91香蕉视频app
91香蕉視頻app:
首頁
91香蕉視頻app:
關(guan)于我們
91香蕉視頻app:
公司簡介
91香蕉視頻app:
企業理念
91香蕉視頻app:
核(he)心(xin)服(fu)務
91香蕉視頻app:
榮譽證書
91香蕉視頻app:
新聞(wen)中(zhong)心(xin)
91香蕉視頻app:
企業資(zi)訊
91香蕉視頻app:
行業新聞
91香蕉視頻app:
產品中(zhong)心
91香蕉視頻app:
不銹鋼管(guan)
91香蕉視頻app:
不銹鋼管(guan)件
91香蕉視頻app:
不(bu)銹(xiu)鋼法(fa)蘭(lan)
91香蕉視頻app:
預制(zhi)件(jian)加(jia)工(gong)
91香蕉視頻app:
車(che)間設備(bei)
91香蕉視頻app:
生產設(she)備(bei)
91香蕉視頻app:
檢測(ce)設備
91香蕉視頻app:
質保(bao)體系
91香蕉視頻app:
體系認(ren)證
91香蕉視頻app:
售后服務
91香蕉視頻app:
聯系我們
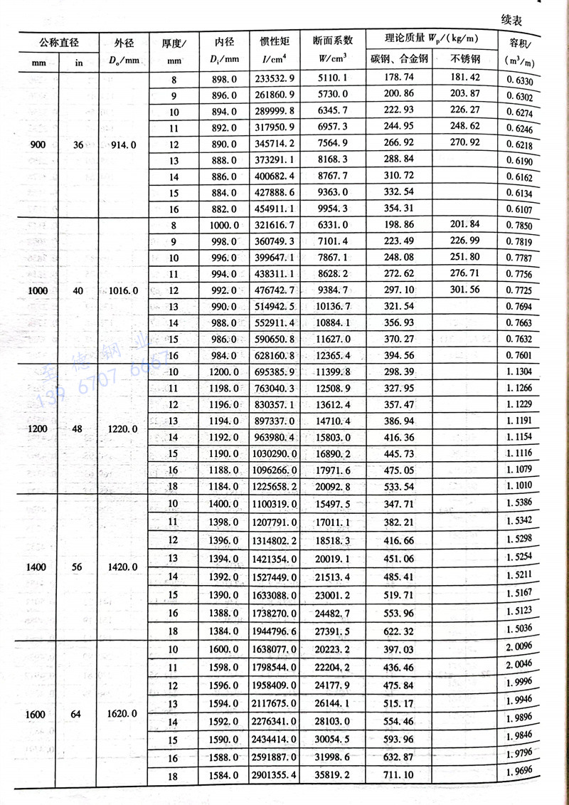
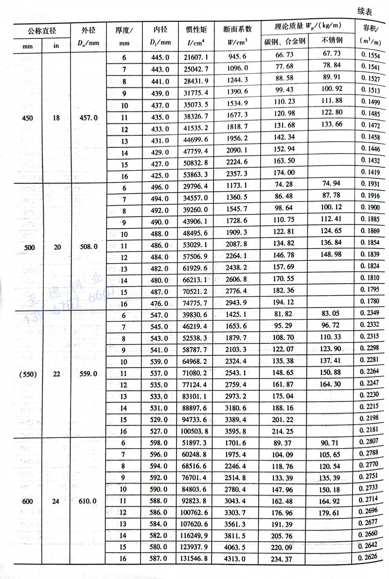
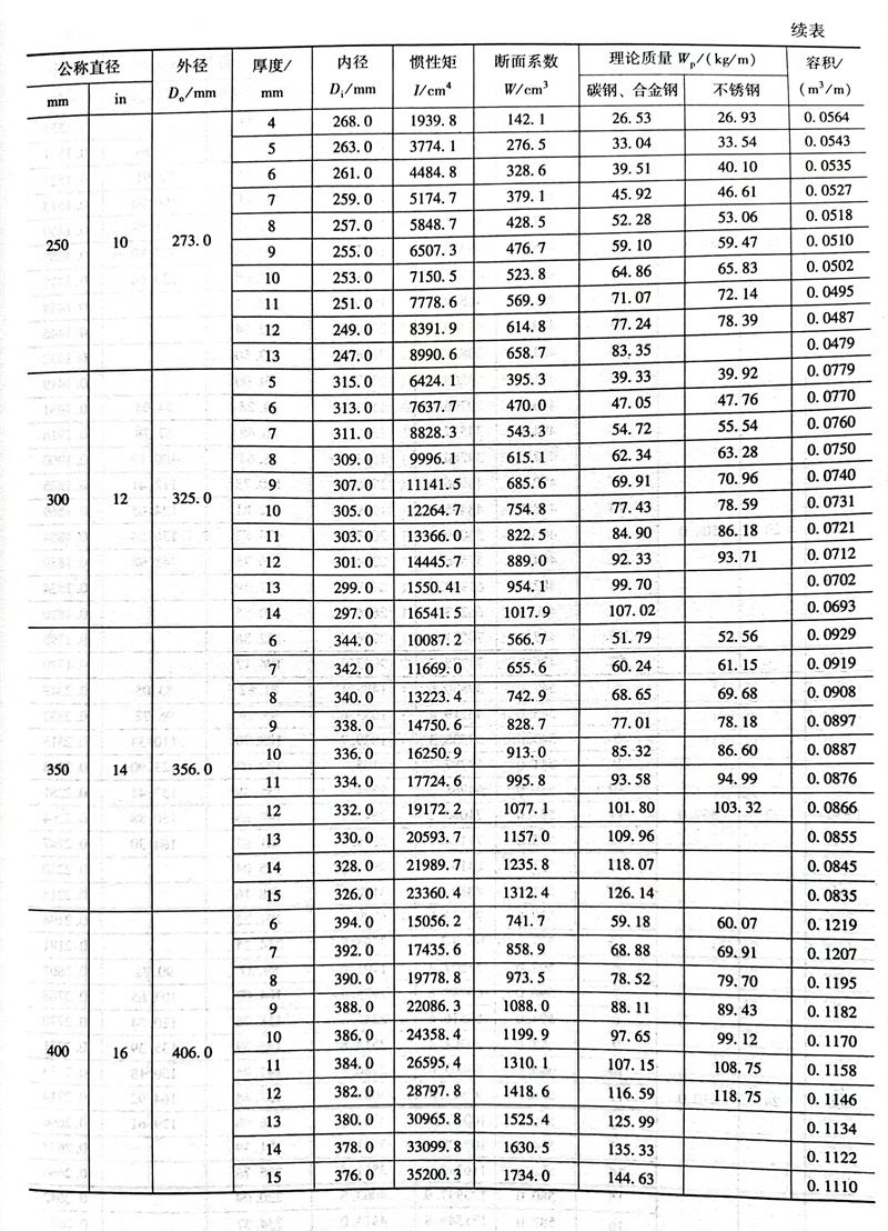
中國石化行業標準焊接鋼管尺寸及特性數據
發布日期(qi):2024-05-06 21:12:45 人(ren)氣:371
中國石化行業標(biao)準焊接鋼(gang)管尺寸及(ji)特(te)性(xing)數據見表 4.1.15
022Cr25Ni6Mo2N、022Cr25Ni7Mo3WCuN 雙相不銹鋼性能與用途
91香蕉視頻app:
管廊布置的工程應用實例介紹
猜你喜歡