1. ASME B31.3壁厚設(she)計計算與對比(bi)分(fen)析


雜 1.jpg

圖 3.jpg


  從上(shang)面的(de)(de)(de)(de)推導過(guo)程(cheng)可知,對于理(li)想的(de)(de)(de)(de)薄壁圓筒管(guan)狀設備,如果要使其強度承受給定內(nei)(nei)壓(ya)而不(bu)(bu)致破壞,所取的(de)(de)(de)(de)計算厚度應(ying)與(yu)內(nei)(nei)壓(ya)和管(guan)子直徑的(de)(de)(de)(de)乘(cheng)積(ji)成正比,與(yu)材料(liao)的(de)(de)(de)(de)許用應(ying)力成反比。經過(guo)多年發展和對公式的(de)(de)(de)(de)不(bu)(bu)斷修(xiu)正,形(xing)成了目前(qian)廣(guang)泛認可的(de)(de)(de)(de)ASME B31.3經典(dian)壁厚計算公式(3.3.4)或(huo)式(3.3.5)。



2. ASME B31.3管道壁厚計算方法


(1)管道的直管部分(fen)所要求的厚度應按公式(3.3.4)確定:


       tm=t+c  (3.3.4)


考(kao)慮到(dao)鋼(gang)廠(chang)的負偏差,應選用管道(dao)最小壁厚T≥tm


(2)直管的壓力(li)設計公式中(zhong)的代號意義如(ru)下:


    c--機(ji)械(xie)裕量(liang)(螺(luo)紋(wen)或溝槽深(shen)度(du))與腐蝕(shi)和磨(mo)蝕(shi)裕量(liang)的總和。對(dui)于帶螺(luo)紋(wen)的組件,應采用公稱(cheng)螺(luo)紋(wen)深(shen)度(du)(ASME B1.20.1的尺寸h或相當的尺寸);對(dui)于沒有規定公差的機(ji)加工表面或槽,應在規定的切削深(shen)度(du)加上0.5mm(0.02in)的公差;


   d--管道內徑(jing)。對于壓力設(she)計(ji)計(ji)算(suan)時,管道內徑(jing)應是采購(gou)技(ji)術(shu)條件下的最大值;


   D--管道的外徑(jing),如標準(zhun)或(huo)(huo)技術條件表列或(huo)(huo)實測;


   E--ASME B31.3表(biao)A-1A或A1-1B所列質量(liang)系數;


   p--設計內壓(ya)(表壓(ya));


   S--材料的許用應力,見ASME B31.3表A-1;


   T--管壁厚(hou)(實測或按采購技術條件中(zhong)的最(zui)小壁厚(hou));


   tm--包括機加(jia)工、腐蝕(shi)和磨蝕(shi)裕量(liang)在內的所需最(zui)小厚度;


   t--壓力設計厚度;


W--焊(han)縫(feng)結(jie)構強度降(jiang)低(di)系數。

   

 W 是考慮蠕(ru)變溫度下(xia)新加的(de)一(yi)個小于(yu)或等于(yu)1的(de)系數(shu)。實際(ji)上式(shi)(shi)(3.3.5)和式(shi)(shi)(3.3.6)最初(chu)來源于(yu)較(jiao)精確且較(jiao)復雜的(de)拉美(mei)(Lamé)公式(shi)(shi)(在1883年(nian)提出)的(de)經驗近(jin)似式(shi)(shi)。


  焊縫接(jie)頭強度(du)(du)降(jiang)低系(xi)數(shu)W是引起焊縫接(jie)頭失效(xiao)的(de)名義(yi)應(ying)力與相(xiang)同持久時(shi)間(jian)母材(cai)失效(xiao)的(de)名義(yi)應(ying)力的(de)比,在(zai)缺少(shao)更多可(ke)用數(shu)據(ju)的(de)情況下(如蠕變試(shi)驗),對于所(suo)有材(cai)料(liao),在(zai)溫(wen)度(du)(du)不(bu)大(da)于510℃(950℉)時(shi),應(ying)取為1.0,在(zai)溫(wen)度(du)(du)815℃(1500°℉)時(shi),應(ying)取為0.5。中間(jian)溫(wen)度(du)(du)的(de)強度(du)(du)降(jiang)低系(xi)數(shu)應(ying)使用線性內(nei)插(cha)法(fa)取得。對于溫(wen)度(du)(du)高(gao)于815℃(1500°℉)的(de)情況,由設計者負責確定強度(du)(du)降(jiang)低系(xi)數(shu)。


  使(shi)用焊(han)縫(feng)(feng)接頭的蠕變試驗(yan)來確定強度降(jiang)低(di)(di)系數時(shi),宜使(shi)用全厚度橫截面焊(han)縫(feng)(feng)試樣(yang)試驗(yan),其持久時(shi)間(jian)不低(di)(di)于1000h。除非設(she)計者(zhe)考慮由于橫穿(chuan)焊(han)縫(feng)(feng)應力重新分配的影響,應使(shi)用全厚度焊(han)縫(feng)(feng)試樣(yang)。


Y--當t/D/6時從ASME B31.3表查得系數,見表3.3.18。對于中(zhong)間溫度,Y值可(ke)用內插法求得。


表 18.jpg


(3)承受內壓的(de)直管(guan)。


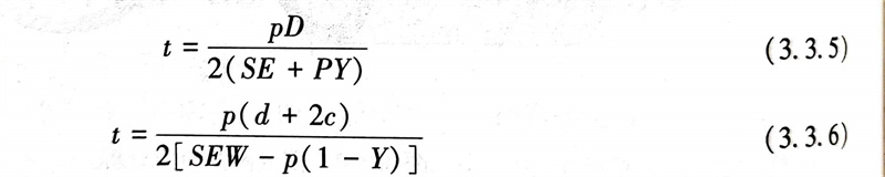
    ①. 當(dang)t<D/6時,直(zhi)管的(de)內壓設計(ji)厚度,應(ying)不(bu)小于式(3.3.5)或式(3.3.6)計(ji)算(suan)出的(de)厚度:


式 5.jpg


    ②. 當(dang)t≥D/6時(shi)或(huo)p/SE>0.385時(shi),直(zhi)管的內壓設計(ji)厚度要(yao)對諸如(ru)失效(xiao)機理(li)、疲勞影(ying)響(xiang)和熱(re)應(ying)力等因素(su)予以特殊考慮。


(4)承受(shou)外壓的(de)直管。


   確定承(cheng)受外(wai)壓(ya)的(de)直管(guan)的(de)壁厚和剛性加強(qiang)(qiang)要求時,應(ying)遵照BPV規(gui)范VII卷第1冊UG-28至UG-30規(gui)定的(de)程序,使用(yong)UG-29規(gui)定的(de)兩剛性加強(qiang)(qiang)圈(quan)斷面(mian)中心線間(jian)長度(du)作為設(she)計(ji)長度(du)Lo。作為例外(wai)的(de)是當P.2的(de)S值(zhi)(zhi)應(ying)是在(zai)設(she)計(ji)溫度(du)下管(guan)道材(cai)料下列數值(zhi)(zhi)中較小值(zhi)(zhi):


   ①. 1.5倍ASME B31.3附錄表A-1的(de)許用應(ying)力(li);

   ②. 0.9倍列(lie)于第II卷D篇(pian)表(biao)Y-1相應材料屈服強(qiang)度。

(第VII卷中的符號D。相當于ASME B31.3中的D)





聯系方式.jpg