban)技(ji)術條件》的規定(ding)。


b. 墊片復(fu)合后的(de)截面圖(tu)見圖(tu)13-28.墊片的(de)公稱厚度(du)T一般(ban)為2.5、3.0、4.0和4.5mm四種(zhong),特殊厚度(du)的(de)墊片可(ke)根據(ju)用(yong)戶要求制作。


圖 28.jpg


c. 柔性石墨(mo)與金屬骨架復合后(hou)應不(bu)脫(tuo)膠(jiao),附(fu)著牢固,粘合無多余飛邊。墊片厚度(du)均勻一致(zhi),表面光滑平整,不(bu)允(yun)許有影響密封性能的徑向貫通劃(hua)傷、壓痕及凹凸不(bu)平等(deng)缺陷。


d. 大規格墊片(pian)(DN≥300mm)石(shi)墨允許搭接(jie)(jie)(jie),搭接(jie)(jie)(jie)部分的寬度為1~3mm,應(ying)(ying)采用斜口搭接(jie)(jie)(jie),上下層搭接(jie)(jie)(jie)部分不能(neng)重疊(die),搭接(jie)(jie)(jie)處應(ying)(ying)光滑過渡。


3. 性能


 柔(rou)性(xing)石墨(mo)金屬波(bo)齒(chi)復(fu)合墊片各(ge)項(xiang)力學性(xing)能(neng)及(ji)密封性(xing)能(neng)指標見表13-55.


55.jpg


四(si)、標記及(ji)標志(zhi)


1. 標記


 a. 標(biao)記方(fang)法


雜 4.jpg


 b. 標記示例


  墊(dian)片型(xing)式(shi):帶定位(wei)環型(xing);金屬骨架材料:06Cr19Ni10;公(gong)稱尺寸:DN150;公(gong)稱壓力:PN40;墊(dian)片標準:GB/T 19066.1;其(qi)標記為:


  波齒墊  B4-DN150-PN40  GB/T 19066.1


2. 標(biao)志


按GB/T 19066.3-2003《柔性(xing)石墨金屬波(bo)齒復合(he)墊片技(ji)術條件》規定:經檢(jian)驗合(he)格的產品(pin),制造(zao)廠應填寫產品(pin)合(he)格證(zheng)作為標志,并隨產品(pin)一起裝箱發(fa)送。合(he)格證(zheng)包括以下(xia)各項內容:


  a. 產品標記。


  b. 產品規格及符合標準的(de)編(bian)號。


  c. 產(chan)品批號。


 d. 生產日期。


 e. 檢(jian)(jian)驗日期及檢(jian)(jian)驗者(zhe)姓名、代號。


 f. 制造廠名稱。


 g. 商(shang)標。