通用管件系指量大、面廣且適用于各行各業的管件(jian)(通常有國家標準)。通用管件包括給水用灰鑄鐵管件;排水用灰鑄鐵管及管件;球墨鑄鐵管、管件和附件;可鍛鑄鐵管件;鋼制對焊無縫管件;鋼板制對焊管件;鍛鋼制承插焊管件及鍛鋼制螺紋管件等8部分內容。


給水(shui)用灰鑄鐵管件結構型式與尺寸


1. 承盤短管型式見圖 4-3 ,尺寸見表 4-4 。

4.jpg


2. 承插(cha)盤(pan)短(duan)管型式(shi)見(jian)圖 4-4 ,尺寸見(jian)表 4-5 。

5.jpg


3. 套(tao)管型式見(jian)圖 4-5 ,尺寸見(jian)表(biao) 4-6 。

6.jpg


4. 90°雙承彎管型式(shi)見圖(tu) 4-6 ,尺寸見表 4-7 。


7.jpg


5. 45°雙(shuang)承彎管(guan)型式見圖 4-7 ,尺寸見表(biao) 4-8 。


8.jpg


6. 22.5°雙承彎管型(xing)式見圖 4-8 ,尺寸見表 4-9 。


9.jpg


7. 11.25°雙承(cheng)彎管(guan)型式見圖 4-9 ,尺寸見表 4-10 。


10.jpg


8. 全承丁字管型(xing)式見圖 4-10 ,尺(chi)寸見表 4-11 。



9. 全承十字管型(xing)式(shi)見(jian)圖 4-11 ,尺寸見(jian)表 4-12 。



10. 插堵型式見(jian)圖 4-12 ,尺寸見(jian)表 4-13 。


13.jpg


11. 承(cheng)堵(du)型(xing)式見圖 4-13 ,尺(chi)寸見表 4-14 。


14.jpg


12. 90°雙盤(pan)彎管型式見(jian)圖 4-14 ,尺寸見(jian)表 4-15 。




13. 45°雙盤彎管型式(shi)見(jian)圖 4-15 ,尺(chi)寸見(jian)表(biao) 4-16 。


16.jpg


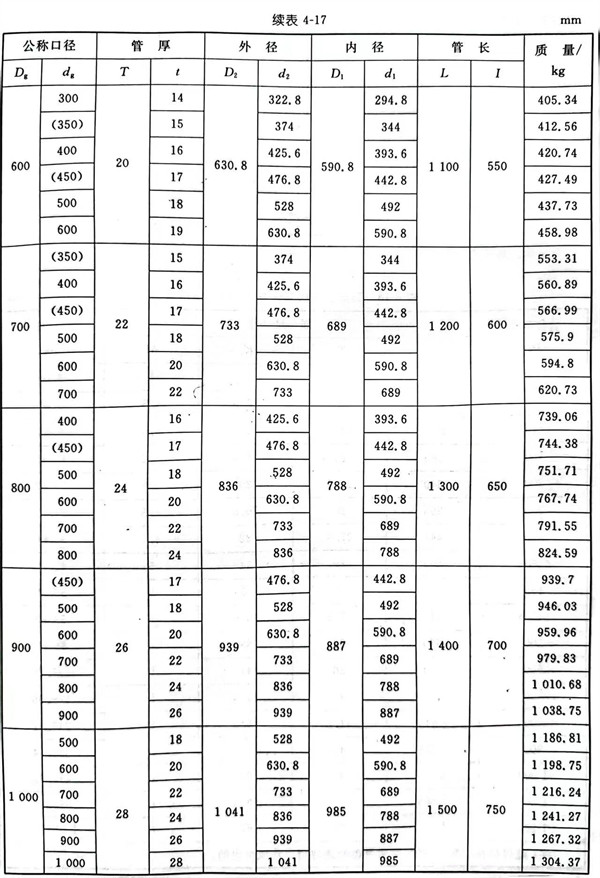
14. 三盤丁字管型(xing)式見(jian)圖 4-16 ,尺寸見(jian)表 4-17 。



15. 盲法(fa)蘭盤型式見圖(tu) 4-17 ,尺寸見表 4-18 。


18.jpg


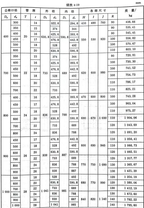
16. 雙承丁字管型式(shi)見(jian)圖 4-18 ,尺寸見(jian)表 4-19 。



17. 承插漸縮(suo)管及插承漸縮(suo)管型式(shi)見圖 4-19和(he)圖 4-20 ,尺寸見表 4-20 。


20.jpg




18. 90°承插彎管型式見(jian)圖 4-21 ,尺(chi)寸見(jian)表 4-21。


19. 45°承插彎管(guan)型式見圖 4-22 ,尺寸見表(biao) 4-22 。




20. 22.5°承插彎(wan)管(guan)型式見(jian)圖 4-23 ,尺寸見(jian)表 4-23 。


23.jpg


21. 11.25°承(cheng)插彎管型(xing)式(shi)見圖 4-24 ,尺寸見表 4-24 。



22. 乙字(zi)管(guan)型式(shi)見圖 4-25 ,尺寸見表 4-25 。



23. 承插單盤排(pai)氣管型式見圖 4-26 ,尺(chi)寸見表 4-26 。



24. 承插泄水管型式見(jian)圖 4-27 ,尺寸見(jian)表 4-27 。


27.jpg