壓(ya)(ya)力(li)對(dui)(dui)鑄錠(ding)的(de)凝(ning)(ning)固(gu)(gu)(gu)(gu)相(xiang)變和(he)組織有(you)十分重要的(de)影響(xiang),如壓(ya)(ya)力(li)能提高(gao)晶粒形核(he)速率(lv)(lv),減小(xiao)臨(lin)界形核(he)半徑,增(zeng)大(da)冷卻速率(lv)(lv),細化枝晶組織,減輕(qing)或消除凝(ning)(ning)固(gu)(gu)(gu)(gu)缺(que)陷(疏松、縮孔、氣(qi)孔和(he)偏析)以及改(gai)變析出相(xiang)形貌(mao)和(he)類型等(deng)。由(you)于鋼(gang)鐵材料固(gu)(gu)(gu)(gu)/液相(xiang)線(xian)溫(wen)度較(jiao)(jiao)(jiao)高(gao),加壓(ya)(ya)難度相(xiang)對(dui)(dui)較(jiao)(jiao)(jiao)大(da),不過,較(jiao)(jiao)(jiao)低壓(ya)(ya)力(li)依然具有(you)改(gai)善(shan)鑄型和(he)鑄錠(ding)間換熱(re)條(tiao)件、打破液相(xiang)中氮氣(qi)泡等(deng)壓(ya)(ya)力(li)平衡(heng)的(de)能力(li),進(jin)而達到改(gai)善(shan)鋼(gang)鐵凝(ning)(ning)固(gu)(gu)(gu)(gu)組織,減輕(qing)或消除凝(ning)(ning)固(gu)(gu)(gu)(gu)缺(que)陷等(deng)目的(de)。


一(yi)、枝晶組織


  枝晶組織(zhi)的出(chu)現和生長與液相中的成(cheng)分過(guo)冷(leng)密不可分,當凝(ning)固(gu)界(jie)(jie)(jie)面(mian)出(chu)現擾動(dong)導致(zhi)液相出(chu)現局部成(cheng)分過(guo)冷(leng)時,液相中就(jiu)具(ju)備(bei)了(le)促使界(jie)(jie)(jie)面(mian)發生波動(dong)的驅動(dong)力,進一步(bu)增(zeng)大了(le)凝(ning)固(gu)界(jie)(jie)(jie)面(mian)的不穩定性(xing),從(cong)而使凝(ning)固(gu)界(jie)(jie)(jie)面(mian)從(cong)平(ping)面(mian)狀(zhuang)向樹枝狀(zhuang)轉變(bian),形成(cheng)枝晶組織(zhi),液相中成(cheng)分過(guo)冷(leng)的判(pan)據為


  式中,GrL為(wei)(wei)液(ye)(ye)相(xiang)溫(wen)度(du)(du)梯(ti)度(du)(du);v為(wei)(wei)凝(ning)(ning)(ning)(ning)(ning)固(gu)(gu)(gu)(gu)(gu)(gu)速(su)率(lv)(lv);m為(wei)(wei)液(ye)(ye)相(xiang)線斜(xie)(xie)率(lv)(lv);CL為(wei)(wei)凝(ning)(ning)(ning)(ning)(ning)固(gu)(gu)(gu)(gu)(gu)(gu)界面(mian)處(chu)液(ye)(ye)相(xiang)中溶質的(de)質量分(fen)(fen)數(shu);DL為(wei)(wei)液(ye)(ye)相(xiang)中溶質的(de)擴散系(xi)(xi)數(shu);ko為(wei)(wei)溶質分(fen)(fen)配(pei)系(xi)(xi)數(shu)。在(zai)不考慮壓力(li)強化(hua)冷卻(que)(即GrL保(bao)持恒定)情況下(xia)(xia),壓力(li)可通過改(gai)變(bian)液(ye)(ye)相(xiang)線斜(xie)(xie)率(lv)(lv)、擴散系(xi)(xi)數(shu)和溶質分(fen)(fen)配(pei)系(xi)(xi)數(shu)等(deng)(deng)凝(ning)(ning)(ning)(ning)(ning)固(gu)(gu)(gu)(gu)(gu)(gu)參(can)數(shu),改(gai)變(bian)枝(zhi)晶形貌甚至凝(ning)(ning)(ning)(ning)(ning)固(gu)(gu)(gu)(gu)(gu)(gu)組(zu)(zu)(zu)織(zhi)的(de)組(zu)(zu)(zu)成。Zhang等(deng)(deng)對(dui)比(bi)了高(gao)(gao)錳鋼(gang)(Fe-13Mn-1.2C)在(zai)常(chang)壓和6GPa下(xia)(xia)的(de)凝(ning)(ning)(ning)(ning)(ning)固(gu)(gu)(gu)(gu)(gu)(gu)組(zu)(zu)(zu)織(zhi)。發現(xian)高(gao)(gao)錳鋼(gang)高(gao)(gao)壓下(xia)(xia)的(de)凝(ning)(ning)(ning)(ning)(ning)固(gu)(gu)(gu)(gu)(gu)(gu)組(zu)(zu)(zu)織(zhi)包含(han)細(xi)小等(deng)(deng)軸(zhou)晶和柱(zhu)狀晶,與常(chang)壓下(xia)(xia)的(de)凝(ning)(ning)(ning)(ning)(ning)固(gu)(gu)(gu)(gu)(gu)(gu)組(zu)(zu)(zu)織(zhi)截然不同(圖2-107).晶粒尺(chi)寸統計結(jie)果表(biao)明,高(gao)(gao)錳鋼(gang)在(zai)常(chang)壓下(xia)(xia)的(de)晶粒尺(chi)寸為(wei)(wei)(160±45)μm,6GPa下(xia)(xia)為(wei)(wei)(7.5±2.5)μm,壓力(li)細(xi)化(hua)晶粒可達(da)21倍之多,主要歸因于(yu)(yu)增加凝(ning)(ning)(ning)(ning)(ning)固(gu)(gu)(gu)(gu)(gu)(gu)壓力(li)降低(di)了液(ye)(ye)相(xiang)中溶質擴散系(xi)(xi)數(shu)以(yi)及增大(da)了擴散激活能,進而(er)增大(da)了液(ye)(ye)相(xiang)成分(fen)(fen)過冷度(du)(du),在(zai)抑制(zhi)枝(zhi)晶生長的(de)同時增大(da)了形核(he)率(lv)(lv)[129,153],從而(er)使(shi)得(de)高(gao)(gao)錳鋼(gang)凝(ning)(ning)(ning)(ning)(ning)固(gu)(gu)(gu)(gu)(gu)(gu)組(zu)(zu)(zu)織(zhi)逐步(bu)向(xiang)枝(zhi)晶組(zu)(zu)(zu)織(zhi)轉變(bian),且(qie)細(xi)化(hua)十分(fen)(fen)顯著。Kashchiev和Vasudevan等(deng)(deng)的(de)研(yan)究表(biao)明。在(zai)凝(ning)(ning)(ning)(ning)(ning)固(gu)(gu)(gu)(gu)(gu)(gu)過程中,當(dang)固(gu)(gu)(gu)(gu)(gu)(gu)相(xiang)摩(mo)爾體積小于(yu)(yu)液(ye)(ye)相(xiang)摩(mo)爾體積時,加壓有助于(yu)(yu)提高(gao)(gao)形核(he)率(lv)(lv),起到細(xi)化(hua)凝(ning)(ning)(ning)(ning)(ning)固(gu)(gu)(gu)(gu)(gu)(gu)組(zu)(zu)(zu)織(zhi)的(de)作用,大(da)多數(shu)金(jin)屬合金(jin)屬于(yu)(yu)此(ci)類;反(fan)之,加壓將抑制(zhi)晶粒的(de)形核(he),如水凝(ning)(ning)(ning)(ning)(ning)固(gu)(gu)(gu)(gu)(gu)(gu)成冰。此(ci)外,壓力(li)還能夠抑制(zhi)枝(zhi)晶沿壓力(li)梯(ti)度(du)(du)方向(xiang)的(de)生長,從而(er)導致枝(zhi)晶組(zu)(zu)(zu)織(zhi)和微觀偏析呈(cheng)現(xian)方向(xiang)性。


107.jpg


  為了準確(que)地論(lun)述(shu)壓力對(dui)凝固(gu)組織(zhi)的影響(xiang)規(gui)律(lv),本節(jie)將以19Cr14Mn0.9N含氮鋼和M42工具(ju)鋼加壓凝固(gu)組織(zhi)為例,詳(xiang)細(xi)分析(xi)壓力對(dui)枝晶組織(zhi)、析(xi)出相等的影響(xiang)。


 1. 柱狀晶向等(deng)軸晶轉變(CET)


   鑄(zhu)(zhu)(zhu)錠的(de)(de)(de)(de)(de)(de)宏(hong)觀組(zu)織(zhi)主要由(you)晶(jing)(jing)(jing)(jing)(jing)(jing)(jing)粒(li)(li)(li)的(de)(de)(de)(de)(de)(de)形(xing)貌、尺寸以及(ji)取向(xiang)(xiang)(xiang)分(fen)布(bu)等(deng)構成,在(zai)(zai)合(he)金(jin)成分(fen)一定的(de)(de)(de)(de)(de)(de)情況(kuang)下,它主要取決于(yu)鋼液在(zai)(zai)凝固(gu)(gu)過程(cheng)中的(de)(de)(de)(de)(de)(de)冷卻(que)條件(jian)(包括澆注溫(wen)度(du)和鑄(zhu)(zhu)(zhu)型(xing)的(de)(de)(de)(de)(de)(de)冷卻(que)效果等(deng)。鑄(zhu)(zhu)(zhu)錠的(de)(de)(de)(de)(de)(de)典(dian)型(xing)宏(hong)觀組(zu)織(zhi)可(ke)分(fen)為(wei)三(san)個(ge)區(qu)(qu)(qu)(qu):表(biao)層細(xi)晶(jing)(jing)(jing)(jing)(jing)(jing)(jing)區(qu)(qu)(qu)(qu)、柱狀晶(jing)(jing)(jing)(jing)(jing)(jing)(jing)區(qu)(qu)(qu)(qu)以及(ji)中心等(deng)軸(zhou)晶(jing)(jing)(jing)(jing)(jing)(jing)(jing)區(qu)(qu)(qu)(qu)。表(biao)層的(de)(de)(de)(de)(de)(de)細(xi)晶(jing)(jing)(jing)(jing)(jing)(jing)(jing)區(qu)(qu)(qu)(qu)是由(you)于(yu)鋼液在(zai)(zai)鑄(zhu)(zhu)(zhu)型(xing)的(de)(de)(de)(de)(de)(de)激冷作用下,具(ju)有較大(da)的(de)(de)(de)(de)(de)(de)過冷度(du),進(jin)而(er)(er)(er)在(zai)(zai)鑄(zhu)(zhu)(zhu)型(xing)壁(bi)面以異(yi)質(zhi)形(xing)核(he)(he)的(de)(de)(de)(de)(de)(de)方(fang)(fang)式大(da)量形(xing)核(he)(he)并長大(da),最后形(xing)成細(xi)小(xiao)(xiao)的(de)(de)(de)(de)(de)(de)等(deng)軸(zhou)晶(jing)(jing)(jing)(jing)(jing)(jing)(jing)區(qu)(qu)(qu)(qu),即表(biao)層細(xi)晶(jing)(jing)(jing)(jing)(jing)(jing)(jing)區(qu)(qu)(qu)(qu)。隨著(zhu)凝固(gu)(gu)的(de)(de)(de)(de)(de)(de)進(jin)行,表(biao)層細(xi)晶(jing)(jing)(jing)(jing)(jing)(jing)(jing)區(qu)(qu)(qu)(qu)逐步形(xing)成金(jin)屬外殼,使(shi)(shi)得傳(chuan)熱具(ju)備(bei)單向(xiang)(xiang)(xiang)性,有助于(yu)晶(jing)(jing)(jing)(jing)(jing)(jing)(jing)粒(li)(li)(li)沿傳(chuan)熱方(fang)(fang)向(xiang)(xiang)(xiang)生(sheng)(sheng)長,呈現出方(fang)(fang)向(xiang)(xiang)(xiang)性,從而(er)(er)(er)形(xing)成柱狀晶(jing)(jing)(jing)(jing)(jing)(jing)(jing)區(qu)(qu)(qu)(qu),也(ye)(ye)導致(zhi)了表(biao)層細(xi)晶(jing)(jing)(jing)(jing)(jing)(jing)(jing)區(qu)(qu)(qu)(qu)的(de)(de)(de)(de)(de)(de)區(qu)(qu)(qu)(qu)域(yu)窄(zhai)小(xiao)(xiao),厚(hou)度(du)通常為(wei)幾(ji)毫米(mi)。在(zai)(zai)后續的(de)(de)(de)(de)(de)(de)凝固(gu)(gu)過程(cheng)中,伴(ban)隨著(zhu)凝固(gu)(gu)潛熱的(de)(de)(de)(de)(de)(de)釋放,凝固(gu)(gu)前沿溫(wen)度(du)梯(ti)度(du)減小(xiao)(xiao),傳(chuan)熱的(de)(de)(de)(de)(de)(de)單向(xiang)(xiang)(xiang)性減弱(ruo)(ruo),成分(fen)過冷度(du)增大(da),進(jin)而(er)(er)(er)使(shi)(shi)得晶(jing)(jing)(jing)(jing)(jing)(jing)(jing)粒(li)(li)(li)生(sheng)(sheng)長的(de)(de)(de)(de)(de)(de)方(fang)(fang)向(xiang)(xiang)(xiang)性減弱(ruo)(ruo),抑制了柱狀晶(jing)(jing)(jing)(jing)(jing)(jing)(jing)的(de)(de)(de)(de)(de)(de)生(sheng)(sheng)長,同時也(ye)(ye)促進(jin)了鑄(zhu)(zhu)(zhu)錠心部異(yi)質(zhi)形(xing)核(he)(he)的(de)(de)(de)(de)(de)(de)發生(sheng)(sheng),從而(er)(er)(er)有助于(yu)柱狀晶(jing)(jing)(jing)(jing)(jing)(jing)(jing)向(xiang)(xiang)(xiang)等(deng)軸(zhou)晶(jing)(jing)(jing)(jing)(jing)(jing)(jing)轉(zhuan)變,最終形(xing)成中心等(deng)軸(zhou)晶(jing)(jing)(jing)(jing)(jing)(jing)(jing)區(qu)(qu)(qu)(qu)。


   因(yin)此(ci)(ci),鑄(zhu)錠(ding)(ding)有(you)兩(liang)類枝晶(jing)(jing)(jing)組(zu)織,即(ji)等(deng)(deng)軸(zhou)(zhou)晶(jing)(jing)(jing)和(he)(he)(he)(he)柱(zhu)狀(zhuang)(zhuang)晶(jing)(jing)(jing),通常(chang)采用枝晶(jing)(jing)(jing)間(jian)距和(he)(he)(he)(he)CET位置(zhi)(zhi)對其進行表(biao)(biao)征。圖2-108(a)給出了(le)凝固壓(ya)(ya)(ya)力(li)(li)分(fen)別為(wei)0.5MPa、0.85MPa和(he)(he)(he)(he)1.2MPa的(de)(de)19Cr14Mn0.9N含氮鋼鑄(zhu)錠(ding)(ding)縱剖(pou)面上的(de)(de)宏(hong)觀(guan)組(zu)織;CET位置(zhi)(zhi)到鑄(zhu)錠(ding)(ding)邊(bian)部(bu)(bu)距離的(de)(de)統(tong)計平均(jun)值(zhi)分(fen)別為(wei)19.8mm、22.1mm和(he)(he)(he)(he)27.4mm,增(zeng)量可達7.6mm,如圖2-108(b)所(suo)示。統(tong)計結果表(biao)(biao)明,隨著壓(ya)(ya)(ya)力(li)(li)的(de)(de)增(zeng)大(da)(da)(da)(da),CET 位置(zhi)(zhi)逐(zhu)漸由邊(bian)部(bu)(bu)向心(xin)部(bu)(bu)移(yi)動,柱(zhu)狀(zhuang)(zhuang)晶(jing)(jing)(jing)區區域(yu)(yu)增(zeng)大(da)(da)(da)(da),中心(xin)等(deng)(deng)軸(zhou)(zhou)晶(jing)(jing)(jing)區區域(yu)(yu)減(jian)小。根(gen)據柱(zhu)狀(zhuang)(zhuang)晶(jing)(jing)(jing)向等(deng)(deng)軸(zhou)(zhou)晶(jing)(jing)(jing)轉(zhuan)(zhuan)(zhuan)變(bian)的(de)(de)阻(zu)擋判據可知(zhi)[156],當(dang)柱(zhu)狀(zhuang)(zhuang)晶(jing)(jing)(jing)枝晶(jing)(jing)(jing)尖(jian)端(duan)處等(deng)(deng)軸(zhou)(zhou)晶(jing)(jing)(jing)體積分(fen)數大(da)(da)(da)(da)于臨界值(zhi)時(shi),柱(zhu)狀(zhuang)(zhuang)晶(jing)(jing)(jing)尖(jian)端(duan)生(sheng)(sheng)長受到抑制而停止,此(ci)(ci)時(shi)發生(sheng)(sheng)柱(zhu)狀(zhuang)(zhuang)晶(jing)(jing)(jing)區向中心(xin)等(deng)(deng)軸(zhou)(zhou)晶(jing)(jing)(jing)區轉(zhuan)(zhuan)(zhuan)變(bian)。因(yin)此(ci)(ci),CET轉(zhuan)(zhuan)(zhuan)變(bian)很大(da)(da)(da)(da)程度(du)上取決于中心(xin)等(deng)(deng)軸(zhou)(zhou)晶(jing)(jing)(jing)的(de)(de)形(xing)核(he)和(he)(he)(he)(he)長大(da)(da)(da)(da)。由于壓(ya)(ya)(ya)力(li)(li)強化冷(leng)卻(que)效果十分(fen)明顯,增(zeng)加壓(ya)(ya)(ya)力(li)(li)加快了(le)鑄(zhu)錠(ding)(ding)的(de)(de)冷(leng)卻(que),增(zeng)大(da)(da)(da)(da)了(le)鑄(zhu)錠(ding)(ding)的(de)(de)溫度(du)梯度(du),從而降低了(le)枝晶(jing)(jing)(jing)前沿的(de)(de)成分(fen)過(guo)(guo)冷(leng)度(du),此(ci)(ci)時(shi),等(deng)(deng)軸(zhou)(zhou)晶(jing)(jing)(jing)在(zai)柱(zhu)狀(zhuang)(zhuang)晶(jing)(jing)(jing)枝晶(jing)(jing)(jing)尖(jian)端(duan)的(de)(de)形(xing)核(he)和(he)(he)(he)(he)長大(da)(da)(da)(da)就會受到嚴重阻(zu)礙(ai)和(he)(he)(he)(he)抑制;反之,降低壓(ya)(ya)(ya)力(li)(li),有(you)助于等(deng)(deng)軸(zhou)(zhou)晶(jing)(jing)(jing)在(zai)柱(zhu)狀(zhuang)(zhuang)晶(jing)(jing)(jing)枝晶(jing)(jing)(jing)尖(jian)端(duan)處的(de)(de)形(xing)核(he)和(he)(he)(he)(he)長大(da)(da)(da)(da),從而提前并加快了(le)CET.因(yin)此(ci)(ci),當(dang)壓(ya)(ya)(ya)力(li)(li)從0.5MPa增(zeng)加到1.2MPa時(shi),壓(ya)(ya)(ya)力(li)(li)通過(guo)(guo)強化冷(leng)卻(que)擴(kuo)大(da)(da)(da)(da)了(le)柱(zhu)狀(zhuang)(zhuang)晶(jing)(jing)(jing)區,促使CET轉(zhuan)(zhuan)(zhuan)變(bian)位置(zhi)(zhi)在(zai)徑向上逐(zhu)漸由邊(bian)部(bu)(bu)向心(xin)部(bu)(bu)移(yi)動。此(ci)(ci)外,在(zai)0.5MPa、0.85MPa和(he)(he)(he)(he)1.2MPa下,19Cr14Mn0.9N含氮鋼鑄(zhu)錠(ding)(ding)縱剖(pou)面的(de)(de)宏(hong)觀(guan)組(zu)織中均(jun)存在(zai)較窄的(de)(de)表(biao)(biao)層(ceng)細晶(jing)(jing)(jing)區。


為了(le)進一步(bu)研究壓力(li)對CET的影響規律,在不考(kao)慮壓力(li)強化(hua)冷卻效果的前提下,對枝晶尖端生長速(su)率v.隨壓力(li)的變化(hua)規律進行理論(lun)計算,可采用KGT模(mo)型,,即




  基于2.3.2節分析所得ko和D等相關參數隨壓力的變化規律,結合式(2-188)和式(2-189)可得出不同過冷度下壓力對枝晶尖端生長速率的影響規律。對于19Cr14Mn0.9N 含氮鋼體系,當枝晶尖端的成分過冷度由某一元素偏聚造成時,壓力對枝晶尖端生長速率影響規律如圖2-109所示;當枝晶尖端的過冷度分別由錳和鉬造成時,增加壓力降低了枝晶尖端生長速率;當枝晶尖端的過冷度分別由鉻、碳和氮造成時,增加壓力會增大枝晶尖端生長速率。此外,隨著過冷度的增加,壓力對枝晶尖端生長速率的影響隨之增大;對比0.5MPa和10MPa下的枝晶生長尖端速率可知,枝晶尖端生長速率因壓力改變的變化量可達0.1mm/s,并且壓力越大,枝晶尖端生長速率的變化量越大;因而在高壓下,不考慮壓力強化冷卻效果時,壓力對枝晶尖端生長速率的影響也較大,進而影響CET位置。然而,當壓力從0.5MPa增加至1.2MPa,且不考慮壓力強化冷卻效果時,壓力對枝晶尖端的生長速率的影響較小,可以忽略不計。





   綜上所述,凝固壓(ya)(ya)力(li)的(de)增加(jia)(jia)會(hui)對枝(zhi)晶尖端生長速率產生重要影(ying)響,且壓(ya)(ya)力(li)的(de)增量(liang)越(yue)大,影(ying)響越(yue)明顯。結(jie)合(he)實驗(yan)和KGT模型(xing)理論計算(suan)可知,低(di)壓(ya)(ya)下,當凝固壓(ya)(ya)力(li)從0.5MPa 增加(jia)(jia)至1.2MPa時,壓(ya)(ya)力(li)主(zhu)要通過強化冷卻的(de)方式(shi),使得鑄錠CET位置(zhi)逐漸由(you)邊(bian)部(bu)向心部(bu)移(yi)動。



 2. 枝晶間距(ju)


  相鄰同次(ci)枝(zhi)(zhi)晶(jing)(jing)臂之間(jian)(jian)的(de)垂直(zhi)距(ju)離稱為枝(zhi)(zhi)晶(jing)(jing)間(jian)(jian)距(ju),枝(zhi)(zhi)晶(jing)(jing)間(jian)(jian)距(ju)的(de)大小表征了(le)枝(zhi)(zhi)晶(jing)(jing)組(zu)織細(xi)(xi)化程(cheng)度(du),枝(zhi)(zhi)晶(jing)(jing)間(jian)(jian)距(ju)越小,枝(zhi)(zhi)晶(jing)(jing)組(zu)織越細(xi)(xi)密[162],通常考慮的(de)枝(zhi)(zhi)晶(jing)(jing)間(jian)(jian)距(ju)有一次(ci)枝(zhi)(zhi)晶(jing)(jing)間(jian)(jian)距(ju)入1和(he)二次(ci)枝(zhi)(zhi)晶(jing)(jing)間(jian)(jian)距(ju)λ2.一次(ci)枝(zhi)(zhi)晶(jing)(jing)間(jian)(jian)距(ju)與(yu)凝固速率v和(he)溫度(du)梯(ti)度(du)Gr的(de)關系為


式 190.jpg


  由式(shi)(2-191)可知(zhi),合金體(ti)系一(yi)定時(shi),分(fen)(fen)析局(ju)部區域(yu)(yu)冷卻速率v.和(he)(he)溫度(du)梯度(du)Gr隨壓力(li)(li)的變化趨勢,有助于闡明壓力(li)(li)對(dui)一(yi)次(ci)枝晶(jing)間距λ1的影響(xiang)規律(lv)。因局(ju)部區域(yu)(yu)冷卻速率vc和(he)(he)溫度(du)梯度(du)Gr的測量(liang)難(nan)度(du)較大,可用(yong)模擬計算(suan)的方式(shi)獲得。在(zai)不同凝固壓力(li)(li)下的組織(zhi)模擬過程(cheng)中,不考慮疏松(song)縮孔對(dui)晶(jing)區分(fen)(fen)布的影響(xiang),模擬結果如圖2-110所示(shi)。為了更準確地(di)找到CET位置,使用(yong)平均縱(zong)(zong)橫比(晶(jing)粒最短邊(bian)與最長邊(bian)的比率)來(lai)區分(fen)(fen)柱(zhu)狀晶(jing)和(he)(he)等軸(zhou)晶(jing):當晶(jing)粒的縱(zong)(zong)橫比大于0.4時(shi),晶(jing)粒為等軸(zhou)晶(jing);當晶(jing)粒的縱(zong)(zong)橫比小于0.4時(shi),則為柱(zhu)狀晶(jing)。根(gen)據阻擋判據,等軸(zhou)晶(jing)體(ti)積分(fen)(fen)數的臨界值設定為0.49,以此作為依(yi)據,19Cr14Mn0.9N含(han)氮鋼在(zai)0.5MPa、0.85MPa 和(he)(he)1.2MPa 壓力(li)(li)下,CET 位置在(zai)徑(jing)向上離(li)鑄錠邊(bian)部的平均距離(li)分(fen)(fen)別為18.1mm、19.8mm和(he)(he)25.3mm.


110.jpg


  19Cr14Mn0.9N 含氮鋼鑄(zhu)(zhu)錠底部(bu)(bu)溫度梯(ti)度 Gr和(he)(he)冷卻(que)速(su)率v.隨壓(ya)(ya)力(li)的(de)(de)變化規律,如圖2-111所(suo)示(shi)。在某一(yi)(yi)壓(ya)(ya)力(li)條件下(xia),vc和(he)(he)Gr沿(yan)(yan)徑(jing)向由鑄(zhu)(zhu)錠邊部(bu)(bu)到(dao)心部(bu)(bu)均呈(cheng)現逐(zhu)漸(jian)減(jian)小(xiao)(xiao)的(de)(de)趨勢(shi),結(jie)合(he)式(2-190)可知(zhi),一(yi)(yi)次(ci)枝晶(jing)間(jian)(jian)距入1與v.和(he)(he)Gr成反比,因(yin)而1沿(yan)(yan)徑(jing)向由邊部(bu)(bu)到(dao)心部(bu)(bu)逐(zhu)漸(jian)增大(da)。當壓(ya)(ya)力(li)從0.5MPa增加(jia)至(zhi)1.2MPa時,在壓(ya)(ya)力(li)強化冷卻(que)的(de)(de)作用下(xia),鑄(zhu)(zhu)錠內各單元體的(de)(de)vc和(he)(he)Gr隨之增大(da),且(qie)(qie)對鑄(zhu)(zhu)錠邊緣處的(de)(de)單元體影(ying)響最(zui)大(da),在沿(yan)(yan)徑(jing)向向心部(bu)(bu)移動的(de)(de)過程中,壓(ya)(ya)力(li)對vc和(he)(he)Gr的(de)(de)影(ying)響逐(zhu)步減(jian)弱。結(jie)合(he)式(2-190)可知(zhi),一(yi)(yi)次(ci)枝晶(jing)間(jian)(jian)距入1隨著(zhu)vc和(he)(he)Gr的(de)(de)增大(da)呈(cheng)冪函數減(jian)小(xiao)(xiao)。因(yin)此,隨著(zhu)壓(ya)(ya)力(li)增加(jia),一(yi)(yi)次(ci)枝晶(jing)間(jian)(jian)距入1減(jian)小(xiao)(xiao),且(qie)(qie)越(yue)靠近(jin)鑄(zhu)(zhu)錠邊部(bu)(bu),入減(jian)小(xiao)(xiao)趨勢(shi)越(yue)明顯,即壓(ya)(ya)力(li)對柱狀(zhuang)晶(jing)一(yi)(yi)次(ci)枝晶(jing)間(jian)(jian)距的(de)(de)影(ying)響大(da)于(yu)中心等(deng)軸晶(jing)區。


式 192.jpg


  由邊部到心部逐(zhu)漸增(zeng)大(da),結合(he)式(2-192)可知,鑄錠心部的二次(ci)枝晶間(jian)距入2大(da)于邊部;壓力(li)從0.5MPa增(zeng)加(jia)至1.2MPa時,LST明顯減(jian)小,二次(ci)枝晶間(jian)距入2也隨之減(jian)小。


112.jpg


  圖(tu)2-112 不(bu)同(tong)(tong)壓(ya)(ya)力下距(ju)(ju)離(li)19Cr14Mn0.9N含氮(dan)鋼鑄錠底(di)部(bu)130mm處LST計算值由(you)于等軸晶(jing)(jing)(jing)(jing)的(de)(de)一(yi)次(ci)枝(zhi)(zhi)晶(jing)(jing)(jing)(jing)臂彼此相交(jiao)且沿徑(jing)向(xiang)(xiang)以幾乎相同(tong)(tong)的(de)(de)速率向(xiang)(xiang)四周生長,同(tong)(tong)時(shi)不(bu)同(tong)(tong)等軸晶(jing)(jing)(jing)(jing)間(jian)不(bu)存在任(ren)何確定(ding)的(de)(de)位向(xiang)(xiang)關(guan)系,難以通過實驗(yan)對(dui)等軸晶(jing)(jing)(jing)(jing)的(de)(de)一(yi)次(ci)晶(jing)(jing)(jing)(jing)間(jian)距(ju)(ju)進行(xing)測量,因此只(zhi)對(dui)CET前(qian)柱狀晶(jing)(jing)(jing)(jing)的(de)(de)一(yi)次(ci)枝(zhi)(zhi)晶(jing)(jing)(jing)(jing)間(jian)距(ju)(ju)進行(xing)測量。圖(tu)2-113給(gei)出了距(ju)(ju)19Cr14Mn0.9N含氮(dan)鋼鑄錠底(di)部(bu)115mm的(de)(de)高度(du)處一(yi)次(ci)枝(zhi)(zhi)晶(jing)(jing)(jing)(jing)間(jian)距(ju)(ju)入1和(he)(he)(he)二次(ci)枝(zhi)(zhi)晶(jing)(jing)(jing)(jing)間(jian)距(ju)(ju)x2的(de)(de)變化(hua)規律(lv),在某一(yi)壓(ya)(ya)力下,沿徑(jing)向(xiang)(xiang)由(you)鑄錠邊部(bu)向(xiang)(xiang)心部(bu)移(yi)動的(de)(de)過程中,1和(he)(he)(he)x2逐漸增(zeng)大;當壓(ya)(ya)力從0.5MPa增(zeng)加(jia)至(zhi)1.2MPa時(shi),1和(he)(he)(he)入2均呈減小的(de)(de)趨勢(shi)。基(ji)于埋設熱(re)電偶的(de)(de)測溫(wen)結果和(he)(he)(he)式(2-195)可得,2nd和(he)(he)(he)4h測溫(wen)位置處局部(bu)凝固(gu)(gu)時(shi)間(jian)隨(sui)壓(ya)(ya)力的(de)(de)增(zeng)加(jia)而(er)縮短,如圖(tu)2-113(a)所示(shi),從而(er)導致x2的(de)(de)減小。對(dui)比可知,枝(zhi)(zhi)晶(jing)(jing)(jing)(jing)間(jian)距(ju)(ju)(λ和(he)(he)(he)ん)和(he)(he)(he)局部(bu)凝固(gu)(gu)時(shi)間(jian)沿徑(jing)向(xiang)(xiang)和(he)(he)(he)隨(sui)壓(ya)(ya)力變化(hua)趨勢(shi)的(de)(de)實驗(yan)與模擬結果一(yi)致。



  綜上所述,增加壓(ya)力能(neng)夠明(ming)顯減小枝(zhi)晶(jing)(jing)間距(x1和x2),縮短局部凝固時間,細化(hua)凝固組織(zhi)。鑄錠邊部和心部試樣的(de)枝(zhi)晶(jing)(jing)形(xing)貌如圖2-114所示,進一步佐證了增加壓(ya)力具有(you)明(ming)顯細化(hua)枝(zhi)晶(jing)(jing)組織(zhi)的(de)作(zuo)用,且對柱狀晶(jing)(jing)的(de)影響大(da)于(yu)中心等軸晶(jing)(jing)。


114.jpg



3. 晶粒數


  鑄錠內晶粒(li)數與(yu)晶粒(li)臨(lin)界(jie)形(xing)核半徑(jing)和(he)形(xing)核率有直接的關系,晶粒(li)臨(lin)界(jie)形(xing)核半徑(jing)為(wei):


式 196.jpg



  其中,Nm為與液(ye)相線溫(wen)度、凝(ning)固(gu)(gu)潛熱、擴散激活(huo)能以及表(biao)面張力有關(guan)的系(xi)數(shu)(shu)。圖2-114給出了 19Cr14Mn0.9N 含氮鋼鑄(zhu)錠(ding)等軸(zhou)晶(jing)(jing)(jing)(jing)區(qu)內(nei)晶(jing)(jing)(jing)(jing)粒(li)(li)數(shu)(shu)隨壓(ya)力的變(bian)化規律。壓(ya)力從(cong)0.5MPa增(zeng)(zeng)(zeng)加(jia)(jia)到(dao)(dao)1.2MPa時(shi),中心(xin)等軸(zhou)晶(jing)(jing)(jing)(jing)區(qu)的寬度逐(zhu)漸減(jian)小,最小值為56mm.19Cr14Mn0.9N含氮鋼鑄(zhu)錠(ding)180mm(高)x56mm(寬)等軸(zhou)晶(jing)(jing)(jing)(jing)區(qu)內(nei)晶(jing)(jing)(jing)(jing)粒(li)(li)數(shu)(shu)隨壓(ya)力的變(bian)化規律如圖2-115所示(shi)。當(dang)凝(ning)固(gu)(gu)壓(ya)力從(cong)0.5MPa增(zeng)(zeng)(zeng)加(jia)(jia)到(dao)(dao)0.85MPa時(shi),晶(jing)(jing)(jing)(jing)粒(li)(li)數(shu)(shu)目從(cong)9166增(zeng)(zeng)(zeng)加(jia)(jia)到(dao)(dao)9551;當(dang)凝(ning)固(gu)(gu)壓(ya)力進一步增(zeng)(zeng)(zeng)加(jia)(jia)到(dao)(dao)1.2MPa時(shi),晶(jing)(jing)(jing)(jing)粒(li)(li)數(shu)(shu)目增(zeng)(zeng)(zeng)加(jia)(jia)到(dao)(dao)10128.因此(ci),提高凝(ning)固(gu)(gu)壓(ya)力,鑄(zhu)錠(ding)等軸(zhou)晶(jing)(jing)(jing)(jing)區(qu)內(nei)晶(jing)(jing)(jing)(jing)粒(li)(li)數(shu)(shu)明顯增(zeng)(zeng)(zeng)大。


115.jpg


  在低壓下(xia),如壓力(li)從0.5MPa增(zeng)至1.2MPa時,液相(xiang)線溫(wen)度(du)、凝(ning)固潛熱、擴散激活能以及表面(mian)張力(li)的(de)(de)變(bian)量(liang)非(fei)常(chang)小(xiao),幾乎可(ke)(ke)以忽略,這樣可(ke)(ke)以假設Nm在0.5MPa、晶(jing)粒(li)數0.85MPa和1.2MPa下(xia)相(xiang)等,近似為常(chang)數。提高(gao)壓力(li)能夠明顯地增(zeng)大(da)鑄錠(ding)的(de)(de)溫(wen)度(du)梯(ti)度(du)(圖2-111),溫(wen)度(du)梯(ti)度(du)越大(da),單位時間(jian)內(nei)(nei)從糊(hu)狀(zhuang)區(qu)內(nei)(nei)導出結晶(jing)潛熱的(de)(de)量(liang)越大(da),進(jin)而提高(gao)了糊(hu)狀(zhuang)區(qu)內(nei)(nei)過冷度(du);反之亦然,這意味著(zhu)(zhu)糊(hu)狀(zhuang)區(qu)過冷度(du)與溫(wen)度(du)梯(ti)度(du)隨壓力(li)的(de)(de)變(bian)化趨勢相(xiang)同,即(ji)隨著(zhu)(zhu)壓力(li)的(de)(de)提高(gao)而增(zeng)大(da)。結合式(2-193)和式(2-197)可(ke)(ke)知,隨著(zhu)(zhu)糊(hu)狀(zhuang)區(qu)內(nei)(nei)過冷度(du)ΔT的(de)(de)增(zeng)加(jia),晶(jing)粒(li)臨(lin)界形核(he)(he)半徑(jing)rk減小(xiao),形核(he)(he)率Na增(zeng)大(da),有(you)助于(yu)提高(gao)鑄錠(ding)內(nei)(nei)晶(jing)粒(li)數。因(yin)此,增(zeng)加(jia)壓力(li)有(you)利于(yu)增(zeng)加(jia)晶(jing)粒(li)數。


  距離(li)(li)19Cr14Mn0.9N含氮鋼鑄(zhu)錠(ding)底部130mm的(de)(de)(de)(de)(de)(de)高度(du)處,晶(jing)(jing)(jing)粒數(shu)隨壓(ya)力的(de)(de)(de)(de)(de)(de)變化(hua)(hua)(hua)規(gui)律如圖(tu)2-116所示。在某(mou)一凝固(gu)壓(ya)力下(xia),鑄(zhu)錠(ding)邊(bian)部的(de)(de)(de)(de)(de)(de)晶(jing)(jing)(jing)粒數(shu)目最大(da)(da),隨著離(li)(li)鑄(zhu)錠(ding)邊(bian)部距離(li)(li)的(de)(de)(de)(de)(de)(de)增(zeng)(zeng)加(jia),由于(yu)糊狀區內(nei)過(guo)冷(leng)(leng)(leng)度(du)的(de)(de)(de)(de)(de)(de)減小,晶(jing)(jing)(jing)粒數(shu)也隨之減少。隨著壓(ya)力提高,晶(jing)(jing)(jing)粒數(shu)均呈(cheng)增(zeng)(zeng)大(da)(da)趨(qu)勢,且柱(zhu)狀晶(jing)(jing)(jing)區內(nei)軸向切(qie)片(pian)上晶(jing)(jing)(jing)粒數(shu)的(de)(de)(de)(de)(de)(de)增(zeng)(zeng)量明(ming)(ming)顯(xian)(xian)大(da)(da)于(yu)中心(xin)等軸晶(jing)(jing)(jing)區。因為在壓(ya)力強(qiang)化(hua)(hua)(hua)冷(leng)(leng)(leng)卻的(de)(de)(de)(de)(de)(de)作用下(xia),整個鑄(zhu)錠(ding)的(de)(de)(de)(de)(de)(de)溫(wen)度(du)梯度(du)均有增(zeng)(zeng)大(da)(da)趨(qu)勢,導(dao)致(zhi)糊狀區內(nei)過(guo)冷(leng)(leng)(leng)度(du)的(de)(de)(de)(de)(de)(de)增(zeng)(zeng)加(jia)。同時(shi),由于(yu)距離(li)(li)鑄(zhu)錠(ding)和鑄(zhu)型(xing)換熱界(jie)面越(yue)(yue)近,溫(wen)度(du)梯度(du)受界(jie)面換熱的(de)(de)(de)(de)(de)(de)影響(xiang)越(yue)(yue)大(da)(da),鑄(zhu)錠(ding)邊(bian)部溫(wen)度(du)梯度(du)隨壓(ya)力變化(hua)(hua)(hua)趨(qu)勢越(yue)(yue)明(ming)(ming)顯(xian)(xian),進(jin)而增(zeng)(zeng)加(jia)凝固(gu)壓(ya)力,鑄(zhu)錠(ding)邊(bian)部溫(wen)度(du)梯度(du)的(de)(de)(de)(de)(de)(de)增(zeng)(zeng)量明(ming)(ming)顯(xian)(xian)大(da)(da)于(yu)心(xin)部,從而導(dao)致(zhi)離(li)(li)鑄(zhu)錠(ding)邊(bian)部較近的(de)(de)(de)(de)(de)(de)柱(zhu)狀晶(jing)(jing)(jing)區內(nei)晶(jing)(jing)(jing)粒數(shu)的(de)(de)(de)(de)(de)(de)增(zeng)(zeng)量明(ming)(ming)顯(xian)(xian)大(da)(da)于(yu)中心(xin)等軸晶(jing)(jing)(jing)區。


116.jpg



二、疏松縮孔


  鑄錠(ding)產生(sheng)(sheng)疏(shu)松縮(suo)(suo)(suo)孔的(de)(de)(de)(de)基本原因是鑄錠(ding)從澆注(zhu)溫(wen)度冷(leng)卻(que)至(zhi)(zhi)固相(xiang)線(xian)(xian)溫(wen)度時(shi)產生(sheng)(sheng)的(de)(de)(de)(de)體收縮(suo)(suo)(suo)(液態(tai)收縮(suo)(suo)(suo)和(he)凝(ning)固收縮(suo)(suo)(suo)之和(he))大于(yu)固態(tai)收縮(suo)(suo)(suo)。當鋼(gang)液從澆注(zhu)溫(wen)度冷(leng)卻(que)至(zhi)(zhi)液相(xiang)線(xian)(xian)溫(wen)度時(shi)所產生(sheng)(sheng)的(de)(de)(de)(de)體收縮(suo)(suo)(suo)為液態(tai)收縮(suo)(suo)(suo),鋼(gang)液進一(yi)步從液相(xiang)線(xian)(xian)溫(wen)度冷(leng)卻(que)至(zhi)(zhi)固相(xiang)線(xian)(xian)溫(wen)度時(shi)(即發(fa)生(sheng)(sheng)凝(ning)固相(xiang)變(bian)時(shi))所產生(sheng)(sheng)的(de)(de)(de)(de)體收縮(suo)(suo)(suo)為凝(ning)固收縮(suo)(suo)(suo)[87],固態(tai)收縮(suo)(suo)(suo)是指固相(xiang)在冷(leng)卻(que)過程(cheng)中所產生(sheng)(sheng)的(de)(de)(de)(de)體收縮(suo)(suo)(suo)。疏(shu)松縮(suo)(suo)(suo)孔的(de)(de)(de)(de)出現嚴重降低了鑄錠(ding)的(de)(de)(de)(de)力學(xue)和(he)耐腐蝕性能以及成(cheng)材率,是鑄錠(ding)的(de)(de)(de)(de)嚴重缺陷之一(yi)。


 在凝固(gu)過(guo)程中鑄錠內出現體(ti)積(ji)小而(er)彌(mi)散的(de)空(kong)洞為疏(shu)松(song),體(ti)積(ji)大(da)且(qie)(qie)集中的(de)為縮(suo)(suo)(suo)孔。疏(shu)松(song)由在糊狀區內液相(xiang)體(ti)積(ji)分數降到一定程度時,液相(xiang)流動(dong)困(kun)難,液態收(shou)(shou)(shou)縮(suo)(suo)(suo)與凝固(gu)收(shou)(shou)(shou)縮(suo)(suo)(suo)之和(he)超過(guo)固(gu)態收(shou)(shou)(shou)縮(suo)(suo)(suo)的(de)那(nei)部分收(shou)(shou)(shou)縮(suo)(suo)(suo)量無法得(de)到補(bu)縮(suo)(suo)(suo)所導致,因(yin)而(er)疏(shu)松(song)的(de)形(xing)成(cheng)與枝(zhi)晶(jing)間液相(xiang)的(de)流動(dong)有密(mi)切關聯[72,87].在糊狀區內,體(ti)收(shou)(shou)(shou)縮(suo)(suo)(suo)主(zhu)要由凝固(gu)收(shou)(shou)(shou)縮(suo)(suo)(suo)組成(cheng),且(qie)(qie)為枝(zhi)晶(jing)間液體(ti)流動(dong)的(de)主(zhu)要驅動(dong)力,因(yin)而(er)枝(zhi)晶(jing)間液相(xiang)的(de)流速(su)u可(ke)表示為


式 198.jpg



  式中(zhong),PΔx=Ps+Pf(其中(zhong),Pt為鋼(gang)液靜壓力,Pf=pgh;Ps為凝固(gu)(gu)壓力)。結(jie)合(he)式(2-202)可知,增(zeng)加凝固(gu)(gu)壓力,Px增(zeng)大,強化了枝晶(jing)(jing)間液相的(de)(de)補縮能力,進而(er)有助于避免疏(shu)松的(de)(de)形(xing)成(cheng)[91].此(ci)外,糊(hu)(hu)狀(zhuang)區(qu)越(yue)(yue)寬,枝晶(jing)(jing)網狀(zhuang)結(jie)構(gou)越(yue)(yue)復雜,枝晶(jing)(jing)間補縮的(de)(de)距(ju)離越(yue)(yue)長阻力越(yue)(yue)大,滲透率(lv)K越(yue)(yue)小,疏(shu)松越(yue)(yue)容易形(xing)成(cheng)。因此(ci),疏(shu)松易于在(zai)糊(hu)(hu)狀(zhuang)區(qu)較(jiao)寬的(de)(de)鑄(zhu)錠以(yi)體(ti)積凝固(gu)(gu)或同時凝固(gu)(gu)方式凝固(gu)(gu)時形(xing)成(cheng)。相比(bi)之下,縮孔傾向于在(zai)糊(hu)(hu)狀(zhuang)區(qu)較(jiao)窄(zhai)的(de)(de)鑄(zhu)錠以(yi)逐層凝固(gu)(gu)方式的(de)(de)凝固(gu)(gu)過程(cheng)中(zhong)出現。


  不同凝固壓(ya)(ya)力(li)(li)下(0.5MPa、0.85MPa和(he)1.2MPa),19Cr14Mn0.9N含氮鋼鑄(zhu)錠縱剖面(mian)上疏(shu)松(song)(song)縮(suo)孔(kong)的(de)(de)(de)分(fen)布情(qing)況如圖2-117所示。隨著凝固壓(ya)(ya)力(li)(li)的(de)(de)(de)增(zeng)(zeng)加,疏(shu)松(song)(song)和(he)縮(suo)孔(kong)的(de)(de)(de)總面(mian)積大(da)幅度(du)(du)減小(xiao),且(qie)疏(shu)松(song)(song)逐(zhu)漸(jian)消失(shi)。由于壓(ya)(ya)力(li)(li)具有(you)顯著的(de)(de)(de)強(qiang)化冷(leng)卻效(xiao)果(guo),增(zeng)(zeng)大(da)凝固壓(ya)(ya)力(li)(li),強(qiang)化了(le)鑄(zhu)錠和(he)鑄(zhu)型間的(de)(de)(de)界面(mian)換熱,加快了(le)鑄(zhu)錠的(de)(de)(de)冷(leng)卻速率,從而(er)增(zeng)(zeng)大(da)了(le)鑄(zhu)錠溫度(du)(du)梯度(du)(du)Gr;在合(he)(he)金體系一定(ding)的(de)(de)(de)情(qing)況下,糊狀區(qu)隨之確定(ding),那(nei)么糊狀區(qu)的(de)(de)(de)寬(kuan)度(du)(du)隨溫度(du)(du)梯度(du)(du)Gr的(de)(de)(de)增(zeng)(zeng)大(da)而(er)減小(xiao)171],進而(er)導致(zhi)枝晶網狀結構的(de)(de)(de)形成(cheng)受(shou)到(dao)抑制。凝固方式(shi)逐(zhu)漸(jian)由體積凝固向逐(zhu)層(ceng)凝固過渡(du),增(zeng)(zeng)大(da)了(le)滲(shen)透(tou)率K,從而(er)降低和(he)縮(suo)短枝晶間補縮(suo)時(shi)液相流動的(de)(de)(de)阻力(li)(li)和(he)距離。此外,基于以上理(li)論分(fen)析并(bing)結合(he)(he)判(pan)據(ju)式(shi)(2-202)可知,增(zeng)(zeng)加凝固壓(ya)(ya)力(li)(li)等效(xiao)于增(zeng)(zeng)大(da)了(le)Px,使其遠大(da)于枝晶間液相補縮(suo)時(shi)所需壓(ya)(ya)力(li)(li)。因(yin)此,加壓(ya)(ya)有(you)利于枝晶間液相的(de)(de)(de)補縮(suo)行為(wei),且(qie)有(you)助于大(da)幅度(du)(du)減小(xiao)或消除疏(shu)松(song)(song)缺陷。


117.jpg



三、凝固析出相


  根據相所含非金(jin)屬元素的(de)種類(lei),可將凝固析出(chu)相分為氮化(hua)(hua)物、碳化(hua)(hua)物等(deng),與(yu)碳化(hua)(hua)物相比,氮化(hua)(hua)物尺(chi)寸一般(ban)較小(xiao),為了(le)更加清楚直觀地(di)論述(shu)增加壓(ya)力(li)對(dui)凝固析出(chu)相的(de)影響,本節將著重以高(gao)速鋼M42中碳化(hua)(hua)物為例,闡述(shu)壓(ya)力(li)對(dui)凝固析出(chu)相的(de)類(lei)型、形貌、成分等(deng)影響規律。


  高(gao)速(su)鋼碳(tan)(tan)(tan)(tan)(tan)化(hua)(hua)(hua)(hua)(hua)(hua)物(wu)(wu)的(de)數量繁多、種類(lei)(lei)各異。不(bu)同(tong)(tong)(tong)(tong)碳(tan)(tan)(tan)(tan)(tan)化(hua)(hua)(hua)(hua)(hua)(hua)物(wu)(wu)的(de)特性(xing)不(bu)同(tong)(tong)(tong)(tong)、成(cheng)(cheng)分(fen)(fen)(fen)不(bu)同(tong)(tong)(tong)(tong)、形(xing)貌也各有差異;按照碳(tan)(tan)(tan)(tan)(tan)化(hua)(hua)(hua)(hua)(hua)(hua)物(wu)(wu)的(de)形(xing)貌特征及生成(cheng)(cheng)機制的(de)不(bu)同(tong)(tong)(tong)(tong),可將高(gao)速(su)鋼中碳(tan)(tan)(tan)(tan)(tan)化(hua)(hua)(hua)(hua)(hua)(hua)物(wu)(wu)分(fen)(fen)(fen)為一(yi)次(ci)(ci)(ci)碳(tan)(tan)(tan)(tan)(tan)化(hua)(hua)(hua)(hua)(hua)(hua)物(wu)(wu)和二次(ci)(ci)(ci)碳(tan)(tan)(tan)(tan)(tan)化(hua)(hua)(hua)(hua)(hua)(hua)物(wu)(wu)兩大部分(fen)(fen)(fen)。一(yi)次(ci)(ci)(ci)碳(tan)(tan)(tan)(tan)(tan)化(hua)(hua)(hua)(hua)(hua)(hua)物(wu)(wu)又稱為“初生碳(tan)(tan)(tan)(tan)(tan)化(hua)(hua)(hua)(hua)(hua)(hua)物(wu)(wu)”,即(ji)在(zai)凝固(gu)過程(cheng)中直接從(cong)液相(xiang)中析出的(de)碳(tan)(tan)(tan)(tan)(tan)化(hua)(hua)(hua)(hua)(hua)(hua)物(wu)(wu),包括各種先共(gong)晶和共(gong)晶碳(tan)(tan)(tan)(tan)(tan)化(hua)(hua)(hua)(hua)(hua)(hua)物(wu)(wu),有M6C、M2C、MC等不(bu)同(tong)(tong)(tong)(tong)類(lei)(lei)型。一(yi)次(ci)(ci)(ci)碳(tan)(tan)(tan)(tan)(tan)化(hua)(hua)(hua)(hua)(hua)(hua)物(wu)(wu)的(de)尺寸比較(jiao)大,屬于微米級(ji)別,在(zai)后(hou)續熱加工(gong)和熱處(chu)理工(gong)藝中將被破碎或分(fen)(fen)(fen)解成(cheng)(cheng)尺寸較(jiao)小的(de)顆粒(li)狀存在(zai)于鋼中。二次(ci)(ci)(ci)碳(tan)(tan)(tan)(tan)(tan)化(hua)(hua)(hua)(hua)(hua)(hua)物(wu)(wu)是(shi)指(zhi)在(zai)凝固(gu)過程(cheng)中或熱處(chu)理時從(cong)固(gu)相(xiang)基體(ti)(ti)(高(gao)溫鐵素(su)體(ti)(ti)、奧氏(shi)體(ti)(ti)、馬(ma)氏(shi)體(ti)(ti)等)中析出的(de)碳(tan)(tan)(tan)(tan)(tan)化(hua)(hua)(hua)(hua)(hua)(hua)物(wu)(wu),分(fen)(fen)(fen)為M6C、MC、M23C6、M7C3、M2C等不(bu)同(tong)(tong)(tong)(tong)類(lei)(lei)型。高(gao)速(su)鋼中碳(tan)(tan)(tan)(tan)(tan)化(hua)(hua)(hua)(hua)(hua)(hua)物(wu)(wu)成(cheng)(cheng)分(fen)(fen)(fen)波動范圍較(jiao)大,不(bu)同(tong)(tong)(tong)(tong)鋼種、不(bu)同(tong)(tong)(tong)(tong)條件產生的(de)同(tong)(tong)(tong)(tong)一(yi)類(lei)(lei)型的(de)碳(tan)(tan)(tan)(tan)(tan)化(hua)(hua)(hua)(hua)(hua)(hua)物(wu)(wu)也會有不(bu)同(tong)(tong)(tong)(tong)的(de)成(cheng)(cheng)分(fen)(fen)(fen),甚(shen)至同(tong)(tong)(tong)(tong)一(yi)粒(li)碳(tan)(tan)(tan)(tan)(tan)化(hua)(hua)(hua)(hua)(hua)(hua)物(wu)(wu)的(de)不(bu)同(tong)(tong)(tong)(tong)部位,也會有成(cheng)(cheng)分(fen)(fen)(fen)的(de)差異。各碳(tan)(tan)(tan)(tan)(tan)化(hua)(hua)(hua)(hua)(hua)(hua)物(wu)(wu)的(de)形(xing)貌、成(cheng)(cheng)分(fen)(fen)(fen)及分(fen)(fen)(fen)布見(jian)表2-14.


表 14.jpg


  M2C具有(you)(you)密排(pai)六(liu)方(fang)晶體(ti)結構[172-175,179],其主要形(xing)(xing)(xing)成元素(su)通常是鉬、釩和鎢,鉻及鐵的(de)(de)(de)含量則較少。M2C 共(gong)晶碳化物一般以(yi)亞穩態存在于(yu)鋼(gang)中。尺寸較小、片層較薄且沒有(you)(you)中間脊骨,在高(gao)溫時(shi)(shi)易發(fa)生分解(jie)(jie)反應:M2C+Fe(Y)→M6C+MC,分解(jie)(jie)成尺寸較小的(de)(de)(de)顆(ke)粒狀(zhuang)M6C和MC。此外,與M6C相反,鋼(gang)液凝(ning)(ning)固時(shi)(shi)的(de)(de)(de)冷(leng)卻(que)速率越(yue)快,越(yue)有(you)(you)利(li)于(yu)M2C的(de)(de)(de)形(xing)(xing)(xing)成。因此,提高(gao)鑄錠凝(ning)(ning)固時(shi)(shi)的(de)(de)(de)冷(leng)卻(que)速率有(you)(you)利(li)于(yu)促進M2C的(de)(de)(de)形(xing)(xing)(xing)成并細化M2C,同時(shi)(shi)可抑(yi)制較大尺寸M6Cl。


  M6C具有復雜立方(fang)晶體結構,其結構中(zhong)除碳(tan)(tan)原子以外,鐵、鎢原子約各占一半。M6C屬于穩定型碳(tan)(tan)化物(wu),其形態為粗大的(de)骨骼(ge)狀。鋼液凝(ning)固時冷(leng)(leng)卻(que)速率(lv)越慢,M6C碳(tan)(tan)化物(wu)越易(yi)于形成和長大。因此,M6C在(zai)高速鋼的(de)心(xin)部往往含量較高,而邊部較少或(huo)沒(mei)有。加快鑄(zhu)錠凝(ning)固時的(de)冷(leng)(leng)卻(que)速率(lv)有利于細化M6C,提高鑄(zhu)錠性能。


  MC具有(you)(you)面心(xin)立方(fang)結構(gou)(gou),化(hua)(hua)(hua)學式(shi)為(wei)MC或者M4C3,其(qi)成(cheng)分(fen)以釩為(wei)主(zhu)。鋼(gang)中碳(tan)、釩含(han)量(liang)(liang)的(de)(de)(de)增(zeng)大(da)可(ke)使MC增(zeng)多(duo),尺寸變大(da)。高(gao)速鋼(gang)中還有(you)(you)M23C6、M3C、M7C3等(deng)(deng)碳(tan)化(hua)(hua)(hua)物。M23C6晶(jing)(jing)(jing)體(ti)結構(gou)(gou)為(wei)復雜(za)(za)面心(xin)立方(fang)結構(gou)(gou),具有(you)(you)一定(ding)量(liang)(liang)的(de)(de)(de)鎢、鉬(mu),釩含(han)量(liang)(liang)極少,含(han)有(you)(you)大(da)量(liang)(liang)的(de)(de)(de)鉻、鐵元素;與M2C相(xiang)同,M3C也是亞穩(wen)(wen)態相(xiang)。M7C3為(wei)復雜(za)(za)六方(fang)晶(jing)(jing)(jing)體(ti)結構(gou)(gou),含(han)有(you)(you)較(jiao)多(duo)的(de)(de)(de)鉻、鐵,主(zhu)要(yao)存在于(yu)碳(tan)含(han)量(liang)(liang)較(jiao)高(gao)的(de)(de)(de)鋼(gang)中。高(gao)速鋼(gang)中碳(tan)化(hua)(hua)(hua)物具有(you)(you)兩個重要(yao)的(de)(de)(de)特性:硬度(du)和熱(re)(re)穩(wen)(wen)定(ding)性(加熱(re)(re)時溶解、聚集長大(da)的(de)(de)(de)難(nan)度(du))。這些特性反映了碳(tan)化(hua)(hua)(hua)物中碳(tan)和金(jin)屬(shu)原(yuan)子(zi)(zi)結合鍵的(de)(de)(de)強弱,與原(yuan)子(zi)(zi)結構(gou)(gou)和尺寸有(you)(you)關。碳(tan)化(hua)(hua)(hua)物的(de)(de)(de)晶(jing)(jing)(jing)格結構(gou)(gou)與碳(tan)原(yuan)子(zi)(zi)半(ban)徑rc、金(jin)屬(shu)原(yuan)子(zi)(zi)半(ban)徑rx有(you)(you)關,如(ru)表2-15所示,rd/rx值越大(da),則越易形(xing)(xing)成(cheng)結構(gou)(gou)復雜(za)(za)的(de)(de)(de)碳(tan)化(hua)(hua)(hua)物(M23C6、M3C等(deng)(deng)),越小則易形(xing)(xing)成(cheng)結構(gou)(gou)簡(jian)單密堆(dui)型(xing)碳(tan)化(hua)(hua)(hua)物(MC等(deng)(deng))。表中熔點可(ke)作為(wei)碳(tan)化(hua)(hua)(hua)物熱(re)(re)穩(wen)(wen)定(ding)性的(de)(de)(de)衡量(liang)(liang)指標,可(ke)見碳(tan)化(hua)(hua)(hua)物中原(yuan)子(zi)(zi)尺寸越接近,則碳(tan)化(hua)(hua)(hua)物穩(wen)(wen)定(ding)性越高(gao)。


表 15.jpg

 1. 壓(ya)力(li)對萊氏(shi)體的影響


  凝(ning)固末期,由于偏析導(dao)致(zhi)合(he)金元素(su)在(zai)枝晶(jing)間殘余液相(xiang)內富(fu)集(ji)發生共(gong)晶(jing)反應,從液相(xiang)中直(zhi)接生成碳化(hua)物,它(ta)與奧氏(shi)(shi)體(ti)相(xiang)間排(pai)列,構成萊(lai)氏(shi)(shi)體(ti)組(zu)織(zhi)。因此高(gao)速鋼的萊(lai)氏(shi)(shi)體(ti)組(zu)織(zhi)往往存在(zai)于枝晶(jing)間。圖2-118為M2高(gao)速鋼的低倍鑄態組(zu)織(zhi),可見一(yi)般情(qing)況下,相(xiang)鄰晶(jing)粒(li)之間的萊(lai)氏(shi)(shi)體(ti)組(zu)織(zhi)較為細小,數量較少,而(er)多個(ge)晶(jing)粒(li)之間的萊(lai)氏(shi)(shi)體(ti)組(zu)織(zhi)尺寸較大,數量較多。


118.jpg


  高速(su)鋼的(de)(de)萊氏體組織(zhi)中含(han)有(you)多種類型的(de)(de)碳(tan)化(hua)物,如M2C、M6C、MC等(deng)。M6C整體形(xing)貌(mao)類似魚骨,故又稱(cheng)為“魚骨狀(zhuang)(zhuang)(zhuang)碳(tan)化(hua)物”,如圖(tu)2-119所示;M2C成片(pian)層狀(zhuang)(zhuang)(zhuang),含(han)有(you)M2C的(de)(de)共晶萊氏體具有(you)“羽(yu)毛狀(zhuang)(zhuang)(zhuang)”、“扇狀(zhuang)(zhuang)(zhuang)”、“菊花狀(zhuang)(zhuang)(zhuang)”等(deng)形(xing)貌(mao),如圖(tu)2-120所示;MC的(de)(de)生長(chang)時間(jian)較長(chang),最終尺寸(cun)較為粗大,往(wang)往(wang)以不規(gui)則的(de)(de)條狀(zhuang)(zhuang)(zhuang)出現,如圖(tu)2-120所示。


120.jpg


  a. 碳(tan)化物種類及(ji)分布


   高(gao)(gao)速鋼(gang)中碳(tan)(tan)(tan)化(hua)(hua)(hua)(hua)(hua)(hua)(hua)物(wu)種(zhong)類(lei)與(yu)成(cheng)分和凝(ning)固(gu)過程(cheng)中的(de)(de)(de)(de)冷(leng)(leng)卻(que)速率(lv)密不可分。M42 高(gao)(gao)速工具鋼(gang)作為高(gao)(gao)鉬低鎢鋼(gang),其凝(ning)固(gu)組(zu)織(zhi)(zhi)碳(tan)(tan)(tan)化(hua)(hua)(hua)(hua)(hua)(hua)(hua)物(wu)主(zhu)(zhu)要為M2C共(gong)(gong)晶(jing)碳(tan)(tan)(tan)化(hua)(hua)(hua)(hua)(hua)(hua)(hua)物(wu);另外含(han)有(you)(you)少(shao)部分M6C共(gong)(gong)晶(jing)碳(tan)(tan)(tan)化(hua)(hua)(hua)(hua)(hua)(hua)(hua)物(wu),主(zhu)(zhu)要存在于鑄(zhu)(zhu)(zhu)錠(ding)(ding)(ding)(ding)的(de)(de)(de)(de)心部區域。圖2-121~圖2-123給(gei)出(chu)了M42高(gao)(gao)速鋼(gang)鑄(zhu)(zhu)(zhu)錠(ding)(ding)(ding)(ding)在0.1MPa、1MPa和2MPa下1/4圓(yuan)(yuan)鑄(zhu)(zhu)(zhu)錠(ding)(ding)(ding)(ding)板金相(xiang)組(zu)織(zhi)(zhi)。白(bai)色斑點(dian)狀處(chu)的(de)(de)(de)(de)萊(lai)(lai)氏體組(zu)織(zhi)(zhi)中的(de)(de)(de)(de)碳(tan)(tan)(tan)化(hua)(hua)(hua)(hua)(hua)(hua)(hua)物(wu)為具有(you)(you)中心脊骨(gu),脊骨(gu)兩邊具有(you)(you)平行分枝的(de)(de)(de)(de)魚(yu)(yu)骨(gu)狀M6C.M6C共(gong)(gong)晶(jing)碳(tan)(tan)(tan)化(hua)(hua)(hua)(hua)(hua)(hua)(hua)物(wu)的(de)(de)(de)(de)尺寸比M2C共(gong)(gong)晶(jing)碳(tan)(tan)(tan)化(hua)(hua)(hua)(hua)(hua)(hua)(hua)物(wu)粗大(da)得多(duo)且(qie)結構上(shang)相(xiang)互連接緊密,極不利于鑄(zhu)(zhu)(zhu)錠(ding)(ding)(ding)(ding)的(de)(de)(de)(de)后續碳(tan)(tan)(tan)化(hua)(hua)(hua)(hua)(hua)(hua)(hua)物(wu)破碎,因此盡可能(neng)(neng)減(jian)少(shao)或(huo)避免(mian)凝(ning)固(gu)組(zu)織(zhi)(zhi)中M6C共(gong)(gong)晶(jing)碳(tan)(tan)(tan)化(hua)(hua)(hua)(hua)(hua)(hua)(hua)物(wu)的(de)(de)(de)(de)產生,有(you)(you)助(zhu)于提升(sheng)其力(li)(li)學(xue)(xue)性能(neng)(neng)等。隨著壓(ya)(ya)力(li)(li)的(de)(de)(de)(de)增(zeng)(zeng)大(da),萊(lai)(lai)氏體(白(bai)色斑點(dian))所(suo)占(zhan)1/4圓(yuan)(yuan)鑄(zhu)(zhu)(zhu)錠(ding)(ding)(ding)(ding)板的(de)(de)(de)(de)面積比例逐漸(jian)減(jian)小(xiao)(xiao),加(jia)壓(ya)(ya)有(you)(you)助(zhu)于抑制(zhi)M6C共(gong)(gong)晶(jing)碳(tan)(tan)(tan)化(hua)(hua)(hua)(hua)(hua)(hua)(hua)物(wu)的(de)(de)(de)(de)形(xing)成(cheng)與(yu)長大(da),其主(zhu)(zhu)要原(yuan)因在于在較低壓(ya)(ya)力(li)(li)下,加(jia)壓(ya)(ya)對凝(ning)固(gu)熱(re)力(li)(li)學(xue)(xue)和動力(li)(li)學(xue)(xue)參數的(de)(de)(de)(de)影響十(shi)分有(you)(you)限(xian),但強化(hua)(hua)(hua)(hua)(hua)(hua)(hua)冷(leng)(leng)卻(que)效果十(shi)分明同時(shi)凝(ning)固(gu)過程(cheng)中冷(leng)(leng)卻(que)速率(lv)越(yue)小(xiao)(xiao),越(yue)有(you)(you)利于魚(yu)(yu)骨(gu)狀M6C共(gong)(gong)晶(jing)碳(tan)(tan)(tan)化(hua)(hua)(hua)(hua)(hua)(hua)(hua)物(wu)的(de)(de)(de)(de)形(xing)成(cheng),且(qie)M6C越(yue)粗大(da)。因而增(zeng)(zeng)加(jia)壓(ya)(ya)力(li)(li)主(zhu)(zhu)要通(tong)過增(zeng)(zeng)大(da)鑄(zhu)(zhu)(zhu)錠(ding)(ding)(ding)(ding)和鑄(zhu)(zhu)(zhu)型間界(jie)面換(huan)熱(re)系(xi)數,提高(gao)(gao)鑄(zhu)(zhu)(zhu)錠(ding)(ding)(ding)(ding)的(de)(de)(de)(de)冷(leng)(leng)卻(que)速率(lv)從而細化(hua)(hua)(hua)(hua)(hua)(hua)(hua)并抑制(zhi)M6C共(gong)(gong)晶(jing)碳(tan)(tan)(tan)化(hua)(hua)(hua)(hua)(hua)(hua)(hua)物(wu)的(de)(de)(de)(de)形(xing)成(cheng),且(qie)當壓(ya)(ya)力(li)(li)增(zeng)(zeng)加(jia)到(dao)一定程(cheng)度時(shi),能(neng)(neng)夠完(wan)全抑制(zhi)富含(han)M6C的(de)(de)(de)(de)萊(lai)(lai)氏體形(xing)成(cheng),消除其對組(zu)織(zhi)(zhi)和性能(neng)(neng)的(de)(de)(de)(de)不良影響。



121.jpg

   圖2-121(b)所(suo)示萊(lai)氏(shi)(shi)體組織中碳(tan)化(hua)物(wu)(wu)為長條(tiao)狀(zhuang)或者(zhe)短棒狀(zhuang)的(de)(de)M2C.凝固壓力不同(tong),M2C的(de)(de)尺(chi)寸、形貌(mao)以及分(fen)布的(de)(de)緊密程度等(deng)均有(you)所(suo)不同(tong)。在(zai)0.1MPa壓力下,碳(tan)化(hua)物(wu)(wu)分(fen)枝較(jiao)少、片層(ceng)較(jiao)長、尺(chi)寸較(jiao)大、間距較(jiao)寬、共晶(jing)萊(lai)氏(shi)(shi)體與(yu)枝晶(jing)臂(bei)的(de)(de)界面較(jiao)平整(zheng);隨(sui)著壓力的(de)(de)增(zeng)加,條(tiao)狀(zhuang)或片層(ceng)狀(zhuang)碳(tan)化(hua)物(wu)(wu)的(de)(de)間距逐漸減(jian)小,且(qie)開(kai)(kai)始(shi)斷(duan)開(kai)(kai)成(cheng)大量的(de)(de)短棒碳(tan)化(hua)物(wu)(wu),碳(tan)化(hua)物(wu)(wu)的(de)(de)分(fen)枝也逐漸增(zeng)多(duo),并密集分(fen)布在(zai)枝晶(jing)間,共晶(jing)萊(lai)氏(shi)(shi)體與(yu)枝晶(jing)臂(bei)的(de)(de)界面也較(jiao)為粗糙(cao)。此(ci)外,三個(ge)壓力下的(de)(de)M2C幾乎沒有(you)晶(jing)體缺陷,明壓力很難(nan)對(dui)碳(tan)化(hua)物(wu)(wu)晶(jing)格類(lei)型產(chan)生影響(xiang)。


123.jpg


  b. 萊氏(shi)體尺(chi)寸


   萊氏(shi)體(ti)(ti)組(zu)織存在于枝(zhi)晶(jing)間,與枝(zhi)晶(jing)間距、形貌及分布密切相關(guan),枝(zhi)晶(jing)間距越小,枝(zhi)晶(jing)間萊氏(shi)體(ti)(ti)尺(chi)寸也相應(ying)地(di)細小且均(jun)勻分布。圖(tu)2-124和(he)(he)圖(tu)2-125給(gei)出(chu)了(le)不同壓力(li)條(tiao)件(jian)下(xia)M42鑄(zhu)(zhu)錠(ding)(ding)邊部(bu)和(he)(he)心(xin)部(bu)萊氏(shi)體(ti)(ti)形貌和(he)(he)尺(chi)寸分布,無(wu)論是鑄(zhu)(zhu)錠(ding)(ding)的邊部(bu)還是心(xin)部(bu),尺(chi)寸不一的萊氏(shi)體(ti)(ti)組(zu)織(黑色(se))均(jun)分布在枝(zhi)晶(jing)間。在同一凝(ning)固壓力(li)條(tiao)件(jian)下(xia),鑄(zhu)(zhu)錠(ding)(ding)邊部(bu)的枝(zhi)晶(jing)間距明顯(xian)小于心(xin)部(bu),因而心(xin)部(bu)萊氏(shi)體(ti)(ti)要比邊部(bu)粗大。


   隨著壓力(li)(li)(li)的(de)(de)增大(da)(da),在(zai)壓力(li)(li)(li)強化(hua)(hua)冷卻的(de)(de)作用下,冷卻速率增大(da)(da),鑄錠局(ju)部(bu)凝固時間(jian)縮短,使(shi)得(de)枝晶(jing)組(zu)織得(de)到了明(ming)顯細(xi)化(hua)(hua)且(qie)(qie)尺(chi)(chi)(chi)寸分(fen)布(bu)(bu)(bu)更(geng)均勻(yun),進而(er)導(dao)致分(fen)布(bu)(bu)(bu)在(zai)枝晶(jing)間(jian)的(de)(de)萊(lai)(lai)氏(shi)(shi)體(ti)組(zu)織也隨之細(xi)化(hua)(hua),厚度(du)大(da)(da)大(da)(da)減小且(qie)(qie)分(fen)布(bu)(bu)(bu)更(geng)加(jia)(jia)均勻(yun)。在(zai)0.1MPa 壓力(li)(li)(li)下,無論在(zai)邊部(bu)還是心部(bu)位置,鑄錠的(de)(de)萊(lai)(lai)氏(shi)(shi)體(ti)組(zu)織均較為粗(cu)大(da)(da),且(qie)(qie)尺(chi)(chi)(chi)寸分(fen)布(bu)(bu)(bu)極不均勻(yun),部(bu)分(fen)局(ju)部(bu)區(qu)域(yu)存在(zai)著大(da)(da)量的(de)(de)黑色萊(lai)(lai)氏(shi)(shi)體(ti),尤其(qi)在(zai)多個(ge)枝晶(jing)臂交匯處,且(qie)(qie)尺(chi)(chi)(chi)寸異常粗(cu)大(da)(da)。當(dang)(dang)壓力(li)(li)(li)增加(jia)(jia)至(zhi)(zhi)1MPa時,粗(cu)大(da)(da)萊(lai)(lai)氏(shi)(shi)體(ti)得(de)到明(ming)顯細(xi)化(hua)(hua),且(qie)(qie)尺(chi)(chi)(chi)寸分(fen)布(bu)(bu)(bu)更(geng)加(jia)(jia)均勻(yun);當(dang)(dang)壓力(li)(li)(li)進一步(bu)增加(jia)(jia)至(zhi)(zhi)2MPa時,萊(lai)(lai)氏(shi)(shi)體(ti)組(zu)織得(de)到進一步(bu)地改善(shan),組(zu)織更(geng)加(jia)(jia)細(xi)密,尺(chi)(chi)(chi)寸更(geng)加(jia)(jia)均勻(yun),粗(cu)大(da)(da)萊(lai)(lai)氏(shi)(shi)體(ti)組(zu)織基本(ben)消失。萊(lai)(lai)氏(shi)(shi)體(ti)平均尺(chi)(chi)(chi)寸隨壓力(li)(li)(li)的(de)(de)變化(hua)(hua)規(gui)律如圖2-126所示,壓力(li)(li)(li)從(cong)0.1MPa增加(jia)(jia)至(zhi)(zhi)2MPa時,萊(lai)(lai)氏(shi)(shi)體(ti)厚度(du)由28.37μm降低至(zhi)(zhi)22.92μm.因(yin)此,增加(jia)(jia)壓力(li)(li)(li)能夠明(ming)顯細(xi)化(hua)(hua)萊(lai)(lai)氏(shi)(shi)體(ti)組(zu)織,改善(shan)其(qi)分(fen)布(bu)(bu)(bu)狀態(tai)。


124.jpg


 2. 壓力對(dui)碳化物(wu)的影響


  a. 碳化物尺寸(cun)


   以高(gao)速鋼(gang)中(zhong)M2C共(gong)晶(jing)碳化(hua)(hua)物為例,M2C共(gong)晶(jing)碳化(hua)(hua)物是通過凝(ning)(ning)固(gu)過程(cheng)中(zhong)的(de)(de)(de)共(gong)晶(jing)反應L→y+M2C產生的(de)(de)(de)。和(he)(he)純金(jin)屬及固(gu)溶體合(he)金(jin)的(de)(de)(de)結晶(jing)過程(cheng)一樣,共(gong)晶(jing)轉變(bian)(bian)同(tong)(tong)樣需要經(jing)過形核與(yu)長大(da)(da)的(de)(de)(de)過程(cheng)。結合(he)式(shi)(2-178)和(he)(he)式(shi)(2-179),東(dong)北大(da)(da)學(xue)特殊(shu)鋼(gang)冶金(jin)研究所在(zai)控(kong)制(zhi)溫度不(bu)變(bian)(bian)的(de)(de)(de)基礎(chu)上(shang),計算(suan)了不(bu)同(tong)(tong)壓(ya)(ya)(ya)(ya)力(li)(li)(li)(li)下各元(yuan)(yuan)(yuan)素(su)在(zai)兩相中(zhong)的(de)(de)(de)擴(kuo)散(san)(san)(san)(san)系(xi)數(shu),探討凝(ning)(ning)固(gu)壓(ya)(ya)(ya)(ya)力(li)(li)(li)(li)與(yu)擴(kuo)散(san)(san)(san)(san)激活能(neng)的(de)(de)(de)關系(xi)。凝(ning)(ning)固(gu)過程(cheng)中(zhong)溫度T=1478K時(shi)(shi),合(he)金(jin)元(yuan)(yuan)(yuan)素(su)(鉬(mu)、鎢(wu)、釩(fan)和(he)(he)鉻(ge))在(zai)M2C相和(he)(he)奧氏(shi)體相γ中(zhong)的(de)(de)(de)擴(kuo)散(san)(san)(san)(san)系(xi)數(shu)D隨(sui)壓(ya)(ya)(ya)(ya)力(li)(li)(li)(li)的(de)(de)(de)變(bian)(bian)化(hua)(hua)規律(lv)如圖2-127和(he)(he)圖2-128所示;從整(zheng)體上(shang)看,隨(sui)著壓(ya)(ya)(ya)(ya)力(li)(li)(li)(li)的(de)(de)(de)逐漸(jian)(jian)增大(da)(da),同(tong)(tong)溫度M2C相中(zhong)的(de)(de)(de)合(he)金(jin)元(yuan)(yuan)(yuan)素(su)鉬(mu)和(he)(he)鎢(wu)的(de)(de)(de)擴(kuo)散(san)(san)(san)(san)系(xi)數(shu)D呈(cheng)(cheng)減小(xiao)趨勢(shi),而合(he)金(jin)元(yuan)(yuan)(yuan)素(su)釩(fan)和(he)(he)鉻(ge)則呈(cheng)(cheng)增大(da)(da)的(de)(de)(de)趨勢(shi),表明提高(gao)壓(ya)(ya)(ya)(ya)力(li)(li)(li)(li)可增大(da)(da)M2C中(zhong)鉬(mu)、鎢(wu)元(yuan)(yuan)(yuan)素(su)的(de)(de)(de)擴(kuo)散(san)(san)(san)(san)激活能(neng)ΔGm,進而降低其擴(kuo)散(san)(san)(san)(san)能(neng)力(li)(li)(li)(li);同(tong)(tong)時(shi)(shi)降低釩(fan)、鉻(ge)元(yuan)(yuan)(yuan)素(su)的(de)(de)(de)擴(kuo)散(san)(san)(san)(san)激活能(neng)ΔGm,從而提高(gao)其擴(kuo)散(san)(san)(san)(san)能(neng)力(li)(li)(li)(li)。然而,當壓(ya)(ya)(ya)(ya)力(li)(li)(li)(li)在(zai)0.1~2MPa范圍內變(bian)(bian)化(hua)(hua)時(shi)(shi),各元(yuan)(yuan)(yuan)素(su)擴(kuo)散(san)(san)(san)(san)系(xi)數(shu)的(de)(de)(de)變(bian)(bian)化(hua)(hua)微乎其微,即保持恒(heng)定值。隨(sui)著凝(ning)(ning)固(gu)壓(ya)(ya)(ya)(ya)力(li)(li)(li)(li)逐漸(jian)(jian)增大(da)(da)到(dao)50MPa,元(yuan)(yuan)(yuan)素(su)鉬(mu)的(de)(de)(de)擴(kuo)散(san)(san)(san)(san)系(xi)數(shu)才開(kai)始產生較(jiao)為明顯(xian)的(de)(de)(de)變(bian)(bian)化(hua)(hua),鎢(wu)、釩(fan)和(he)(he)鉻(ge)元(yuan)(yuan)(yuan)素(su)的(de)(de)(de)擴(kuo)散(san)(san)(san)(san)系(xi)數(shu)甚至在(zai)100MPa壓(ya)(ya)(ya)(ya)力(li)(li)(li)(li)下仍未(wei)產生變(bian)(bian)化(hua)(hua)。因此(ci)低壓(ya)(ya)(ya)(ya)下,元(yuan)(yuan)(yuan)素(su)擴(kuo)散(san)(san)(san)(san)系(xi)數(shu)隨(sui)壓(ya)(ya)(ya)(ya)力(li)(li)(li)(li)的(de)(de)(de)變(bian)(bian)化(hua)(hua)可忽略不(bu)計。


  的(de)(de)(de)(de)(de)(de)增(zeng)大(da)而降低(di),鉻(ge)元(yuan)素(su)(su)(su)的(de)(de)(de)(de)(de)(de)擴(kuo)散(san)系數則隨(sui)著凝(ning)(ning)(ning)固壓力(li)的(de)(de)(de)(de)(de)(de)增(zeng)大(da)而增(zeng)加(jia),如(ru)圖2-128所示(shi)。即增(zeng)大(da)凝(ning)(ning)(ning)固壓力(li)具有(you)提高奧氏體(ti)γ相中合金(jin)元(yuan)素(su)(su)(su)鉬(mu)、鎢和釩(fan)的(de)(de)(de)(de)(de)(de)擴(kuo)散(san)激(ji)活能ΔGm,降低(di)其擴(kuo)散(san)能力(li)以(yi)及(ji)減(jian)小元(yuan)素(su)(su)(su)鉻(ge)的(de)(de)(de)(de)(de)(de)擴(kuo)散(san)激(ji)活能ΔGm和增(zeng)大(da)其擴(kuo)散(san)能力(li)的(de)(de)(de)(de)(de)(de)作用。與M2C差(cha)別在(zai)于(yu)(yu),在(zai)奧氏體(ti)相γ中,較小的(de)(de)(de)(de)(de)(de)凝(ning)(ning)(ning)固壓力(li)便可發揮比較明(ming)顯(xian)的(de)(de)(de)(de)(de)(de)作用,例如(ru):當凝(ning)(ning)(ning)固壓力(li)大(da)于(yu)(yu)2MPa時,元(yuan)素(su)(su)(su)鉻(ge)的(de)(de)(de)(de)(de)(de)擴(kuo)散(san)系數隨(sui)壓力(li)的(de)(de)(de)(de)(de)(de)增(zeng)加(jia)而明(ming)顯(xian)增(zeng)大(da);鉬(mu)和釩(fan)元(yuan)素(su)(su)(su)則在(zai)10MPa時開始隨(sui)壓力(li)增(zeng)加(jia)而明(ming)顯(xian)減(jian)小。可見,在(zai)相同(tong)溫(wen)度下,相比于(yu)(yu)M2C相,合金(jin)元(yuan)素(su)(su)(su)釩(fan)、鎢、鉬(mu)和鉻(ge)在(zai)奧氏體(ti)γ相中的(de)(de)(de)(de)(de)(de)擴(kuo)散(san)情(qing)況受(shou)凝(ning)(ning)(ning)固壓力(li)的(de)(de)(de)(de)(de)(de)影響(xiang)更為(wei)明(ming)顯(xian)。但在(zai)0.1~2MPa的(de)(de)(de)(de)(de)(de)壓力(li)范圍內,合金(jin)元(yuan)素(su)(su)(su)在(zai)奧氏體(ti)相γ中的(de)(de)(de)(de)(de)(de)擴(kuo)散(san)系數幾乎保持不(bu)變(㎡/s):DMo=1.13214x10-14、Dw=1.23805x10-14、Dv=1.39269x10-14、Dcr=1.18654x10-14,同(tong)時,各元(yuan)素(su)(su)(su)擴(kuo)散(san)激(ji)活能ΔGm也未發生明(ming)顯(xian)變化。


   綜上所述,在低(di)壓(ya)(ya)下,影(ying)響M2C形(xing)核(he)率(lv)的主要因素是隨凝固(gu)壓(ya)(ya)力增(zeng)大而(er)顯(xian)著減小的形(xing)核(he)功。增(zeng)加凝固(gu)壓(ya)(ya)力可顯(xian)著改善(shan)換熱條件強化鑄錠(ding)冷(leng)卻、提高鑄錠(ding)過(guo)冷(leng)度ΔT,進而(er)降(jiang)低(di)共晶反(fan)應過(guo)程中奧氏體(ti)相(xiang)γ和M2C相(xiang)的形(xing)核(he)功ΔG*,最(zui)終增(zeng)大M2C的形(xing)核(he)率(lv)、減小M2C相(xiang)鄰碳化物的間距。


  此外,增加(jia)壓(ya)力使M2C形核率大大增加(jia),同時強化(hua)了(le)鑄錠(ding)冷卻(que),顯著降低了(le)局部凝(ning)固(gu)時間LST,導(dao)(dao)致加(jia)壓(ya)下鑄錠(ding)同位(wei)置(zhi)的(de)凝(ning)固(gu)相對較快,M2C共晶碳(tan)化(hua)物(wu)生(sheng)長(chang)時間變短,導(dao)(dao)致M42凝(ning)固(gu)組(zu)織中M2C碳(tan)化(hua)物(wu)的(de)尺寸減小。這(zhe)對于后續的(de)熱處(chu)理碳(tan)化(hua)物(wu)的(de)溶解具有積(ji)極的(de)意義。


  圖2-129為不同凝固壓力下M2C共晶碳(tan)化(hua)物(wu)(wu)在(zai)熱(re)(re)處理過程(cheng)中(zhong)的(de)元(yuan)素(su)擴散示意(yi)圖。隨著凝固壓力的(de)增(zeng)大,碳(tan)化(hua)物(wu)(wu)由(you)長條狀轉(zhuan)變為短棒狀,在(zai)縱向和(he)橫向上的(de)尺寸(cun)均顯(xian)著減小(xiao)。因此,在(zai)熱(re)(re)處理過程(cheng)中(zhong),碳(tan)化(hua)物(wu)(wu)中(zhong)的(de)元(yuan)素(su)由(you)內向外擴散的(de)平均距離也相應隨著凝固壓力的(de)增(zeng)大而顯(xian)著減小(xiao),熱(re)(re)處理效果(guo)更加明顯(xian),熱(re)(re)處理后M42組織的(de)成(cheng)分更加均勻,進而有(you)利于提(ti)高M42高速(su)鋼的(de)質量。


129.jpg


  b. 碳化物成分


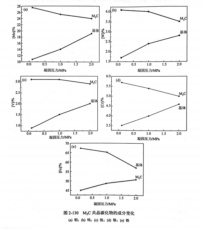
   M2C的(de)(de)(de)(de)形成(cheng)元(yuan)(yuan)(yuan)素(su)(su)主要包(bao)括鉬(mu)、鎢(wu)、釩和(he)鉻,其(qi)中鉬(mu)元(yuan)(yuan)(yuan)素(su)(su)是強M2C碳(tan)(tan)化物形成(cheng)元(yuan)(yuan)(yuan)素(su)(su),也(ye)是M2C中含量最高的(de)(de)(de)(de)合(he)金(jin)元(yuan)(yuan)(yuan)素(su)(su)。圖2-130給出了不同壓(ya)(ya)力下M2C中合(he)金(jin)元(yuan)(yuan)(yuan)素(su)(su)鉬(mu)、鎢(wu)、釩和(he)鉻含量,隨著(zhu)壓(ya)(ya)力的(de)(de)(de)(de)增大,M2C上的(de)(de)(de)(de)合(he)金(jin)元(yuan)(yuan)(yuan)素(su)(su)鉬(mu)、鎢(wu)、釩和(he)鉻含量均逐(zhu)漸減小,而鐵(tie)元(yuan)(yuan)(yuan)素(su)(su)則(ze)逐(zhu)漸增大;同時,M2C碳(tan)(tan)化物之間(jian)基體中合(he)金(jin)元(yuan)(yuan)(yuan)素(su)(su)含量則(ze)呈現相反的(de)(de)(de)(de)規律:鉬(mu)、鎢(wu)、釩和(he)鉻元(yuan)(yuan)(yuan)素(su)(su)含量逐(zhu)漸增大,而鐵(tie)元(yuan)(yuan)(yuan)素(su)(su)減少。這表明,增大的(de)(de)(de)(de)壓(ya)(ya)力使得合(he)金(jin)元(yuan)(yuan)(yuan)素(su)(su)在M2C共晶碳(tan)(tan)化物中的(de)(de)(de)(de)分布(bu)趨(qu)于均勻(yun),為后續的(de)(de)(de)(de)處理(li)、熱加(jia)工(gong)工(gong)藝中碳(tan)(tan)化物的(de)(de)(de)(de)破碎(sui)、溶解(jie)提供良好(hao)的(de)(de)(de)(de)基礎。


130.jpg


  在(zai)高速鋼中,M2C共(gong)晶碳化(hua)(hua)物是通過(guo)凝固過(guo)程(cheng)中的(de)共(gong)晶反(fan)應L→M2C+y產生的(de),在(zai)這個(ge)過(guo)程(cheng)中存在(zai)M2C碳化(hua)(hua)物相和奧(ao)氏體γ相之間的(de)溶(rong)質再分配[172].在(zai)一定(ding)溫度下,平衡分配系(xi)數可表示為固相和液相中的(de)元(yuan)素濃度之比:


131.jpg


   式中(zhong),Cs和CL分別表示在凝(ning)固過程中(zhong),元素在固相(xiang)和液(ye)相(xiang)中(zhong)的平衡(heng)濃度。共晶(jing)反(fan)應L→M2C+y是(shi)在凝(ning)固末期發生的,圖(tu)2-131給出了不同壓力下的M42高速鋼凝(ning)固時共晶(jing)反(fan)應過程中(zhong)M2C碳化物相(xiang)和奧氏(shi)體γ相(xiang)中(zhong)各元素的單相(xiang)平衡(heng)分配(pei)系數。


  式(shi)中,Cs和C1分(fen)別(bie)表示在凝固(gu)(gu)過程(cheng)(cheng)中,元素在固(gu)(gu)相和液(ye)相中的(de)平衡濃度。共晶(jing)反應L→M2C+y是在凝固(gu)(gu)末期發(fa)生的(de)[172,180,181],圖2-131給出(chu)了不同壓力(li)下的(de)M42高(gao)速(su)鋼凝固(gu)(gu)時共晶(jing)反應過程(cheng)(cheng)中M2C碳(tan)化物(wu)相和奧氏(shi)體(ti)y相中各元素的(de)單相平衡分(fen)配系數。


  隨(sui)壓力(li)的(de)(de)(de)(de)增(zeng)加,共(gong)晶反應(ying)(ying)過程(cheng)(cheng)中(zhong)鉬(mu)元素在M2C和(he)奧氏(shi)(shi)體(ti)(ti)γ相(xiang)中(zhong)的(de)(de)(de)(de)分(fen)(fen)配(pei)系(xi)數具有升高的(de)(de)(de)(de)趨勢并(bing)逐漸靠近1.基于(yu)(yu)熱力(li)學分(fen)(fen)析,在M42鑄錠凝固時的(de)(de)(de)(de)共(gong)晶反應(ying)(ying)過程(cheng)(cheng)中(zhong),增(zeng)大壓力(li)可(ke)使(shi)鉬(mu)元素在M2C碳(tan)化(hua)物(wu)相(xiang)和(he)奧氏(shi)(shi)體(ti)(ti)γ相(xiang)中(zhong)的(de)(de)(de)(de)含量增(zeng)大。凝固過程(cheng)(cheng)中(zhong)M2C碳(tan)化(hua)物(wu)相(xiang)和(he)奧氏(shi)(shi)體(ti)(ti)γ相(xiang)中(zhong)的(de)(de)(de)(de)鉬(mu)元素平衡(heng)(heng)分(fen)(fen)配(pei)系(xi)數增(zeng)量變化(hua)規律如圖2-132所示(shi),在0.1MPa、1MPa和(he)2MPa時,M2C碳(tan)化(hua)物(wu)相(xiang)中(zhong)的(de)(de)(de)(de)鉬(mu)元素平衡(heng)(heng)分(fen)(fen)配(pei)系(xi)數增(zeng)量始(shi)終大于(yu)(yu)奧氏(shi)(shi)體(ti)(ti)γ相(xiang)中(zhong)的(de)(de)(de)(de)平衡(heng)(heng)分(fen)(fen)配(pei)系(xi)數增(zeng)量。由此(ci)可(ke)知,共(gong)晶反應(ying)(ying)過程(cheng)(cheng)中(zhong),相(xiang)比于(yu)(yu)奧氏(shi)(shi)體(ti)(ti)γ相(xiang),鉬(mu)元素更偏向于(yu)(yu)在M2C相(xiang)中(zhong)富集。


132.jpg


  在(zai)(zai)0.1~2MPa壓(ya)(ya)力范圍(wei)(wei)內,加壓(ya)(ya)對(dui)Mo元素(su)(su)(su)的平衡(heng)分配(pei)系數(shu)影響(xiang)非常小(xiao)(xiao),變化量(liang)為(wei)10-6~10-5,可(ke)忽略不(bu)(bu)計,因而在(zai)(zai)低壓(ya)(ya)范圍(wei)(wei)內,增加壓(ya)(ya)力不(bu)(bu)能(neng)通過改變元素(su)(su)(su)平衡(heng)分配(pei)系數(shu)而影響(xiang)相(xiang)成分。除平衡(heng)分配(pei)系數(shu)以外,鑄錠凝(ning)(ning)固(gu)(gu)過程中溶(rong)質(zhi)(zhi)的分配(pei)情(qing)況與元素(su)(su)(su)的傳質(zhi)(zhi)行(xing)(xing)為(wei)有關。在(zai)(zai)M42鑄錠凝(ning)(ning)固(gu)(gu)末(mo)期的共晶反應L→M2C+y過程中存(cun)在(zai)(zai)M2C碳化物(wu)相(xiang)和(he)奧氏(shi)體γ相(xiang)之間(jian)的溶(rong)質(zhi)(zhi)再(zai)分配(pei):液(ye)相(xiang)中的M2C形(xing)成元素(su)(su)(su)(鉬、鎢、釩和(he)鉻)通過凝(ning)(ning)固(gu)(gu)前沿固(gu)(gu)/液(ye)界面向(xiang)M2C碳化物(wu)相(xiang)富集(ji),同時奧氏(shi)體γ相(xiang)形(xing)成元素(su)(su)(su)(鈷(gu)、鐵)則向(xiang)奧氏(shi)體相(xiang)富集(ji),整個反應發生在(zai)(zai)凝(ning)(ning)固(gu)(gu)末(mo)期的枝晶間(jian)小(xiao)(xiao)熔池內,此時液(ye)相(xiang)流(liu)動(dong)很弱(ruo),元素(su)(su)(su)對(dui)流(liu)傳質(zhi)(zhi)行(xing)(xing)為(wei)可(ke)忽略,因而溶(rong)質(zhi)(zhi)的分配(pei)主要與相(xiang)中元素(su)(su)(su)的擴(kuo)散(san)傳質(zhi)(zhi)行(xing)(xing)為(wei)有關。


  根(gen)據菲克(ke)第一定律公式(2-178)可知(zhi),擴(kuo)散(san)(san)系(xi)(xi)(xi)(xi)數D與溫(wen)度T呈反比關系(xi)(xi)(xi)(xi)。圖2-133為2MPa下M2C形成元素的(de)(de)擴(kuo)散(san)(san)系(xi)(xi)(xi)(xi)數隨溫(wen)度的(de)(de)變化(hua)(hua)關系(xi)(xi)(xi)(xi)。在凝固壓力不(bu)變時,溫(wen)度的(de)(de)降低(di)會顯著減小(xiao)擴(kuo)散(san)(san)系(xi)(xi)(xi)(xi)數,在低(di)壓范圍內,相對(dui)于(yu)凝固壓力變化(hua)(hua),溫(wen)度變化(hua)(hua)對(dui)擴(kuo)散(san)(san)系(xi)(xi)(xi)(xi)數D具有更明(ming)顯的(de)(de)影響。


  增大壓力(li)具有顯(xian)著強化(hua)(hua)冷卻和(he)減(jian)少鑄(zhu)錠局部(bu)凝(ning)(ning)固(gu)(gu)時(shi)間的(de)(de)作(zuo)用。由此可知,對(dui)于0.1MPa、1MPa和(he)2MPa壓力(li)下(xia)的(de)(de)鑄(zhu)錠凝(ning)(ning)固(gu)(gu)過程,在(zai)相同(tong)的(de)(de)凝(ning)(ning)固(gu)(gu)時(shi)間內,在(zai)較高壓力(li)下(xia)凝(ning)(ning)固(gu)(gu)的(de)(de)鑄(zhu)錠冷卻更快,溫度更低(di),其元素擴(kuo)散系數(shu)則(ze)相對(dui)較低(di),導致元素擴(kuo)散速率減(jian)小(xiao),使得M2C共晶碳化(hua)(hua)物中釩(fan)、鎢、鉻(ge)和(he)鉬(mu)元素含(han)量降低(di),碳化(hua)(hua)物間基體的(de)(de)合(he)金元素含(han)量升高,降低(di)了(le)M2C碳化(hua)(hua)物和(he)奧氏(shi)體γ相之間的(de)(de)成(cheng)分差(cha)異性,提(ti)高了(le)M42凝(ning)(ning)固(gu)(gu)組織(zhi)成(cheng)分的(de)(de)均勻性。


133.jpg

  c. 碳(tan)化物形貌


   M2C碳化物明顯具有(you)各(ge)向(xiang)異性(xing)的生長方(fang)式,形(xing)貌具有(you)小(xiao)平面(mian)向(xiang)的特性(xing)。共(gong)晶(jing)組織的形(xing)貌與共(gong)晶(jing)過程中(zhong)液(ye)/固界面(mian)結構有(you)密切聯系,金屬相(xiang)(xiang)(xiang)(xiang)-金屬碳化物相(xiang)(xiang)(xiang)(xiang)共(gong)晶(jing)屬于小(xiao)平面(mian)相(xiang)(xiang)(xiang)(xiang)-非(fei)小(xiao)平面(mian)相(xiang)(xiang)(xiang)(xiang)共(gong)晶(jing)[146].M2C是(shi)通過凝(ning)固末期枝晶(jing)間(jian)熔池(chi)里(li)的共(gong)晶(jing)反M2C共(gong)晶(jing)碳化物形(xing)成于凝(ning)固末期枝晶(jing)間(jian)殘余液(ye)相(xiang)(xiang)(xiang)(xiang)中(zhong),根據凝(ning)固原(yuan)理。枝晶(jing)間(jian)殘余液(ye)相(xiang)(xiang)(xiang)(xiang)中(zhong)元素含量明顯高于鑄錠標(biao)準含量。不(bu)同壓力下枝晶(jing)間(jian)液(ye)相(xiang)(xiang)(xiang)(xiang)中(zhong)各(ge)相(xiang)(xiang)(xiang)(xiang)出現的先后順序(xu),如圖2-135所示(shi),在不(bu)同壓力下,M2C均領先奧氏體相(xiang)(xiang)(xiang)(xiang)γ出現。這表明,在共(gong)晶(jing)反應L→y+M2C過程中(zhong),M2C是(shi)領先相(xiang)(xiang)(xiang)(xiang)。


135.jpg


  在共(gong)(gong)晶凝固(gu)過程(cheng)中,領先(xian)相(xiang)(xiang)(xiang)M2C的(de)(de)(de)快(kuai)速(su)生(sheng)(sheng)(sheng)長(chang)(chang)方(fang)向率(lv)先(xian)進入共(gong)(gong)生(sheng)(sheng)(sheng)界面(mian)(mian)前方(fang)的(de)(de)(de)液體(ti)(ti)中,同時(shi)在其(qi)附近液層(ceng)中排(pai)出奧(ao)(ao)氏(shi)體(ti)(ti)形(xing)(xing)成(cheng)元(yuan)(yuan)素;隨(sui)后奧(ao)(ao)氏(shi)體(ti)(ti)相(xiang)(xiang)(xiang)γ則依(yi)靠此液層(ceng)獲(huo)得(de)生(sheng)(sheng)(sheng)長(chang)(chang)組元(yuan)(yuan),跟(gen)隨(sui)著M2C一起長(chang)(chang)大(da)(da)(da),同時(shi)也向液層(ceng)中排(pai)出M2C形(xing)(xing)成(cheng)元(yuan)(yuan)素,如圖2-136所示(shi)。隨(sui)著凝固(gu)壓力的(de)(de)(de)增(zeng)(zeng)大(da)(da)(da),凝固(gu)速(su)率(lv)增(zeng)(zeng)加(jia),M2C相(xiang)(xiang)(xiang)和奧(ao)(ao)氏(shi)體(ti)(ti)相(xiang)(xiang)(xiang)γ的(de)(de)(de)生(sheng)(sheng)(sheng)長(chang)(chang)速(su)率(lv)均加(jia)快(kuai)。一方(fang)面(mian)(mian),M2C碳化(hua)物(wu)相(xiang)(xiang)(xiang)鄰間距隨(sui)壓力的(de)(de)(de)增(zeng)(zeng)大(da)(da)(da)逐漸減小,即奧(ao)(ao)氏(shi)體(ti)(ti)相(xiang)(xiang)(xiang)的(de)(de)(de)液/固(gu)界面(mian)(mian)變窄;另一方(fang)面(mian)(mian),加(jia)壓使得(de)枝(zhi)晶間殘余(yu)液相(xiang)(xiang)(xiang)中合金元(yuan)(yuan)素沒有足夠時(shi)間進行充(chong)分(fen)擴(kuo)散;導致奧(ao)(ao)氏(shi)體(ti)(ti)相(xiang)(xiang)(xiang)的(de)(de)(de)液/固(gu)界面(mian)(mian)前沿合金元(yuan)(yuan)素濃(nong)度(du)急劇增(zeng)(zeng)大(da)(da)(da),成(cheng)分(fen)過冷(leng)加(jia)劇,奧(ao)(ao)氏(shi)體(ti)(ti)相(xiang)(xiang)(xiang)長(chang)(chang)大(da)(da)(da)速(su)率(lv)進一步增(zeng)(zeng)大(da)(da)(da),使得(de)M2C相(xiang)(xiang)(xiang)與奧(ao)(ao)氏(shi)體(ti)(ti)相(xiang)(xiang)(xiang)的(de)(de)(de)生(sheng)(sheng)(sheng)長(chang)(chang)速(su)率(lv)差逐漸縮小。此外,奧(ao)(ao)氏(shi)體(ti)(ti)相(xiang)(xiang)(xiang)作(zuo)為(wei)非小平面(mian)(mian)相(xiang)(xiang)(xiang),其(qi)生(sheng)(sheng)(sheng)長(chang)(chang)所需過冷(leng)度(du)遠小于(yu)小平面(mian)(mian)相(xiang)(xiang)(xiang)的(de)(de)(de)M2C碳化(hua)物(wu),使得(de)在凝固(gu)速(su)率(lv)增(zeng)(zeng)大(da)(da)(da)的(de)(de)(de)過程(cheng)中奧(ao)(ao)氏(shi)體(ti)(ti)相(xiang)(xiang)(xiang)的(de)(de)(de)生(sheng)(sheng)(sheng)長(chang)(chang)速(su)率(lv)增(zeng)(zeng)量大(da)(da)(da)于(yu)M2C碳化(hua)物(wu)相(xiang)(xiang)(xiang)的(de)(de)(de)生(sheng)(sheng)(sheng)長(chang)(chang)速(su)率(lv)增(zeng)(zeng)量。因此,隨(sui)著壓力的(de)(de)(de)增(zeng)(zeng)大(da)(da)(da),枝(zhi)晶間共(gong)(gong)晶組織中奧(ao)(ao)氏(shi)體(ti)(ti)相(xiang)(xiang)(xiang)γ的(de)(de)(de)含量相(xiang)(xiang)(xiang)對增(zeng)(zeng)多(duo),使得(de)M2C碳化(hua)物(wu)的(de)(de)(de)生(sheng)(sheng)(sheng)長(chang)(chang)空間受到“排(pai)擠”,含量相(xiang)(xiang)(xiang)對減少,最終M2C碳化(hua)物(wu)逐漸呈現出被奧(ao)(ao)氏(shi)體(ti)(ti)相(xiang)(xiang)(xiang)γ“截(jie)斷”進而變短的(de)(de)(de)形(xing)(xing)貌,如圖2-134所示(shi)。


136.jpg


四、夾雜物分布


   夾雜(za)物(wu)(wu)是影響鋼錠質量(liang)的(de)一個(ge)重要因素。鋼中夾雜(za)物(wu)(wu)主要包括(kuo)冶煉過程中進行脫氧處理形成(cheng)(cheng)的(de)脫氧產物(wu)(wu)、凝固過程元素溶解度下降形成(cheng)(cheng)的(de)氧化(hua)物(wu)(wu)、氮(dan)化(hua)物(wu)(wu)、硫化(hua)物(wu)(wu)等化(hua)合物(wu)(wu)以及爐渣和由于沖刷而進入(ru)鋼液的(de)耐火材料。


   根據夾(jia)(jia)(jia)(jia)(jia)(jia)(jia)雜(za)(za)(za)(za)(za)(za)物(wu)(wu)(wu)(wu)的(de)(de)來源,可(ke)以(yi)將鋼(gang)(gang)(gang)中的(de)(de)夾(jia)(jia)(jia)(jia)(jia)(jia)(jia)雜(za)(za)(za)(za)(za)(za)物(wu)(wu)(wu)(wu)分(fen)(fen)為(wei)兩(liang)類(lei):①外(wai)生(sheng)夾(jia)(jia)(jia)(jia)(jia)(jia)(jia)雜(za)(za)(za)(za)(za)(za)物(wu)(wu)(wu)(wu)。外(wai)生(sheng)夾(jia)(jia)(jia)(jia)(jia)(jia)(jia)雜(za)(za)(za)(za)(za)(za)物(wu)(wu)(wu)(wu)大部分(fen)(fen)為(wei)復合(he)氧(yang)化(hua)物(wu)(wu)(wu)(wu)夾(jia)(jia)(jia)(jia)(jia)(jia)(jia)雜(za)(za)(za)(za)(za)(za),主要是(shi)由于(yu)(yu)鋼(gang)(gang)(gang)液接觸空氣(qi)生(sheng)成(cheng)(cheng)氧(yang)化(hua)物(wu)(wu)(wu)(wu)以(yi)及進入鋼(gang)(gang)(gang)液的(de)(de)爐渣、耐火材料組成(cheng)(cheng)。外(wai)生(sheng)夾(jia)(jia)(jia)(jia)(jia)(jia)(jia)雜(za)(za)(za)(za)(za)(za)物(wu)(wu)(wu)(wu)外(wai)形(xing)不(bu)規(gui)則、尺寸大、構成(cheng)(cheng)復雜(za)(za)(za)(za)(za)(za),常(chang)常(chang)位于(yu)(yu)鋼(gang)(gang)(gang)的(de)(de)表層,具(ju)有(you)嚴重的(de)(de)危害(hai)性。②內生(sheng)夾(jia)(jia)(jia)(jia)(jia)(jia)(jia)雜(za)(za)(za)(za)(za)(za)物(wu)(wu)(wu)(wu)。內生(sheng)夾(jia)(jia)(jia)(jia)(jia)(jia)(jia)雜(za)(za)(za)(za)(za)(za)物(wu)(wu)(wu)(wu)是(shi)由于(yu)(yu)脫氧(yang)、鋼(gang)(gang)(gang)水鈣處理等物(wu)(wu)(wu)(wu)化(hua)反應而形(xing)成(cheng)(cheng)的(de)(de)夾(jia)(jia)(jia)(jia)(jia)(jia)(jia)雜(za)(za)(za)(za)(za)(za)物(wu)(wu)(wu)(wu)。內生(sheng)夾(jia)(jia)(jia)(jia)(jia)(jia)(jia)雜(za)(za)(za)(za)(za)(za)物(wu)(wu)(wu)(wu)在(zai)鋼(gang)(gang)(gang)液中數量較多,分(fen)(fen)布均勻,顆粒細小。由于(yu)(yu)形(xing)成(cheng)(cheng)時間(jian)不(bu)同,內生(sheng)夾(jia)(jia)(jia)(jia)(jia)(jia)(jia)雜(za)(za)(za)(za)(za)(za)物(wu)(wu)(wu)(wu)可(ke)分(fen)(fen)為(wei):鋼(gang)(gang)(gang)液脫氧(yang)時期生(sheng)成(cheng)(cheng)的(de)(de)氧(yang)化(hua)物(wu)(wu)(wu)(wu),也稱為(wei)原生(sheng)夾(jia)(jia)(jia)(jia)(jia)(jia)(jia)雜(za)(za)(za)(za)(za)(za)物(wu)(wu)(wu)(wu)或一次(ci)夾(jia)(jia)(jia)(jia)(jia)(jia)(jia)雜(za)(za)(za)(za)(za)(za)物(wu)(wu)(wu)(wu);溫(wen)度降低造成(cheng)(cheng)化(hua)學反應平衡的(de)(de)移(yi)動進而析出二次(ci)夾(jia)(jia)(jia)(jia)(jia)(jia)(jia)雜(za)(za)(za)(za)(za)(za)物(wu)(wu)(wu)(wu);由于(yu)(yu)溶(rong)質元素偏析和溶(rong)解(jie)度變化(hua)而析出的(de)(de)三次(ci)夾(jia)(jia)(jia)(jia)(jia)(jia)(jia)雜(za)(za)(za)(za)(za)(za)物(wu)(wu)(wu)(wu)甚(shen)至四次(ci)夾(jia)(jia)(jia)(jia)(jia)(jia)(jia)雜(za)(za)(za)(za)(za)(za)物(wu)(wu)(wu)(wu)。


   夾(jia)(jia)雜(za)(za)物(wu)作為(wei)凝(ning)固(gu)組(zu)織(zhi)的(de)重要組(zu)成部分(fen),其特性(xing)至關(guan)(guan)重要,對于進一步(bu)揭示加壓(ya)冶金(jin)(jin)的(de)優勢十(shi)分(fen)關(guan)(guan)鍵。非(fei)金(jin)(jin)屬夾(jia)(jia)雜(za)(za)物(wu)的(de)特性(xing)(數量、尺寸和分(fen)布(bu)等(deng))對鋼(gang)的(de)性(xing)能(neng)(neng)(力(li)(li)(li)學(xue)性(xing)能(neng)(neng)和腐蝕(shi)等(deng))有(you)重要影響(xiang)。同(tong)時,改(gai)(gai)善(shan)鋼(gang)中(zhong)夾(jia)(jia)雜(za)(za)物(wu)的(de)分(fen)布(bu)情況并盡可(ke)能(neng)(neng)徹底地(di)去除非(fei)金(jin)(jin)屬夾(jia)(jia)雜(za)(za)物(wu)可(ke)以(yi)有(you)效地(di)減少缺陷(xian)和提高(gao)性(xing)能(neng)(neng)。為(wei)了改(gai)(gai)善(shan)夾(jia)(jia)雜(za)(za)物(wu)的(de)分(fen)布(bu),施加在(zai)夾(jia)(jia)雜(za)(za)物(wu)上的(de)力(li)(li)(li)包括重力(li)(li)(li)、浮力(li)(li)(li)、曳力(li)(li)(li),附加質(zhi)量力(li)(li)(li)、升力(li)(li)(li)和反彈力(li)(li)(li)等(deng)起著關(guan)(guan)鍵作用。這些力(li)(li)(li)主要是通(tong)過(guo)溫度(du)、流場(chang)、重力(li)(li)(li)場(chang)和電磁(ci)場(chang)等(deng)物(wu)理場(chang)來(lai)確定。因此,可(ke)以(yi)通(tong)過(guo)采取一系列措施優化物(wu)理場(chang)來(lai)改(gai)(gai)善(shan)夾(jia)(jia)雜(za)(za)物(wu)分(fen)布(bu)。例如,鋼(gang)包中(zhong)使用的(de)氣(qi)體攪拌、連鑄過(guo)程(cheng)中(zhong)添(tian)加磁(ci)場(chang)。對于加壓(ya)冶金(jin)(jin),壓(ya)力(li)(li)(li)是關(guan)(guan)鍵因素(su)。目前,已(yi)經(jing)證(zheng)實加壓(ya)會在(zai)各個方面影響(xiang)凝(ning)固(gu)過(guo)程(cheng)中(zhong)的(de)物(wu)理場(chang),包括加壓(ya)通(tong)過(guo)加快鑄錠的(de)冷卻速率和加強鑄錠與鑄模之間(jian)的(de)熱交(jiao)換來(lai)改(gai)(gai)變溫度(du)場(chang),通(tong)過(guo)改(gai)(gai)變糊狀區域(yu)的(de)大小(xiao)和枝晶結構(gou)影響(xiang)流場(chang)等(deng)。


   因此,可以認為(wei)在凝(ning)(ning)固(gu)過程中壓(ya)力(li)(li)具有(you)改變夾(jia)雜物分布(bu)的能力(li)(li),并且壓(ya)力(li)(li)對夾(jia)雜物分布(bu)的影(ying)響(xiang)機制非(fei)常(chang)復(fu)雜,然而,關于加(jia)壓(ya)對夾(jia)雜物分布(bu)變化的影(ying)響(xiang)研究相對較少。這(zhe)表明加(jia)壓(ya)對凝(ning)(ning)固(gu)組織的影(ying)響(xiang)機理尚未全(quan)面闡明。


 1. 夾(jia)雜物分布分析模型


   在實(shi)際凝固過(guo)程(cheng)中,夾雜(za)物(wu)(wu)的(de)(de)受力情(qing)況、運(yun)動(dong)軌跡很(hen)難通(tong)過(guo)實(shi)驗進行測量。數(shu)值模擬(ni)(ni)提供(gong)了一種(zhong)可以深入了解某些無(wu)法通(tong)過(guo)實(shi)驗評估的(de)(de)現象的(de)(de)方(fang)法。這些現象包括夾雜(za)物(wu)(wu)的(de)(de)運(yun)動(dong)軌跡,作用于夾雜(za)物(wu)(wu)的(de)(de)力和(he)夾雜(za)物(wu)(wu)的(de)(de)速度等。根據(ju)電(dian)渣、連鑄和(he)鋼包精煉等過(guo)程(cheng)中的(de)(de)相關研究,數(shu)值模擬(ni)(ni)是一種(zhong)非(fei)常(chang)有效的(de)(de)研究夾雜(za)物(wu)(wu)運(yun)動(dong)行為的(de)(de)方(fang)法。


   鋼(gang)液凝(ning)固過程涉(she)及熱(re)量(liang)傳遞、質量(liang)傳輸、動量(liang)傳輸、相(xiang)(xiang)轉變和晶粒形核(he)長大(da)等(deng)一系列復雜的(de)(de)物(wu)理化學(xue)現象(xiang),同時存在金(jin)屬固相(xiang)(xiang)、金(jin)屬液相(xiang)(xiang)、氣相(xiang)(xiang)和夾雜物(wu)相(xiang)(xiang)等(deng)多(duo)(duo)個相(xiang)(xiang)之間(jian)的(de)(de)相(xiang)(xiang)互作用(yong),適合應(ying)用(yong)歐拉(la)(la)(la)多(duo)(duo)項(xiang)流模(mo)型進行計算(suan)求解(jie)。其(qi)中,根據對夾雜物(wu)運動行為處理方式,夾雜物(wu)分布分析模(mo)型可以(yi)分為歐拉(la)(la)(la)-拉(la)(la)(la)格朗日模(mo)型和歐拉(la)(la)(la)-歐拉(la)(la)(la)模(mo)型。


 a. 歐拉-拉格朗日模(mo)型歐拉-


   拉格朗日離(li)散(san)(san)相(xiang)(xiang)模(mo)(mo)(mo)型是(shi)在歐(ou)拉模(mo)(mo)(mo)型的(de)(de)基礎(chu)上,將(jiang)夾雜(za)物(wu)(wu)相(xiang)(xiang)處(chu)理成離(li)散(san)(san)相(xiang)(xiang),而流體(ti)(ti)相(xiang)(xiang)處(chu)理為連續相(xiang)(xiang)。根(gen)據球型夾雜(za)物(wu)(wu)的(de)(de)受力(li)分(fen)析(xi),基于牛頓(dun)第二定律,建立夾雜(za)物(wu)(wu)運(yun)(yun)動(dong)(dong)模(mo)(mo)(mo)型,并與鋼液凝固(gu)模(mo)(mo)(mo)型耦合,從而模(mo)(mo)(mo)擬夾雜(za)物(wu)(wu)在凝固(gu)過程(cheng)運(yun)(yun)動(dong)(dong)行為。該模(mo)(mo)(mo)型可以跟蹤每個夾雜(za)物(wu)(wu)顆(ke)粒并獲得其速度、運(yun)(yun)動(dong)(dong)軌(gui)跡以及夾雜(za)物(wu)(wu)去除(chu)過程(cheng)中的(de)(de)動(dong)(dong)力(li)學行為。此外,該模(mo)(mo)(mo)型是(shi)基于離(li)散(san)(san)相(xiang)(xiang)體(ti)(ti)積比例相(xiang)(xiang)對較低的(de)(de)基本假(jia)設而建立。


   夾雜(za)(za)物在(zai)鋼液中(zhong)的運動(dong),主要是(shi)各種力(li)的共同(tong)作用(yong)造(zao)成(cheng)的。夾雜(za)(za)物在(zai)鋼液中(zhong)受(shou)(shou)力(li)情況如圖2-137所示。可以(yi)看出(chu),夾雜(za)(za)物顆(ke)粒(li)受(shou)(shou)到主要作用(yong)力(li)分別為:由(you)于顆(ke)粒(li)自身性質(zhi)引起的力(li),如重力(li)、浮(fu)力(li)等(deng);由(you)于顆(ke)粒(li)與(yu)流體之間存在(zai)相對運動(dong)而產生的力(li),如升力(li)(Saffman)、附(fu)加(jia)質(zhi)量力(li)、曳力(li)和Magnus力(li)等(deng);細小夾雜(za)(za)物在(zai)高溫條件下受(shou)(shou)的布朗(Brown)力(li)等(deng)。


(1)曳力。


   在鋼液流場內黏性流體與顆粒之間存(cun)在相對運動(dong),由黏性流體施加的曳力(li)使得夾雜(za)物(wu)顆粒趨向于跟隨流體運動(dong)。曳力(li)是夾雜(za)物(wu)顆粒在凝固過程中的主要(yao)受力(li)之一。計算公式如下:


137.jpg


(2)浮力(li)(li)和重(zhong)力(li)(li)。


   在(zai)豎(shu)直方向(xiang)上,夾雜物(wu)顆粒受到與相對運動無關的力,包括重(zhong)力和(he)浮力,其(qi)


式 206.jpg



(3)附加質量力。


   當(dang)鋼(gang)液與夾(jia)雜物(wu)(wu)顆(ke)粒(li)(li)存在相對運動(dong)(dong)時,夾(jia)雜物(wu)(wu)顆(ke)粒(li)(li)會帶動(dong)(dong)其附近(jin)的(de)部(bu)分(fen)鋼(gang)液做加速運動(dong)(dong),此(ci)時推動(dong)(dong)夾(jia)雜物(wu)(wu)顆(ke)粒(li)(li)運動(dong)(dong)的(de)力(li)(li)大于(yu)其顆(ke)粒(li)(li)本身慣性力(li)(li),這部(bu)分(fen)大于(yu)夾(jia)雜物(wu)(wu)顆(ke)粒(li)(li)本身慣性力(li)(li)的(de)力(li)(li)即為附加質量力(li)(li)。其計(ji)算公式為


式 210.jpg


  通過運用歐(ou)拉(la)-拉(la)格朗日模(mo)型對(dui)鋼(gang)(gang)液凝固過程進行模(mo)擬計算(suan)時,可以得出隨著溫度場和流場的(de)變化(hua),每(mei)個球形夾雜物顆粒在(zai)鋼(gang)(gang)液中的(de)運動軌跡(ji)和分(fen)布。



 b. 歐拉-歐拉模型


   拉(la)(la)格(ge)(ge)朗(lang)日(ri)模(mo)(mo)型(xing)(xing)是研究夾(jia)(jia)雜物(wu)顆粒在(zai)鋼液中(zhong)(zhong)運(yun)動行(xing)為(wei)主要的方(fang)(fang)法,但在(zai)實際的應用中(zhong)(zhong)存(cun)在(zai)一些不(bu)足,例(li)如(ru),拉(la)(la)格(ge)(ge)朗(lang)日(ri)模(mo)(mo)型(xing)(xing)是針(zhen)對單一粒子(zi)進行(xing)計(ji)算(suan),當(dang)同(tong)時追蹤多個(ge)粒子(zi)時,計(ji)算(suan)量過(guo)大,難以(yi)進行(xing)。相(xiang)(xiang)較(jiao)于拉(la)(la)格(ge)(ge)朗(lang)日(ri)模(mo)(mo)型(xing)(xing),歐(ou)(ou)拉(la)(la)-歐(ou)(ou)拉(la)(la)模(mo)(mo)型(xing)(xing)中(zhong)(zhong)夾(jia)(jia)雜物(wu)相(xiang)(xiang)的控(kong)制(zhi)方(fang)(fang)程(cheng)與流體連續(xu)相(xiang)(xiang)的控(kong)制(zhi)方(fang)(fang)程(cheng)相(xiang)(xiang)似,運(yun)算(suan)相(xiang)(xiang)對高效,能夠同(tong)時描述(shu)多種夾(jia)(jia)雜物(wu)顆粒在(zai)凝固過(guo)程(cheng)中(zhong)(zhong)的分布(bu)特(te)征。歐(ou)(ou)拉(la)(la)-歐(ou)(ou)拉(la)(la)模(mo)(mo)型(xing)(xing)與歐(ou)(ou)拉(la)(la)-拉(la)(la)格(ge)(ge)朗(lang)日(ri)模(mo)(mo)型(xing)(xing)相(xiang)(xiang)比,主要差(cha)別是夾(jia)(jia)雜物(wu)相(xiang)(xiang)的動量方(fang)(fang)程(cheng)存(cun)在(zai)差(cha)別,歐(ou)(ou)拉(la)(la)-歐(ou)(ou)拉(la)(la)模(mo)(mo)型(xing)(xing)的夾(jia)(jia)雜物(wu)動量方(fang)(fang)程(cheng)表達式為(wei)

式 217.jpg

 2. 模鑄過程中夾(jia)雜(za)物的受力分析


  模鑄過程中,夾雜物所受(shou)作(zuo)用力包括熱浮力、重(zhong)力、附加質量(liang)力、升(sheng)力以及(ji)相間作(zuo)用力等,具體受(shou)力情(qing)況(kuang)如圖2-138所示(shi)。


138.jpg

   流(liu)(liu)場(chang)對夾雜(za)(za)物(wu)(wu)(wu)的(de)(de)(de)(de)(de)分布有關鍵(jian)影響,這直接歸因(yin)(yin)于作用(yong)于夾雜(za)(za)物(wu)(wu)(wu)的(de)(de)(de)(de)(de)阻(zu)力(li)(li)。以(yi)0.1MPa下H13鑄錠凝(ning)固為(wei)例(li),鋼(gang)液(ye)、夾雜(za)(za)物(wu)(wu)(wu)和(he)(he)等軸晶(jing)的(de)(de)(de)(de)(de)流(liu)(liu)場(chang)和(he)(he)速率均顯示在(zai)圖(tu)(tu)2-139中。隨著凝(ning)固的(de)(de)(de)(de)(de)進行(xing),鋼(gang)液(ye)受熱浮力(li)(li)的(de)(de)(de)(de)(de)驅動逆時針運動,如圖(tu)(tu)2-139(a)所示。同時,隨著重(zhong)力(li)(li)和(he)(he)浮力(li)(li)合力(li)(li)的(de)(de)(de)(de)(de)增加(jia),等軸晶(jing)的(de)(de)(de)(de)(de)沉降(jiang)連(lian)續(xu)發(fa)生(sheng)在(zai)柱(zhu)狀晶(jing)(tip)的(de)(de)(de)(de)(de)尖(jian)端,如圖(tu)(tu)2-139(b)所示。如圖(tu)(tu)2-139(c)所示,夾雜(za)(za)物(wu)(wu)(wu)流(liu)(liu)場(chang)中出現逆時針運動,與鋼(gang)液(ye)相似。這種運動行(xing)為(wei)主要是由作用(yong)在(zai)夾雜(za)(za)物(wu)(wu)(wu)上的(de)(de)(de)(de)(de)合力(li)(li)引起的(de)(de)(de)(de)(de)。根據模擬(ni)結果,凝(ning)固過程中重(zhong)力(li)(li),浮力(li)(li)和(he)(he)阻(zu)力(li)(li)在(zai)改(gai)變夾雜(za)(za)物(wu)(wu)(wu)的(de)(de)(de)(de)(de)運動行(xing)為(wei)中起著關鍵(jian)作用(yong),因(yin)(yin)為(wei)它(ta)們比附加(jia)質量力(li)(li)和(he)(he)升力(li)(li)大了(le)三個數量級。重(zhong)力(li)(li)和(he)(he)浮力(li)(li)的(de)(de)(de)(de)(de)方(fang)向(xiang)均為(wei)垂直方(fang)向(xiang),因(yin)(yin)為(wei)夾雜(za)(za)物(wu)(wu)(wu)的(de)(de)(de)(de)(de)密度低于液(ye)體(ti)的(de)(de)(de)(de)(de)密度,故其合力(li)(li)Fbg的(de)(de)(de)(de)(de)方(fang)向(xiang)垂直向(xiang)上,如圖(tu)(tu)2-139(d)所示。


139.jpg


   在(zai)整(zheng)個凝固過(guo)程(cheng)中,Fbg保(bao)持不(bu)變,并使夾(jia)(jia)雜(za)(za)物(wu)(wu)(wu)上浮。相比之下,曳力(li)Fdp是向下的(de)(de)力(li),具有(you)驅(qu)動夾(jia)(jia)雜(za)(za)物(wu)(wu)(wu)向下沉(chen)的(de)(de)能力(li)。并且其(qi)變化是復雜(za)(za)的(de)(de)。根據等式(2-204)可知,曳力(li)與(yu)鋼(gang)液和(he)(he)夾(jia)(jia)雜(za)(za)物(wu)(wu)(wu)之間(jian)的(de)(de)速度差密切相關。在(zai)頂部(bu)和(he)(he)底部(bu),鋼(gang)液和(he)(he)夾(jia)(jia)雜(za)(za)物(wu)(wu)(wu)速度差很小(xiao),與(yu)Fbg相比,Fdp可以忽略(lve)不(bu)計。在(zai)柱狀晶尖(jian)端附(fu)近(jin)的(de)(de)曳力(li)Fdp大于(yu)Fbg,是導致夾(jia)(jia)雜(za)(za)物(wu)(wu)(wu)下沉(chen)的(de)(de)關鍵因素。在(zai)鑄錠的(de)(de)中心(xin),Fdp小(xiao)于(yu)Fbg,Fbg占(zhan)主導,促使夾(jia)(jia)雜(za)(za)物(wu)(wu)(wu)上浮。因此,模鑄過(guo)程(cheng)中夾(jia)(jia)雜(za)(za)物(wu)(wu)(wu)形成逆時針運動,這主要是由重力(li)、浮力(li)和(he)(he)曳力(li)的(de)(de)綜合作用所驅(qu)動。


 3. 模鑄過程中壓力對夾雜物分布(bu)的(de)影響


   利用歐拉-歐拉模型在(zai)0.1MPa、1MPa和(he)2MPa下獲得了H13鑄(zhu)錠(ding)夾(jia)(jia)雜(za)物(wu)(wu)體積(ji)分(fen)數的等值線(xian),如(ru)圖(tu)2-140所(suo)(suo)示(shi)。每個鑄(zhu)錠(ding)中(zhong)(zhong)都(dou)存在(zai)三(san)個主要(yao)的夾(jia)(jia)雜(za)物(wu)(wu)富(fu)集(ji)區(qu)(qu)(I、和(he)III),其中(zhong)(zhong),II區(qu)(qu)夾(jia)(jia)雜(za)物(wu)(wu)的富(fu)集(ji)度最低,III區(qu)(qu)的夾(jia)(jia)雜(za)物(wu)(wu)富(fu)集(ji)度最高,I區(qu)(qu)次(ci)之。三(san)個夾(jia)(jia)雜(za)物(wu)(wu)富(fu)集(ji)區(qu)(qu)域(yu)主要(yao)由夾(jia)(jia)雜(za)物(wu)(wu)逆時針運動以及被糊(hu)狀區(qu)(qu)捕(bu)(bu)集(ji)的綜合作用所(suo)(suo)導(dao)致。以0.1MPa 壓力(li)下夾(jia)(jia)雜(za)物(wu)(wu)分(fen)布為例(li),遠離糊(hu)狀區(qu)(qu)的夾(jia)(jia)雜(za)物(wu)(wu)在(zai)逆時針運動過程(cheng)中(zhong)(zhong)逐漸上浮并(bing)富(fu)集(ji)到鑄(zhu)錠(ding)頂部(bu),如(ru)圖(tu) 2-140(c)所(suo)(suo)示(shi)。鑄(zhu)錠(ding)頂部(bu)富(fu)集(ji)的夾(jia)(jia)雜(za)物(wu)(wu)一部(bu)分(fen)被糊(hu)狀區(qu)(qu)捕(bu)(bu)獲,形(xing)成(cheng)(cheng)了I區(qu)(qu),其余部(bu)分(fen)沿逆時針方(fang)向(xiang)移動,運動方(fang)向(xiang)幾乎垂直于(yu)糊(hu)狀區(qu)(qu)法向(xiang)量(liang)。與之相比,在(zai)II和(he)III區(qu)(qu)域(yu)內,夾(jia)(jia)雜(za)物(wu)(wu)運動方(fang)向(xiang)與糊(hu)狀區(qu)(qu)法向(xiang)量(liang)成(cheng)(cheng)鈍角,因(yin)而夾(jia)(jia)雜(za)物(wu)(wu)更加趨(qu)向(xiang)于(yu)被II和(he)III區(qu)(qu)域(yu)內糊(hu)狀區(qu)(qu)所(suo)(suo)捕(bu)(bu)獲,如(ru)圖(tu)2-141所(suo)(suo)示(shi),導(dao)致夾(jia)(jia)雜(za)物(wu)(wu)富(fu)集(ji)區(qu)(qu)II和(he)III的形(xing)成(cheng)(cheng)。同時,III區(qu)(qu)夾(jia)(jia)雜(za)物(wu)(wu)的富(fu)集(ji)程(cheng)度最高,原因(yin)是糊(hu)狀區(qu)(qu)較寬,糊(hu)狀區(qu)(qu)夾(jia)(jia)雜(za)物(wu)(wu)捕(bu)(bu)獲能(neng)力(li)越強,富(fu)集(ji)趨(qu)勢更明顯(xian)。


140.jpg


   隨著壓力(li)從(cong)0.1MPa增加到(dao)2MPa,I、II和III區夾雜(za)物的(de)(de)(de)富集度(du)降低,如2-140(b)所(suo)示,夾雜(za)物體積分數的(de)(de)(de)最大增量 4max隨壓力(li)的(de)(de)(de)增加而(er)減小,在0.1MPa、1MPa和2MPa下(xia)分別為4.1x10-5、3.5x10-5和1.8x10-5,表明隨著凝固(gu)壓力(li)增加至2MPa,鑄錠中夾雜(za)物分布(bu)更加均(jun)勻。


   糊(hu)狀區捕獲夾雜物(wu)和夾雜物(wu)從糊(hu)狀區逃脫的能力(li)(li)(li)對夾雜物(wu)分布至關重要(yao)(yao)。結合液相線(xian)/固相線(xian)溫度(du)隨壓(ya)(ya)(ya)力(li)(li)(li)的變(bian)化規律可知,凝(ning)固區間變(bian)化很(hen)小,當壓(ya)(ya)(ya)力(li)(li)(li)從0.1MPa增(zeng)加(jia)到2MPa時可以忽略不計。因(yin)此,糊(hu)狀區寬度(du)主要(yao)(yao)由(you)溫度(du)梯度(du)決定(ding)。如圖2-142(b)所示(shi),由(you)于增(zeng)加(jia)壓(ya)(ya)(ya)力(li)(li)(li)后(hou)提高了冷卻速率(lv)導致高壓(ya)(ya)(ya)下溫度(du)梯度(du)更大(da)。在(zai)較(jiao)(jiao)高壓(ya)(ya)(ya)力(li)(li)(li)下,糊(hu)狀區域的長度(du)變(bian)短[150].另外,以圖2-142(a)中(zhong)的A點為例,凝(ning)固時間隨壓(ya)(ya)(ya)力(li)(li)(li)的增(zeng)加(jia)而(er)顯(xian)著減少,在(zai)0.1MPa、1MPa和2MPa下分別為292s、272s和247s,凝(ning)固速率(lv)隨壓(ya)(ya)(ya)力(li)(li)(li)的增(zeng)加(jia)而(er)增(zeng)加(jia)。進而(er)表(biao)明(ming),在(zai)較(jiao)(jiao)高的凝(ning)固壓(ya)(ya)(ya)力(li)(li)(li)下糊(hu)狀區的長度(du)較(jiao)(jiao)小且凝(ning)固速率(lv)較(jiao)(jiao)高,因(yin)此糊(hu)狀區捕獲夾雜物(wu)的能力(li)(li)(li)變(bian)弱。


141.jpg


   A、B和C點(dian)夾(jia)雜物(wu)(wu)速度(du)(du)隨液相體積分(fen)數的(de)(de)(de)變(bian)(bian)化如圖(tu)2-143所示。高溫度(du)(du)梯度(du)(du)通過增大(da)熱(re)浮力來(lai)強(qiang)化鋼液對流(liu)。另外,研(yan)究了糊(hu)狀(zhuang)(zhuang)(zhuang)區中夾(jia)雜物(wu)(wu)的(de)(de)(de)速度(du)(du)隨曳力改(gai)的(de)(de)(de)相應(ying)變(bian)(bian)化。凝固(gu)初(chu)期,糊(hu)狀(zhuang)(zhuang)(zhuang)區中的(de)(de)(de)夾(jia)雜物(wu)(wu)運動速度(du)(du)隨著(zhu)壓(ya)(ya)力的(de)(de)(de)增加而增大(da),在凝固(gu)后期,糊(hu)狀(zhuang)(zhuang)(zhuang)區內夾(jia)雜物(wu)(wu)幾乎(hu)完全(quan)停止(zhi)運動時液相體積分(fen)數隨著(zhu)壓(ya)(ya)力的(de)(de)(de)增加而降低(di)。以點(dian)A為例(li),凝固(gu)初(chu)期(f=0.98),在0.1MPa、1MPa和2MPa下(xia)夾(jia)雜物(wu)(wu)速度(du)(du)分(fen)別為1.06×10-3m/s、1.19×10-3m/s和1.52×10-3m/s.當糊(hu)狀(zhuang)(zhuang)(zhuang)區夾(jia)雜物(wu)(wu)的(de)(de)(de)速度(du)(du)降低(di)到5x10-5m/s時,0.1MPa、1MPa和2MPa下(xia)的(de)(de)(de)液相體積分(fen)數分(fen)別為0.74、0.68和0.62.這意(yi)味著(zhu)夾(jia)雜物(wu)(wu)從糊(hu)狀(zhuang)(zhuang)(zhuang)區逸(yi)出的(de)(de)(de)能力隨壓(ya)(ya)力增加而增強(qiang)。


143.jpg


   綜上所述(shu),增加壓力(li)可以顯著抑制(zhi)糊狀區(qu)(qu)中(zhong)夾(jia)(jia)雜(za)物(wu)的富集,并通過降低(di)糊狀區(qu)(qu)捕(bu)獲夾(jia)(jia)雜(za)物(wu)的能力(li),提高夾(jia)(jia)雜(za)物(wu)從(cong)糊狀區(qu)(qu)中(zhong)逸出的能力(li),使鑄(zhu)錠內夾(jia)(jia)雜(za)物(wu)分布(bu)更加均勻。




聯系方式.jpg