1. 不銹鋼管入廠驗(yan)收的基本要求


  鋼管應有鋼號及標準代號印記,不銹鋼管質量應符合相應的鋼管技術標準要求。


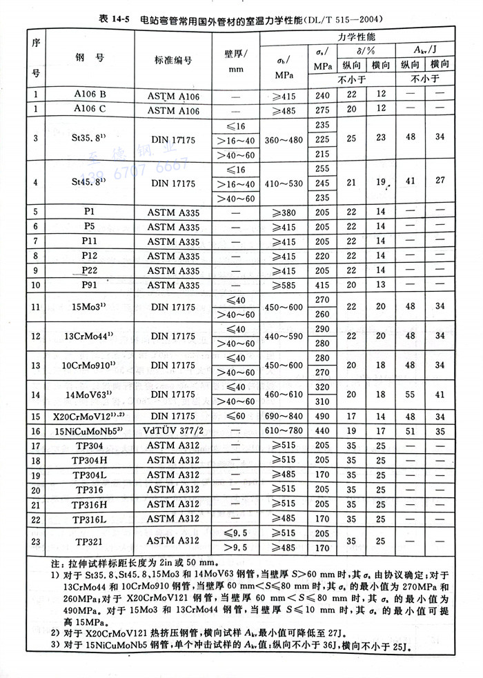
  不(bu)銹鋼(gang)(gang)管(guan)材料應(ying)(ying)按(an)質量合(he)(he)(he)格證書或質量保證書進(jin)(jin)行(xing)(xing)質量驗(yan)收(shou)。質量合(he)(he)(he)格證書或質量保證書應(ying)(ying)標(biao)明鋼(gang)(gang)號、化學(xue)(xue)成分(fen)、力學(xue)(xue)性(xing)(xing)能(常用管(guan)材化學(xue)(xue)成分(fen)及(ji)分(fen)學(xue)(xue)性(xing)(xing)能見(jian)表14-2~表14-5),以及(ji)必要的(de)熱處理工藝等。數據(ju)不(bu)全的(de)應(ying)(ying)進(jin)(jin)行(xing)(xing)補(bu)檢,補(bu)檢的(de)方法、范圍、數量應(ying)(ying)符合(he)(he)(he)國家標(biao)準或行(xing)(xing)業(ye)標(biao)準。進(jin)(jin)口鋼(gang)(gang)管(guan)除應(ying)(ying)符合(he)(he)(he)合(he)(he)(he)同規定(ding)的(de)有(you)關國家的(de)技術標(biao)準外,還應(ying)(ying)有(you)入境貨物檢驗(yan)檢疫證明。


2. 彎制前準備


 a. 鋼管在彎制前應驗證其鋼號,鋼管直徑和壁厚應符合相應的鋼管技術標準及(ji)設計(ji)要(yao)求(qiu)。


 b. 不銹鋼管彎制(zhi)前應進行光(guang)譜分析和硬(ying)度試驗。


 c. 不銹鋼(gang)管在彎制前應(ying)(ying)作宏(hong)觀(guan)(guan)檢(jian)查(cha),外觀(guan)(guan)質量應(ying)(ying)符(fu)合(he) DL 5031-1994《電力建(jian)設施(shi)工及(ji)驗收技術規范(管道(dao)篇(pian))》中3.1.3條有要(yao)求(qiu)(qiu)(qiu)。經(jing)檢(jian)查(cha)發現有重坡、裂紋、劃痕、凹坑等局(ju)部缺陷的鋼(gang)管,應(ying)(ying)逐步修磨直至缺陷完全消除,修磨后的實(shi)際壁(bi)厚仍應(ying)(ying)符(fu)合(he)其相應(ying)(ying)的鋼(gang)管技術標準要(yao)求(qiu)(qiu)(qiu)或設計要(yao)求(qiu)(qiu)(qiu)。


 d. 用作不銹鋼(gang)彎管的直管,其最小壁厚的選擇見表14-7及表14-8。彎制時應將直管較厚的一側置于彎管的受拉側。





 e. 不(bu)(bu)銹鋼(gang)(gang)管在下(xia)料時應(ying)(ying)(ying)進行鋼(gang)(gang)管材料標(biao)記(ji)(包括鋼(gang)(gang)號(hao)和(he)鋼(gang)(gang)管爐(lu)批號(hao))移(yi)植。對于(yu)主蒸汽管道(dao)、再熱蒸汽管道(dao)和(he)高壓給(gei)水管道(dao),宜(yi)進行鋼(gang)(gang)印(yin)標(biao)記(ji)移(yi)植,鋼(gang)(gang)印(yin)標(biao)記(ji)應(ying)(ying)(ying)清晰完整,其字(zi)體(ti)大小(xiao)不(bu)(bu)應(ying)(ying)(ying)小(xiao)于(yu)3.5號(hao)。鋼(gang)(gang)印(yin)標(biao)記(ji)宜(yi)采(cai)用低應(ying)(ying)(ying)力鋼(gang)(gang)印(yin)鈍(dun)頭連續(xu)點字(zi)模或(huo)鈍(dun)頭斷續(xu)點字(zi)模,可用“圓頭”或(huo)“球形”沖頭打印(yin)。每一字(zi)模不(bu)(bu)應(ying)(ying)(ying)呈現(xian)尖(jian)銳狀(zhuang)和(he)危及(ji)鋼(gang)(gang)管設計厚度的(de)深坑。移(yi)植的(de)標(biao)記(ji)應(ying)(ying)(ying)位于(yu)便于(yu)識(shi)別的(de)直管段上。對于(yu)其他管道(dao),材料標(biao)記(ji)移(yi)植方(fang)法(fa)由(you)供需雙方(fang)協商確(que)定(ding)。


3. 彎(wan)管工藝評定


 a. 不銹鋼(gang)彎管加(jia)工(gong)企(qi)業應進行(xing)彎管工(gong)藝評定(ding)。


 b. 不銹(xiu)鋼彎管(guan)工(gong)藝評定應按DL/T 515-2004中附(fu)錄D的規定進行。


 c. 不銹鋼(gang)彎管工藝評(ping)定應由具備資質的第(di)三方檢驗機構進行(xing)見證。


4. 彎管技術要求


 a. 不銹鋼彎管(guan)每端應有直管(guan)段,直管(guan)段長度(du)一(yi)般不應小于(yu)管(guan)子的(de)外徑。對于(yu)感應加(jia)熱彎管(guan),推薦的(de)直管(guan)段長度(du)見表14-9。


 b. 不(bu)銹(xiu)鋼(gang)彎管加工時,管子不(bu)應與腐(fu)蝕性(xing)介質或有害物質接(jie)觸。


 c. 應按評定合(he)格的(de)彎(wan)管(guan)工藝(yi)進行彎(wan)管(guan),不(bu)應彎(wan)制評定范圍(wei)以(yi)外的(de)鋼管(guan)。


 d.熱彎彎管推薦的加熱溫度及冷(leng)卻方式見(jian)表14-10。





聯系方式.jpg