球墨鑄(zhu)鐵承接(jie)管件結構型式與尺寸(cun)如下(xia):


盤(pan)承(cheng)套管型式(shi)見(jian)圖(tu)6-19a),尺寸(cun)見(jian)表6-19;盤(pan)承(cheng)短管型式(shi)見(jian)圖(tu)6-19b),尺寸(cun)見(jian)表6-19。



盤插型式見圖6-20a),尺寸見表6-20;承(cheng)套(tao)型式(shi)見圖6-20b),尺寸見表6-20;



雙承(cheng)(cheng)和(he)承(cheng)(cheng)插(cha)90°(1/4)彎管型式見(jian)圖6-21,尺寸見(jian)表6-21。雙承和承插45°(1/8)彎管型(xing)式見圖6-22,尺寸見表6-21。



雙承和承插22°30'(1/16)彎管型式見圖6-23,尺寸見表6-22。雙承(cheng)(cheng)和承(cheng)(cheng)插(cha)11°15'(1/32)彎管型式見圖6-24,尺(chi)寸見表6-22。




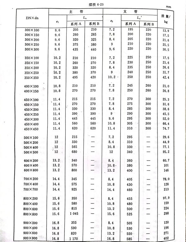
全承三通(tong)型式見圖 6-25 ,尺寸見表 6-23 。



雙承單支盤(pan)三通(tong)型式見(jian)圖 6-26 ,尺寸(cun)見(jian)表(biao) 6-24 。


24.jpg


雙承漸縮管型式見(jian)圖(tu) 6-27 ,尺寸見(jian)表 6-25 。



雙承一絲丁(ding)字管型式(shi)見(jian)圖(tu) 6-28 ,尺(chi)寸見(jian)表 6-26 。


26.jpg


雙承和承插(cha)乙字管型式見圖 6-29 ,尺寸見表(biao) 6-27 。


27.jpg


雙承丁字管型式見圖 6-30 ,尺寸見表 6-28 。



全承四通(tong)型式見(jian)圖 6-31 ,尺寸見(jian)表 6-29 。



插堵型(xing)式見圖 6-32 ,尺(chi)寸見表 6-30 。


30.jpg


滑入式(shi)(shi)和機械式(shi)(shi)承堵型式(shi)(shi)見圖(tu) 6-33 ,尺寸見表 6-31 。