1. 化(hua)學成分


  a. 電站彎管常用國產管材的化學成分見表14-2。


  b. 電站彎管常用(yong)國外管材的化(hua)學(xue)成分見表14-3。



2. 室溫(wen)力學性能


  a. 電(dian)站彎(wan)管常用(yong)國(guo)產管材(cai)的室溫(wen)力學性(xing)能見表14-4。


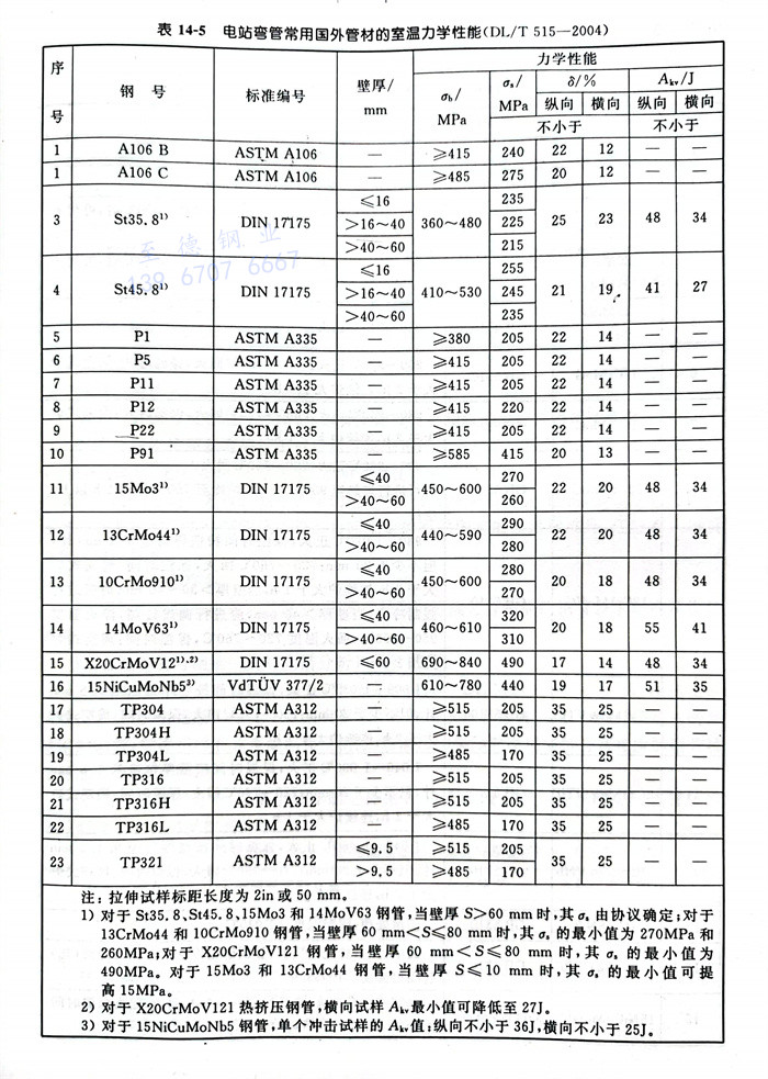
  b. 電站彎管常(chang)用國外(wai)管材的室(shi)溫力學性能見表14-5。


3. 熱處理制度(du)


  電(dian)站彎管常(chang)用鋼管的熱(re)處理制度見(jian)表 14-6





聯系方式.jpg