不銹(xiu)鋼管漏磁檢測中,缺陷的位置信息與檢測信號波形特征之間并不存在一對一的映射關系。通過信號波形特征對缺陷的位置進行識別存在一定的不確定性。檢測信號的波形特征會受到很多因素干擾,如何排除各種因素的干擾,是保證各種區分方法準確性的關鍵。這里介紹一種基于數字信號差分的區分方法。



一、漏磁場的正交(jiao)分量(liang)


  漏(lou)磁場(chang)(chang)具有矢量(liang)(liang)(liang)特性,當(dang)采用霍爾元(yuan)件作(zuo)為磁敏感元(yuan)件時,通(tong)過設計(ji)元(yuan)件的(de)(de)布置方向(xiang)(xiang),可以(yi)(yi)獲得漏(lou)磁場(chang)(chang)的(de)(de)兩個相互正交(jiao)的(de)(de)分(fen)(fen)量(liang)(liang)(liang),即法向(xiang)(xiang)分(fen)(fen)量(liang)(liang)(liang)Vn(x)與切向(xiang)(xiang)分(fen)(fen)量(liang)(liang)(liang)V1(x))。沿(yan)著檢測(ce)探頭的(de)(de)掃查(cha)軌跡(ji)方向(xiang)(xiang),在與檢測(ce)表面垂直(zhi)的(de)(de)平(ping)面內觀(guan)察(cha),可以(yi)(yi)將三維空間場(chang)(chang)簡(jian)化為二維場(chang)(chang),進一步(bu)可分(fen)(fen)別研究漏(lou)磁場(chang)(chang)法向(xiang)(xiang)分(fen)(fen)量(liang)(liang)(liang)Vn(x)與切向(xiang)(xiang)分(fen)(fen)量(liang)(liang)(liang)VV1(x))的(de)(de)分(fen)(fen)布情(qing)況,這(zhe)樣可以(yi)(yi)完備描述(shu)漏(lou)磁場(chang)(chang)的(de)(de)矢量(liang)(liang)(liang)分(fen)(fen)布特征。而(er)單(dan)方面考察(cha)一個分(fen)(fen)量(liang)(liang)(liang)常常不足以(yi)(yi)對(dui)漏(lou)磁場(chang)(chang)進行準(zhun)確、充分(fen)(fen)地描述(shu)。


  選用外徑為88.9mm,壁厚為9.35mm的不銹鋼管,利用電火花加工方式制作內、外部缺陷。采用直流磁化線圈提供軸向磁化,磁敏感元件選用兩個集成霍爾元件,在空間上呈相互垂直的角度擺放,分別檢測不銹(xiu)鋼管中人工缺陷漏磁場的法向分量Va(x)與切向分量V1(x),信號波形如圖4-20和圖4-21所示。



  如(ru)果單(dan)獨(du)利用(yong)切(qie)向或法(fa)向分(fen)量(liang)(liang)的(de)(de)(de)檢測信(xin)(xin)號波形(xing)(xing)特征對(dui)缺(que)陷形(xing)(xing)態進(jin)行評判,則(ze)丟失了兩者關(guan)聯性對(dui)缺(que)陷評判的(de)(de)(de)作(zuo)用(yong),為此(ci),必須綜合利用(yong)內、外(wai)部缺(que)陷檢測信(xin)(xin)號的(de)(de)(de)切(qie)向分(fen)量(liang)(liang)與(yu)法(fa)向分(fen)量(liang)(liang)。從漏磁(ci)檢測拾(shi)取(qu)本質過(guo)程來(lai)看(kan),通過(guo)多(duo)元(yuan)件布置不可(ke)能在(zai)空間(jian)某一點(dian)對(dui)漏磁(ci)場進(jin)行各分(fen)量(liang)(liang)信(xin)(xin)息的(de)(de)(de)同步拾(shi)取(qu),因為多(duo)個磁(ci)敏(min)感元(yuan)件所(suo)處的(de)(de)(de)空間(jian)檢測點(dian)并(bing)不能完全重合,而且會增加傳感器系統的(de)(de)(de)復雜性。因此(ci),通過(guo)精確構造(zao)能夠拾(shi)取(qu)漏磁(ci)場正(zheng)交分(fen)量(liang)(liang)的(de)(de)(de)辦法(fa)比較(jiao)困(kun)難。這里介(jie)紹一種正(zheng)交變換的(de)(de)(de)方法(fa),可(ke)對(dui)檢測信(xin)(xin)號本身(shen)進(jin)行特征考察。


  差(cha)分(fen)處(chu)理(li)是正交變換的(de)一種,從差(cha)分(fen)處(chu)理(li)的(de)功(gong)能來(lai)看,對(dui)缺陷(xian)漏磁場某一分(fen)量檢測信(xin)號進行二階差(cha)分(fen)處(chu)理(li)之后,可(ke)(ke)以(yi)得到與原始檢測信(xin)號近(jin)似映像關系(xi)的(de)輸出量,從而(er)使得兩(liang)者在(zai)波(bo)形特征(zheng)上具有了(le)可(ke)(ke)參照、可(ke)(ke)對(dui)比的(de)特征(zheng)參數,如峰-峰值(zhi)。這樣一來(lai),可(ke)(ke)以(yi)提(ti)取同(tong)一檢測點的(de)空間多(duo)維度信(xin)息,并(bing)保證了(le)信(xin)息量均來(lai)源于同(tong)一空間檢測點。



二(er)、數字信(xin)號的差分(fen)處理分(fen)析


  缺陷(xian)產生(sheng)的(de)漏磁檢測(ce)信號是一種有(you)限(xian)的(de)數值序列(lie),它反映(ying)著(zhu)檢測(ce)空(kong)間內漏磁場強度沿著(zhu)掃查(cha)路徑方(fang)向上(shang)的(de)變(bian)化情況,間接反映(ying)了缺陷(xian)的(de)形(xing)態(tai)特征。以(yi)檢測(ce)路徑x為(wei)(wei)自變(bian)量(liang),以(yi)采(cai)樣點得到(dao)的(de)物理量(liang)具體數值為(wei)(wei)縱坐標,按各(ge)空(kong)間點的(de)檢測(ce)順(shun)序排列(lie)起來(lai),在顯示(shi)設(she)備上(shang)形(xing)成可用于(yu)分析的(de)信號波形(xing)。


  實際上,數字信(xin)號處理技術被廣泛應(ying)用于檢測信(xin)號的(de)模式識(shi)別(bie)(bie)。部(bu)分研究人員采用投影算(suan)法,在不增加分析軟件計算(suan)量的(de)同時(shi),提(ti)高了漏(lou)磁檢測的(de)信(xin)噪比,初(chu)步實現了同類(lei)型(xing)(xing)缺陷(xian)的(de)位置特(te)征(zheng)識(shi)別(bie)(bie)。但從本質來看,該方法仍未脫離根(gen)據信(xin)號波形(xing)特(te)征(zheng)進行類(lei)型(xing)(xing)劃分的(de)范疇,容易受到其他因素(su)的(de)干(gan)擾,對形(xing)態特(te)征(zheng)隨機性較強的(de)自然缺陷(xian)適應(ying)性較差。


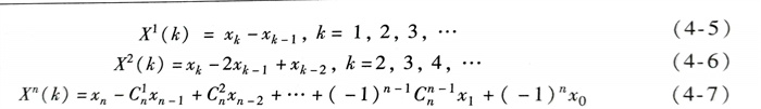
  對時域離散信(xin)(xin)(xin)號(hao)(hao)(hao)進行數字差(cha)分(fen)(fen)處(chu)理(li),可以有效地消(xiao)去(qu)檢(jian)(jian)測(ce)(ce)信(xin)(xin)(xin)號(hao)(hao)(hao)中的趨(qu)勢項,提高(gao)信(xin)(xin)(xin)號(hao)(hao)(hao)的信(xin)(xin)(xin)噪比(bi)。由于內、外(wai)部缺陷(xian)(xian)檢(jian)(jian)測(ce)(ce)信(xin)(xin)(xin)號(hao)(hao)(hao)的頻(pin)率段不同,部分(fen)(fen)學者提出對模擬檢(jian)(jian)測(ce)(ce)信(xin)(xin)(xin)號(hao)(hao)(hao)采用一(yi)階差(cha)分(fen)(fen)處(chu)理(li)的方(fang)法,經過差(cha)分(fen)(fen)處(chu)理(li)之(zhi)后的信(xin)(xin)(xin)號(hao)(hao)(hao)波(bo)形可以提高(gao)內、外(wai)部缺陷(xian)(xian)檢(jian)(jian)測(ce)(ce)信(xin)(xin)(xin)號(hao)(hao)(hao)的差(cha)異程度。但其(qi)評(ping)判(pan)規則仍是(shi)以內、外(wai)部缺陷(xian)(xian)信(xin)(xin)(xin)號(hao)(hao)(hao)的波(bo)形特征為依據的,只不過用于對比(bi)的波(bo)形是(shi)經過一(yi)次(ci)差(cha)分(fen)(fen)處(chu)理(li)之(zhi)后得到的,雖然提高(gao)了檢(jian)(jian)測(ce)(ce)信(xin)(xin)(xin)號(hao)(hao)(hao)的信(xin)(xin)(xin)噪比(bi),但對于缺陷(xian)(xian)的深度、形狀以及走向等形態特征不一(yi)致的情況,該方(fang)法適應(ying)性欠佳。


  隨著差分(fen)(fen)(fen)(fen)階(jie)數(shu)(shu)的(de)(de)(de)提高(gao),考慮到差分(fen)(fen)(fen)(fen)過(guo)(guo)程中的(de)(de)(de)累積誤差,采用后(hou)向差分(fen)(fen)(fen)(fen)處(chu)理。用x°(h)表(biao)示(shi)離散采樣信號(hao)序列,用(h)表(biao)示(shi)采樣信號(hao)經過(guo)(guo)一階(jie)差分(fen)(fen)(fen)(fen)后(hou)的(de)(de)(de)數(shu)(shu)字序列,x2(k))表(biao)示(shi)經過(guo)(guo)9二階(jie)差分(fen)(fen)(fen)(fen)后(hou)的(de)(de)(de)數(shu)(shu)字序列,為(wei)簡化計(ji)算,步(bu)長取1,也即向后(hou)一步(bu)差分(fen)(fen)(fen)(fen)。從信號(hao)處(chu)理效(xiao)果出發(fa),也可(ke)以用多(duo)步(bu)差分(fen)(fen)(fen)(fen)處(chu)理,可(ke)根據現(xian)場(chang)應用效(xiao)果進行調試。


式 5.jpg


  通過式(4-4)~式(4-7)可計算出(chu)檢(jian)(jian)測信號(hao)(hao)的(de)各階差分(fen)(fen)輸出(chu)量,并(bing)可利用檢(jian)(jian)測量和差分(fen)(fen)輸出(chu)量來構建評判(pan)指標,而不是僅在檢(jian)(jian)測信號(hao)(hao)波形上尋求解決方案,從而可有(you)效地避免缺(que)陷(xian)其他形態(tai)特征對內(nei)、外(wai)部缺(que)陷(xian)區分(fen)(fen)的(de)影響。


  數字(zi)信號差(cha)分(fen)處理(li)可以通過(guo)軟件算(suan)法實現,其僅對原始采樣數據進行差(cha)分(fen)處理(li)即(ji)可實現在(zai)役漏磁(ci)檢測設備的性能(neng)提(ti)升,而無須對檢測探頭及信號采集系(xi)統做任(ren)何硬件修改,具有重要(yao)的實際應用(yong)價值。



三(san)、內(nei)、外部(bu)缺陷檢測(ce)信號的數字差分處理


  差(cha)(cha)分(fen)(fen)處(chu)理(li)(li)(li)(li)既然可(ke)以起到頻率成分(fen)(fen)的析取作用,那么可(ke)以進(jin)一步理(li)(li)(li)(li)解(jie)為:具有不(bu)同頻率成分(fen)(fen)的內、外部缺(que)(que)陷(xian)檢(jian)(jian)測(ce)(ce)(ce)(ce)信(xin)(xin)號對差(cha)(cha)分(fen)(fen)處(chu)理(li)(li)(li)(li)的響應輸出(chu)量(liang)也會不(bu)同;再者,由于檢(jian)(jian)測(ce)(ce)(ce)(ce)信(xin)(xin)號的差(cha)(cha)分(fen)(fen)處(chu)理(li)(li)(li)(li)過程在(zai)本質(zhi)上是對檢(jian)(jian)測(ce)(ce)(ce)(ce)數(shu)據(ju)沿掃(sao)查路(lu)徑(jing)變化趨勢(shi)的定量(liang)描(miao)述,如果將時域檢(jian)(jian)測(ce)(ce)(ce)(ce)信(xin)(xin)號數(shu)據(ju)視為可(ke)見的位(wei)移量(liang),則一階差(cha)(cha)分(fen)(fen)處(chu)理(li)(li)(li)(li)過程更傾(qing)向于描(miao)述這種(zhong)位(wei)移量(liang)的變化特(te)(te)征(zheng),即速度信(xin)(xin)息;不(bu)難理(li)(li)(li)(li)解(jie),進(jin)一步的二階差(cha)(cha)分(fen)(fen)處(chu)理(li)(li)(li)(li)不(bu)妨視為對這種(zhong)位(wei)移量(liang)的加速度信(xin)(xin)息的提取,而(er)加速度更傾(qing)向于描(miao)述或體現(xian)出(chu)事物的本質(zhi)特(te)(te)征(zheng)。利用二階差(cha)(cha)分(fen)(fen)輸出(chu)量(liang)與信(xin)(xin)號源進(jin)行(xing)特(te)(te)征(zheng)參數(shu)的參照對比,可(ke)發現(xian)內、外部缺(que)(que)陷(xian)產生的漏磁信(xin)(xin)號源在(zai)差(cha)(cha)分(fen)(fen)處(chu)理(li)(li)(li)(li)過程中的差(cha)(cha)異。


1. 刻槽內(nei)、外位置區分 


   下面對不同(tong)位置(zhi)刻槽(cao)檢(jian)測(ce)信號進行(xing)差分(fen)(fen)處理,研(yan)究缺陷的(de)位置(zhi)特征與二階(jie)差分(fen)(fen)輸(shu)出量之間(jian)的(de)關聯性(xing)。以(yi)(yi)外(wai)徑為88.9mm、壁厚(hou)為9.35mm的(de)鋼管作為試件(jian),采用電火花加工方法,分(fen)(fen)別在鋼管內(nei)、外(wai)壁刻制不同(tong)深(shen)度的(de)周(zhou)向刻槽(cao)。同(tong)樣,選(xuan)用集成(cheng)霍爾元件(jian)UGN-3505作為磁(ci)敏感(gan)元件(jian),以(yi)(yi)0.5mm提離(li)距離(li)封裝于檢(jian)測(ce)探(tan)頭(tou)內(nei)部,拾取漏磁(ci)場的(de)法向分(fen)(fen)量。試驗過程中,保證探(tan)頭(tou)掃查(cha)速度恒定(ding)不變,檢(jian)測(ce)信號及二階(jie)差分(fen)(fen)輸(shu)出如(ru)圖4-22所示(shi)。


22.jpg


   從圖4-22中(zhong)可(ke)(ke)以看出(chu),對檢(jian)測數據(ju)進行后向(xiang)二階差分處理,可(ke)(ke)以使得差分輸(shu)出(chu)量在波(bo)形上(shang)類(lei)似于(yu)原始檢(jian)測信(xin)號波(bo)形,相(xiang)鄰波(bo)峰與(yu)波(bo)谷之間(jian)出(chu)現位置互(hu)換。分析檢(jian)測信(xin)號與(yu)二階差分輸(shu)出(chu)量之間(jian)的(de)關系時,重點(dian)觀察兩者峰-峰值這一特征參(can)數的(de)變化情況。為便于(yu)論述評判(x)z4指標(biao)的(de)構建過程,缺(que)陷的(de)檢(jian)測信(xin)號與(yu)二階差分輸(shu)出(chu)量分別記為V°(x)和。通過比較Vo(x)zA(x)和峰-峰值來構建評判指標(biao),即

表 7.jpg


   分析表4-7中的(de)數據(ju)可(ke)以(yi)發(fa)現,內、外(wai)部(bu)缺(que)陷評判(pan)指標(biao)βa的(de)量(liang)值差異較大,因此,可(ke)以(yi)通過設定合理(li)的(de)區(qu)分門限來達到區(qu)分內、外(wai)部(bu)缺(que)陷的(de)目(mu)的(de),而且缺(que)陷深度(du)對評判(pan)指標(biao)βa的(de)影響較小,不(bu)會因為(wei)缺(que)陷的(de)深度(du)過大或是過小產生評判(pan)失效。


 2. 不通孔內、外(wai)位置區分 


   下面(mian)進(jin)一步討論(lun)數(shu)字信(xin)號差(cha)分方法在不通孔缺陷(xian)上的適用(yong)性。仍然選用(yong)鋼管作為試件(jian),外徑為88.9mm,壁厚為9.35mm,并在鋼管上加工各類不通孔缺陷(xian)。檢(jian)測探(tan)頭采用(yong)集成霍爾元(yuan)件(jian)UGN-3503作為磁敏感元(yuan)件(jian)進(jin)行封(feng)裝,實際提(ti)離距(ju)離為0.5mm,拾(shi)取漏磁場的法向(xiang)分量(liang)Va(x),檢(jian)測信(xin)號及(ji)二階差(cha)分輸(shu)出如圖4-23所(suo)示。


23.jpg


   根據(ju)式(4-8)計算評(ping)判指(zhi)標βa,見(jian)表4-8。可以發現(xian),對于不同位(wei)置(zhi)和(he)形狀的不通孔缺陷,β。仍可作為評(ping)判指(zhi)標來區分(fen)和(he)識別缺陷的位(wei)置(zhi)特(te)征(zheng)。由(you)于該評(ping)判指(zhi)標是對時域檢測信號(hao)與其二階差分(fen)輸出量之(zhi)間進行對比(bi),而不是僅僅對信號(hao)的波形特(te)征(zheng)進行信息(xi)提取(qu),因此保證(zheng)了評(ping)判方法對具有不同形態特(te)征(zheng)的缺陷仍然具有良好(hao)的位(wei)置(zhi)特(te)征(zheng)識別能(neng)力。


表 8.jpg


 3. 斜向裂(lie)紋內、外位(wei)置區分(fen) 


   不銹鋼管(guan)在(zai)(zai)(zai)生產(chan)和(he)使用過程中,當(dang)受到復雜載荷的(de)作用時,往(wang)(wang)往(wang)(wang)會在(zai)(zai)(zai)內(nei)、外管(guan)壁(bi)出(chu)現與鋼管(guan)軸(zhou)向(xiang)處于既非垂直、也(ye)非平(ping)行的(de)斜向(xiang)裂紋。下(xia)面(mian)討論數字(zi)信號(hao)差(cha)分方法在(zai)(zai)(zai)斜向(xiang)裂紋上的(de)適(shi)用性。


   在不銹鋼管內、外(wai)表面上用電火花方(fang)法(fa)加工斜向刻槽,刻槽相(xiang)對于管材軸(zhou)向方(fang)向傾斜45°,深度分別為1.0mm(外(wai)部(bu)缺(que)(que)陷),3.0mm(內部(bu)缺(que)(que)陷),寬(kuan)度均為0.5mm;鋼管直線前進,磁化(hua)(hua)器仍然選用直流磁化(hua)(hua)線圈,斜向缺(que)(que)陷的檢測信號(hao)及二階差分輸(shu)出如(ru)圖4-24所示。


24.jpg


   利用式(4-8)計算評判指標βd,見表4-9。可(ke)以(yi)發現,通過設定區分門(men)限(如βr-d=0.2)可(ke)以(yi)有效區分斜向裂紋(wen)的(de)位(wei)置特征。


   從表4-9中可以看出,評判指標βa適應(ying)性(xing)較好,受(shou)缺陷(xian)的(de)其他形態(tai)特征影響較小(xiao),如缺陷(xian)的(de)形狀、深度和走向等,可對(dui)各種(zhong)內、外部缺陷(xian)進行有效的(de)區分。


   上述試(shi)驗過(guo)(guo)程中,評(ping)判指(zhi)(zhi)標(biao)的(de)(de)構(gou)建是基于(yu)(yu)(x)。4檢測信(xin)號(hao)與其(qi)二階差分輸出量之間(x)4的(de)(de)相(xiang)似特(te)征(zheng)參數(即峰-峰值),區分流(liu)程如圖4-25所(suo)示。由于(yu)(yu)該評(ping)判指(zhi)(zhi)標(biao)的(de)(de)構(gou)建過(guo)(guo)程僅僅是對(dui)常規漏磁(ci)檢測信(xin)號(hao)進行算法上的(de)(de)處理,對(dui)檢測硬件未加(jia)任何改動,因此在傳(chuan)統(tong)漏磁(ci)檢測設(she)備(bei)(bei)上可方便(bian)地添(tian)加(jia)內、外部缺陷區分功能,有效升級傳(chuan)統(tong)漏磁(ci)設(she)備(bei)(bei)的(de)(de)檢測功能。


25.jpg





聯系方式.jpg