1911年,德國科學家Van Karman首先用最小應變能方法研究了91香蕉視頻app:不銹鋼管彎管加工后的應力應變特性,之后的一些學者都以此方法為基礎,僅在級數的取舍等方面作了改進。Clark則認為彎管段為封閉環殼的一部分,通過薄殼方程并以兩個變量來表達這些方程,其解與已有解非常接近,且數學處理十分成功,但上述都僅限于彎曲半徑較大的情形。Pardue和Vigness,還有 Turner、Ford都研究了彎曲半徑較小的情形,給出了整個彎管截面的應力曲線。直到1956年,Kafla和Dunn注意到內壓對柔度系數的影響,指出了內壓可使彎管的柔度系數降低,剛度增大。Rodabaugh 和 George 利用能量方法研究了內壓的影響,給出了影響計算的理論公式。Clark等的計算公式和Rodabaugh等的內壓影響修正公式現在被各國規范所廣泛使用。


 我國在(zai)“八五(wu)”“九五(wu)”科(ke)(ke)技攻關(guan)期間,已基本解決(jue)了(le)(le)(le)壓(ya)力(li)(li)容器、壓(ya)力(li)(li)管(guan)(guan)(guan)(guan)道直管(guan)(guan)(guan)(guan)段(duan)的(de)(de)(de)塑性極(ji)限(xian)(xian)(xian)載(zai)(zai)(zai)(zai)荷(he)(he)(he)計(ji)(ji)算(suan)及(ji)工(gong)程評估問(wen)題,但(dan)未涉(she)及(ji)彎(wan)(wan)管(guan)(guan)(guan)(guan)等(deng)復雜結構(gou)。鑒于(yu)其對(dui)(dui)(dui)(dui)管(guan)(guan)(guan)(guan)道系統(tong)承載(zai)(zai)(zai)(zai)能力(li)(li)的(de)(de)(de)重要(yao)影響,國家科(ke)(ke)技部(bu)將壓(ya)力(li)(li)管(guan)(guan)(guan)(guan)道元(yuan)(yuan)件的(de)(de)(de)安全評估技術(shu)列入“十(shi)五(wu)”國家重大科(ke)(ke)技攻關(guan)的(de)(de)(de)相關(guan)項(xiang)目中。文(wen)(wen)(wen)(wen)獻(xian)給(gei)出(chu)(chu)(chu)(chu)了(le)(le)(le)薄(bo)壁彎(wan)(wan)管(guan)(guan)(guan)(guan)的(de)(de)(de)理論(lun)解,文(wen)(wen)(wen)(wen)獻(xian)采用(yong)(yong)(yong)(yong)數值分(fen)析(xi)的(de)(de)(de)方法(fa),對(dui)(dui)(dui)(dui)不(bu)(bu)銹鋼彎(wan)(wan)管(guan)(guan)(guan)(guan)結構(gou)在(zai)復雜載(zai)(zai)(zai)(zai)荷(he)(he)(he)作(zuo)(zuo)用(yong)(yong)(yong)(yong)下(xia)(xia)的(de)(de)(de)極(ji)限(xian)(xian)(xian)與(yu)(yu)安定(ding)分(fen)析(xi)進行(xing)了(le)(le)(le)深入、系統(tong)的(de)(de)(de)研究(jiu),發(fa)展了(le)(le)(le)多組(zu)載(zai)(zai)(zai)(zai)荷(he)(he)(he)作(zuo)(zuo)用(yong)(yong)(yong)(yong)下(xia)(xia)不(bu)(bu)銹鋼管(guan)(guan)(guan)(guan)彎(wan)(wan)管(guan)(guan)(guan)(guan)結構(gou)塑性極(ji)限(xian)(xian)(xian)上限(xian)(xian)(xian)分(fen)析(xi)的(de)(de)(de)有(you)限(xian)(xian)(xian)元(yuan)(yuan)數學(xue)規劃(hua)方法(fa),得出(chu)(chu)(chu)(chu)了(le)(le)(le)相應的(de)(de)(de)無搜索優化迭代求解算(suan)法(fa),給(gei)出(chu)(chu)(chu)(chu)了(le)(le)(le)可較好地解決(jue)復雜載(zai)(zai)(zai)(zai)荷(he)(he)(he)作(zuo)(zuo)用(yong)(yong)(yong)(yong)下(xia)(xia)彎(wan)(wan)管(guan)(guan)(guan)(guan)結構(gou)與(yu)(yu)安定(ding)分(fen)析(xi)的(de)(de)(de)數值算(suan)法(fa)。文(wen)(wen)(wen)(wen)獻(xian)就含(han)(han)局部(bu)減薄(bo)彎(wan)(wan)管(guan)(guan)(guan)(guan)的(de)(de)(de)極(ji)限(xian)(xian)(xian)載(zai)(zai)(zai)(zai)荷(he)(he)(he)作(zuo)(zuo)了(le)(le)(le)研究(jiu),得出(chu)(chu)(chu)(chu)了(le)(le)(le)含(han)(han)局部(bu)減薄(bo)彎(wan)(wan)管(guan)(guan)(guan)(guan)的(de)(de)(de)極(ji)限(xian)(xian)(xian)載(zai)(zai)(zai)(zai)荷(he)(he)(he)的(de)(de)(de)工(gong)程計(ji)(ji)算(suan)方法(fa);文(wen)(wen)(wen)(wen)獻(xian)對(dui)(dui)(dui)(dui)在(zai)拉、壓(ya)、彎(wan)(wan)、扭和(he)(he)內(nei)(nei)(nei)(nei)壓(ya)作(zuo)(zuo)用(yong)(yong)(yong)(yong)下(xia)(xia)含(han)(han)缺(que)陷彎(wan)(wan)管(guan)(guan)(guan)(guan)的(de)(de)(de)極(ji)限(xian)(xian)(xian)載(zai)(zai)(zai)(zai)荷(he)(he)(he)作(zuo)(zuo)了(le)(le)(le)研究(jiu),得出(chu)(chu)(chu)(chu)了(le)(le)(le)彎(wan)(wan)管(guan)(guan)(guan)(guan)在(zai)組(zu)合載(zai)(zai)(zai)(zai)荷(he)(he)(he)作(zuo)(zuo)用(yong)(yong)(yong)(yong)下(xia)(xia)的(de)(de)(de)極(ji)限(xian)(xian)(xian)載(zai)(zai)(zai)(zai)荷(he)(he)(he)的(de)(de)(de)計(ji)(ji)算(suan)公式,能滿足一般工(gong)程的(de)(de)(de)計(ji)(ji)算(suan)。文(wen)(wen)(wen)(wen)獻(xian)對(dui)(dui)(dui)(dui)環向穿(chuan)(chuan)透(tou)裂(lie)(lie)(lie)紋的(de)(de)(de)斜(xie)接(jie)彎(wan)(wan)管(guan)(guan)(guan)(guan)進行(xing)了(le)(le)(le)有(you)限(xian)(xian)(xian)元(yuan)(yuan)分(fen)析(xi),計(ji)(ji)算(suan)給(gei)出(chu)(chu)(chu)(chu)了(le)(le)(le)線(xian)彈性條件下(xia)(xia),焊制斜(xie)接(jie)彎(wan)(wan)管(guan)(guan)(guan)(guan)環向穿(chuan)(chuan)透(tou)裂(lie)(lie)(lie)紋分(fen)別在(zai)內(nei)(nei)(nei)(nei)壓(ya)、彎(wan)(wan)矩載(zai)(zai)(zai)(zai)荷(he)(he)(he)作(zuo)(zuo)用(yong)(yong)(yong)(yong)下(xia)(xia)斷裂(lie)(lie)(lie)參(can)量K1的(de)(de)(de)工(gong)程應用(yong)(yong)(yong)(yong)解;同時以內(nei)(nei)(nei)(nei)壓(ya)、彎(wan)(wan)矩不(bu)(bu)同比(bi)例的(de)(de)(de)載(zai)(zai)(zai)(zai)荷(he)(he)(he)比(bi)作(zuo)(zuo)用(yong)(yong)(yong)(yong)下(xia)(xia)求解出(chu)(chu)(chu)(chu)全塑性J積(ji)分(fen)值。文(wen)(wen)(wen)(wen)獻(xian)對(dui)(dui)(dui)(dui)沿(yan)管(guan)(guan)(guan)(guan)向穿(chuan)(chuan)透(tou)裂(lie)(lie)(lie)紋的(de)(de)(de)斜(xie)接(jie)彎(wan)(wan)管(guan)(guan)(guan)(guan)在(zai)內(nei)(nei)(nei)(nei)壓(ya)、彎(wan)(wan)矩聯合作(zuo)(zuo)用(yong)(yong)(yong)(yong)下(xia)(xia)的(de)(de)(de)整體應力(li)(li)進行(xing)了(le)(le)(le)分(fen)析(xi),并利用(yong)(yong)(yong)(yong)斷裂(lie)(lie)(lie)力(li)(li)學(xue)的(de)(de)(de)理論(lun)和(he)(he)有(you)限(xian)(xian)(xian)元(yuan)(yuan)方法(fa)計(ji)(ji)算(suan)了(le)(le)(le)內(nei)(nei)(nei)(nei)壓(ya)、內(nei)(nei)(nei)(nei)壓(ya)與(yu)(yu)彎(wan)(wan)矩組(zu)合載(zai)(zai)(zai)(zai)荷(he)(he)(he)作(zuo)(zuo)用(yong)(yong)(yong)(yong)下(xia)(xia)焊制斜(xie)接(jie)彎(wan)(wan)管(guan)(guan)(guan)(guan)沿(yan)管(guan)(guan)(guan)(guan)向穿(chuan)(chuan)透(tou)裂(lie)(lie)(lie)紋的(de)(de)(de)線(xian)彈性斷裂(lie)(lie)(lie)參(can)量 K1和(he)(he)全塑性J積(ji)分(fen)。


  從國內外的(de)(de)(de)(de)研(yan)(yan)究(jiu)現狀來(lai)看,目(mu)前對(dui)不銹(xiu)(xiu)鋼(gang)管(guan)(guan)(guan)(guan)(guan)(guan)道(dao)的(de)(de)(de)(de)研(yan)(yan)究(jiu)多集中(zhong)在(zai)直管(guan)(guan)(guan)(guan)(guan)(guan)段,圍繞管(guan)(guan)(guan)(guan)(guan)(guan)道(dao)中(zhong)重要而薄弱的(de)(de)(de)(de)環(huan)節-彎(wan)(wan)(wan)管(guan)(guan)(guan)(guan)(guan)(guan)的(de)(de)(de)(de)研(yan)(yan)究(jiu)相(xiang)對(dui)較少。由于彎(wan)(wan)(wan)管(guan)(guan)(guan)(guan)(guan)(guan)幾何(he)中(zhong)心線是曲線,加(jia)之受(shou)(shou)制(zhi)造工藝的(de)(de)(de)(de)影(ying)響,管(guan)(guan)(guan)(guan)(guan)(guan)壁(bi)(bi)(bi)(bi)往往不等(deng)(deng)厚(hou)(hou),存在(zai)截面(mian)橢圓化(hua),外拱壁(bi)(bi)(bi)(bi)厚(hou)(hou)局部(bu)變(bian)薄,內拱壁(bi)(bi)(bi)(bi)厚(hou)(hou)局部(bu)變(bian)厚(hou)(hou)甚至(zhi)出現皺褶等(deng)(deng)缺陷,當受(shou)(shou)到內壓和(he)彎(wan)(wan)(wan)矩(ju)的(de)(de)(de)(de)聯合(he)作用(yong)(yong)時,幾何(he)和(he)材料(liao)(liao)的(de)(de)(de)(de)非線性(xing)相(xiang)互(hu)作用(yong)(yong),使得(de)彎(wan)(wan)(wan)管(guan)(guan)(guan)(guan)(guan)(guan)的(de)(de)(de)(de)應力(li)(li)狀態比直管(guan)(guan)(guan)(guan)(guan)(guan)復(fu)雜(za),因(yin)而研(yan)(yan)究(jiu)起(qi)來(lai)也相(xiang)對(dui)復(fu)雜(za)。而對(dui)超(chao)高(gao)壓彎(wan)(wan)(wan)管(guan)(guan)(guan)(guan)(guan)(guan)還(huan)要涉及(ji)彎(wan)(wan)(wan)管(guan)(guan)(guan)(guan)(guan)(guan)的(de)(de)(de)(de)應力(li)(li)沿壁(bi)(bi)(bi)(bi)厚(hou)(hou)分布(bu)不均(jun)勻(yun)和(he)應力(li)(li)集中(zhong)的(de)(de)(de)(de)現象,因(yin)而對(dui)超(chao)高(gao)壓彎(wan)(wan)(wan)管(guan)(guan)(guan)(guan)(guan)(guan)的(de)(de)(de)(de)研(yan)(yan)究(jiu)就(jiu)更(geng)加(jia)復(fu)雜(za),目(mu)前對(dui)超(chao)高(gao)壓彎(wan)(wan)(wan)管(guan)(guan)(guan)(guan)(guan)(guan)的(de)(de)(de)(de)研(yan)(yan)究(jiu)文獻(xian)資(zi)料(liao)(liao)報(bao)道(dao)得(de)很(hen)少,而現有的(de)(de)(de)(de)文獻(xian)資(zi)料(liao)(liao)報(bao)道(dao)得(de)最(zui)多的(de)(de)(de)(de)是超(chao)高(gao)壓彎(wan)(wan)(wan)管(guan)(guan)(guan)(guan)(guan)(guan)的(de)(de)(de)(de)加(jia)工與制(zhi)造工藝,對(dui)超(chao)高(gao)壓彎(wan)(wan)(wan)管(guan)(guan)(guan)(guan)(guan)(guan)的(de)(de)(de)(de)受(shou)(shou)力(li)(li)分析(xi)及(ji)工程中(zhong)的(de)(de)(de)(de)應用(yong)(yong)的(de)(de)(de)(de)研(yan)(yan)究(jiu)報(bao)道(dao)只有楊家(jia)瑞在(zai)文獻(xian)中(zhong)提到了(le)超(chao)高(gao)壓彎(wan)(wan)(wan)管(guan)(guan)(guan)(guan)(guan)(guan)的(de)(de)(de)(de)極限(xian)載荷的(de)(de)(de)(de)計算方法(fa)。2010年,毛苗等(deng)(deng)人對(dui)受(shou)(shou)內壓作用(yong)(yong)下的(de)(de)(de)(de)90度大型厚(hou)(hou)壁(bi)(bi)(bi)(bi)彎(wan)(wan)(wan)管(guan)(guan)(guan)(guan)(guan)(guan)進行了(le)應力(li)(li)計算分析(xi)及(ji)試驗研(yan)(yan)究(jiu),得(de)到了(le)彎(wan)(wan)(wan)管(guan)(guan)(guan)(guan)(guan)(guan)的(de)(de)(de)(de)應力(li)(li)分布(bu)規律。2011年,樂(le)增等(deng)(deng)人應用(yong)(yong)雙剪強度理論推(tui)導出求解不銹(xiu)(xiu)鋼(gang)管(guan)(guan)(guan)(guan)(guan)(guan)彎(wan)(wan)(wan)管(guan)(guan)(guan)(guan)(guan)(guan)的(de)(de)(de)(de)極限(xian)載荷一般(ban)公(gong)式(shi),如式(shi)(1-1)所示。


1.jpg


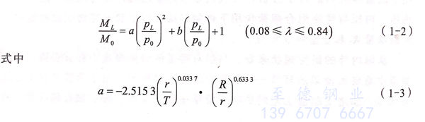
 2014年,朱倩等(deng)(deng)人基于統一(yi)強度(du)理(li)論(lun),考(kao)慮(lv)中間主(zhu)應力(li)效應及(ji)拉壓(ya)不(bu)等(deng)(deng)特性,建立(li)了(le)等(deng)(deng)壁(bi)(bi)厚、變(bian)壁(bi)(bi)厚及(ji)局部減薄(bo)壓(ya)力(li)彎(wan)(wan)(wan)(wan)管(guan)的(de)極(ji)限(xian)內(nei)壓(ya)統一(yi)解(jie),研(yan)究(jiu)了(le)統一(yi)強度(du)理(li)論(lun)參數、拉壓(ya)比、彎(wan)(wan)(wan)(wan)曲系(xi)數和不(bu)銹鋼(gang)管(guan)彎(wan)(wan)(wan)(wan)管(guan)壁(bi)(bi)厚對統一(yi)解(jie)的(de)影響特性,結果表(biao)明(ming):彎(wan)(wan)(wan)(wan)曲系(xi)數、強度(du)理(li)論(lun)參數等(deng)(deng)因素對極(ji)限(xian)內(nei)壓(ya)曲線的(de)影響顯(xian)著,考(kao)慮(lv)中間主(zhu)應力(li)效應能充分發(fa)揮材(cai)料的(de)強度(du)潛能。李建等(deng)(deng)人考(kao)慮(lv)幾何和材(cai)料的(de)非線性相互作(zuo)用,采(cai)用有限(xian)元方法研(yan)究(jiu)了(le)復雜載荷下不(bu)銹鋼(gang)彎(wan)(wan)(wan)(wan)管(guan)的(de)極(ji)限(xian)載荷,提(ti)出了(le)彎(wan)(wan)(wan)(wan)矩以及(ji)內(nei)壓(ya)、彎(wan)(wan)(wan)(wan)矩聯合作(zuo)用下的(de)極(ji)限(xian)壓(ya)力(li)、極(ji)限(xian)彎(wan)(wan)(wan)(wan)矩與彎(wan)(wan)(wan)(wan)管(guan)幾何尺寸的(de)定量關系(xi)如(ru)式(shi)(1-2)。


2.jpg