關于氫脆的機理,尚無統一認識。各種理論的共同點是:氫原子通過應力誘導擴散在高應力區富集,只有當富集的氫濃度達到臨界值C.時,使材料斷裂應力σ降低,才發生脆斷。目前較為普遍的觀點有以下幾種。


1. 氫的擴散(san)機理


  裂(lie)紋尖(jian)端處于陰極(ji)區(qu),由于陰極(ji)反應的(de)(de)結果,使(shi)介質(zhi)中(zhong)的(de)(de)氫離子(zi)獲得電子(zi)后還(huan)原成(cheng)氫原子(zi),一(yi)部(bu)分氫原子(zi)進(jin)一(yi)步結合成(cheng)氫氣后逸出(chu),另一(yi)部(bu)分氫原子(zi)向金屬內(nei)部(bu)擴散。原子(zi)氫在金屬中(zhong)的(de)(de)擴散,有濃差擴散和(he)應力(li)擴散。裂(lie)紋尖(jian)端高(gao)(gao)應力(li)塑變區(qu)晶(jing)格缺(que)陷的(de)(de)堆積,產生(sheng)氫與金屬中(zhong)缺(que)陷交互作(zuo)用的(de)(de)陷捕效應,使(shi)氫在此區(qu)域內(nei)產生(sheng)高(gao)(gao)濃度的(de)(de)集中(zhong),從而使(shi)該區(qu)域的(de)(de)金屬脆化。


2. 氫壓(ya)理論


  在H2環境中,H2分解成H進入金屬,其濃度CH和/P成正比,反過來,如果溶解在金屬中的H進入某些特殊區域(如夾界或第二相界面,空位團),就會復合成H2,即2H→H2,這時該處的H2壓力P就和C2H成正比,但由于H2不是理想氣團,壓力較高時要用逸度f代替,即


f=(CH/S)2=C2Hexp(-2ΔH/RT)(1.5)


當局部區域CH很高時,按式(1.5)算出的逸度換算成壓力后等于原子鍵合力σth,就會使局部地區的原子鍵斷裂而形成微裂紋。在高逸度電解充氫時,充氫過程中就會產生氫鼓泡(出現在表層)或氫致微裂紋,它和是否存在外加應力無關,也不需要滯后時間(即不需要應力誘導擴散、富集),這完全是氫壓力P等于σth,從而使原子鍵斷裂而形成微裂紋。氫壓理論成功地解釋了電解充氫過程中產生的裂紋、鋼中白點以及鋼在硫化氫溶液中產生的裂紋。但對于不可逆損傷,如氫致可逆塑性損失以及氫致滯后開裂,僅僅用氫壓理論無法解釋。


3. 氫降低(di)表面能理論


氫(qing)降(jiang)(jiang)低表(biao)(biao)(biao)(biao)(biao)面(mian)(mian)(mian)能理論(lun)(lun)是N.Petch和P.Stabls在1952年提出的(de)(de)(de)(de)。材(cai)料(liao)斷(duan)裂(lie)(lie)時(shi)將(jiang)形(xing)(xing)(xing)成兩個新的(de)(de)(de)(de)表(biao)(biao)(biao)(biao)(biao)面(mian)(mian)(mian),對(dui)于(yu)完(wan)全(quan)脆性的(de)(de)(de)(de)材(cai)料(liao),斷(duan)裂(lie)(lie)時(shi)所需(xu)的(de)(de)(de)(de)外力(li)(li)做功等于(yu)形(xing)(xing)(xing)成新的(de)(de)(de)(de)表(biao)(biao)(biao)(biao)(biao)面(mian)(mian)(mian)所需(xu)的(de)(de)(de)(de)表(biao)(biao)(biao)(biao)(biao)面(mian)(mian)(mian)能。當裂(lie)(lie)紋尖(jian)端區處于(yu)陰極(ji)狀(zhuang)態(tai)時(shi),由于(yu)陰極(ji)反應的(de)(de)(de)(de)結果,表(biao)(biao)(biao)(biao)(biao)面(mian)(mian)(mian)將(jiang)產生(sheng)大(da)量的(de)(de)(de)(de)氫(qing)原(yuan)子(zi),根據斷(duan)裂(lie)(lie)力(li)(li)學的(de)(de)(de)(de)觀點(dian),處于(yu)高應力(li)(li)裂(lie)(lie)紋尖(jian)端的(de)(de)(de)(de)表(biao)(biao)(biao)(biao)(biao)面(mian)(mian)(mian)會有(you)效地促使(shi)表(biao)(biao)(biao)(biao)(biao)面(mian)(mian)(mian)吸附氫(qing)原(yuan)子(zi),吸附在材(cai)料(liao)表(biao)(biao)(biao)(biao)(biao)面(mian)(mian)(mian)的(de)(de)(de)(de)氫(qing)會使(shi)材(cai)料(liao)的(de)(de)(de)(de)表(biao)(biao)(biao)(biao)(biao)面(mian)(mian)(mian)能降(jiang)(jiang)低,使(shi)斷(duan)裂(lie)(lie)所需(xu)的(de)(de)(de)(de)臨界外應力(li)(li)降(jiang)(jiang)低,引起(qi)氫(qing)脆。它沒有(you)考(kao)慮塑性變形(xing)(xing)(xing)功,因而對(dui)金屬材(cai)料(liao)是不(bu)適用的(de)(de)(de)(de)。到了20世(shi)紀(ji)70年代(dai),C.McMahon等人對(dui)這一(yi)(yi)理論(lun)(lun)進一(yi)(yi)步作了修正(zheng)。他用Orowan判據,把局部塑性變形(xing)(xing)(xing)的(de)(de)(de)(de)因素考(kao)慮進去,導出了塑性變形(xing)(xing)(xing)功Tp和表(biao)(biao)(biao)(biao)(biao)面(mian)(mian)(mian)能r的(de)(de)(de)(de)關(guan)系。氫(qing)降(jiang)(jiang)低表(biao)(biao)(biao)(biao)(biao)面(mian)(mian)(mian)能理論(lun)(lun)存在的(de)(de)(de)(de)問題如下:一(yi)(yi)方(fang)面(mian)(mian)(mian),對(dui)氫(qing)吸附后表(biao)(biao)(biao)(biao)(biao)面(mian)(mian)(mian)能降(jiang)(jiang)低的(de)(de)(de)(de)物理本質尚不(bu)清楚;另(ling)一(yi)(yi)方(fang)面(mian)(mian)(mian),這一(yi)(yi)理論(lun)(lun)忽視了局部塑性變形(xing)(xing)(xing)對(dui)斷(duan)裂(lie)(lie)過程的(de)(de)(de)(de)主導作用。


4. 弱鍵理論(lun)


弱鍵理論認(ren)為氫(qing)進(jin)人材料后(hou)能使材料的(de)(de)(de)原子(zi)間鍵力(li)降低,原因是氫(qing)的(de)(de)(de)1s電子(zi)進(jin)入過渡(du)族金屬的(de)(de)(de)d帶,使d帶電子(zi)密度升高,s帶與d帶重合部分增大,因而原子(zi)間排斥力(li)增加,即鍵力(li)下降。該理論簡單直觀,容易被(bei)人們接受。給(gei)而實(shi)驗(yan)證據(ju)尚不充分,如材料的(de)(de)(de)彈(dan)性模(mo)量與鍵力(li)有關,但實(shi)驗(yan)并未(wei)發現(xian)氫(qing)對彈(dan)性模(mo)量有顯著的(de)(de)(de)影(ying)響。此外,沒有3d帶的(de)(de)(de)鋁合金也(ye)能發生可逆氫(qing)脆(cui),因此不可能有氫(qing)的(de)(de)(de)1s電子(zi)進(jin)入金屬的(de)(de)(de)d帶。


5.氫(qing)促進局部塑性變形(xing)機(ji)理


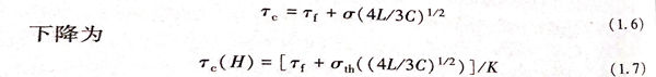
氫促進局部塑性變形機理的基礎是一系列斷口形貌研究結果和隨后的金相及透射電鏡原位跟蹤實驗結果。該理論認為,氫能促進位錯的增殖和運動,使得局部地區(如裂尖、無位錯區、位錯塞積群前端)的應力集中σy等于被氫降低了的原子鍵合力σth(H),從而導致氫致微裂紋在該處形核,原子鍵進人微裂紋就復合成H2,產生氫壓,它能使微裂紋穩定化,同時也能協助局部應力使之解理擴展。該理論同時考慮了氫促進局部塑性變形,氫降低原子鍵合力以及氫壓作用。該理論表明,從微裂紋上看,氫促進位錯發射和運動;從宏觀上看,氫使門檻應力rc(或應力強度因子)為


6.jpg


也使臨界斷裂應變下降,從而使材料變脆。因為只有當氫通過應力誘導擴散富集到等于臨界值Cth時,才會明顯促進局部塑性變形并使應變高度局部化,同時也使σth(H)明顯下降,從而在低的外應力下就導致開裂。