金屬在大氣(qi)中會(hui)自(zi)發進行氧(yang)化,隨著(zhu)溫(wen)度(du)增高,大氣(qi)中水分蒸發,濕(shi)腐蝕變成(cheng)干腐蝕,腐蝕更嚴重(zhong),在工業中成(cheng)為重(zhong)要問題。如(ru)(ru)高溫(wen)石(shi)油化工管道(dao)等都存在高溫(wen)氧(yang)化問題。在高溫(wen)下金屬表面產生(sheng)一層氧(yang)化膜。Pilling和Bedworth曾指出,抗氧(yang)化性和氧(yang)化物與金屬的體積比有關(guan)。如(ru)(ru)用(yong)R表示(shi)單位(wei)體積,則:


式 2.jpg


  當R<1時(shi),氧(yang)(yang)化物不(bu)能覆蓋金(jin)屬(shu)表(biao)面(mian),因而沒(mei)有保(bao)護(hu)性(xing);當R>1時(shi),氧(yang)(yang)化物中將(jiang)產生較(jiao)大的應(ying)力,膜易破裂脫落,保(bao)護(hu)性(xing)不(bu)好。理(li)想(xiang)的比值(zhi)應(ying)接近1。此外,保(bao)護(hu)性(xing)高(gao)的膜還應(ying)具有高(gao)熔點,低(di)蒸氣壓(ya),膨脹系(xi)數與金(jin)屬(shu)接近,良好的抗破裂高(gao)溫塑(su)性(xing),低(di)電(dian)導率,對金(jin)屬(shu)離子(zi)和氧(yang)(yang)的擴散系(xi)數低(di)等。


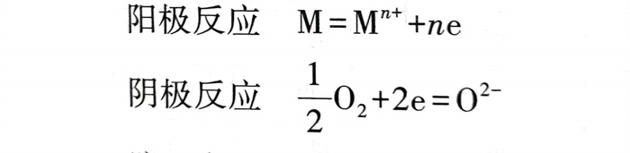
  金(jin)(jin)屬(shu)(shu)的高溫(wen)氣體腐蝕也是(shi)(shi)一個(ge)電(dian)化(hua)學(xue)過程(cheng)。如圖(tu)8.1.13所示。陽極反應(ying)(ying)是(shi)(shi)金(jin)(jin)屬(shu)(shu)離(li)(li)(li)子(zi)(zi)(zi)(zi)化(hua),在(zai)膜(mo)-金(jin)(jin)屬(shu)(shu)界面(mian)發生(sheng);陰極反應(ying)(ying)是(shi)(shi)氧的離(li)(li)(li)子(zi)(zi)(zi)(zi)化(hua),在(zai)膜(mo)-氣體界面(mian)發生(sheng)。電(dian)子(zi)(zi)(zi)(zi)和離(li)(li)(li)子(zi)(zi)(zi)(zi)(金(jin)(jin)屬(shu)(shu)離(li)(li)(li)子(zi)(zi)(zi)(zi)和氧離(li)(li)(li)子(zi)(zi)(zi)(zi))在(zai)膜(mo)中兩極之間流動,它和水溶(rong)液中的腐蝕電(dian)池相似。


雜 5.jpg


13.jpg


  防止高溫氧(yang)(yang)化最有效(xiao)的方(fang)法(fa)是在基(ji)體金屬中(zhong)加入有效(xiao)的合(he)金成分,使(shi)(shi)膜中(zhong)生(sheng)成保護(hu)性很強的二元或(huo)三元化合(he)物,使(shi)(shi)離子(zi)擴散更為困(kun)難,氧(yang)(yang)化速度因(yin)而下降。





聯系方式.jpg