存在拉應(ying)力的情(qing)況(kuang)下,91香蕉視頻app:應力腐蝕裂(lie)紋(wen)優先(xian)在(zai)點(dian)(dian)蝕(shi)坑(keng)(keng)處萌(meng)生并擴展。在(zai)本(ben)章中,基于對(dui)(dui)點(dian)(dian)蝕(shi)坑(keng)(keng)內(nei)裂(lie)紋(wen)萌(meng)生位置的(de)觀(guan)察(cha),計(ji)算點(dian)(dian)蝕(shi)坑(keng)(keng)內(nei)的(de)應力集中系數,分(fen)析點(dian)(dian)蝕(shi)坑(keng)(keng)形貌(mao)對(dui)(dui)裂(lie)紋(wen)萌(meng)生的(de)影響以及點(dian)(dian)蝕(shi)坑(keng)(keng)內(nei)裂(lie)紋(wen)萌(meng)生機理(li)。對(dui)(dui)高溫低CI-濃度環境中裂紋的擴(kuo)(kuo)展(zhan)速率進行研究,并分析(xi)裂紋擴(kuo)(kuo)展(zhan)的隨機性。


一(yi)、應力腐蝕裂紋的萌生


 1. 點蝕坑形貌(mao)對裂紋(wen)萌(meng)生的影(ying)響(xiang)


  從電化學角度來說,由于金屬離子的水解,點蝕坑底的pH值更低、Cl-濃度更大,裂紋會優先在坑底萌生。但實際中發現,多數應力腐蝕裂紋在坑肩或坑口邊緣處萌生,無論在高應力還是低應力情況下,都發現了這種現象。圖5-1是慢拉伸試驗后掃描電鏡下觀察到的試樣表面點蝕坑和裂紋,從圖中可看出,點蝕形貌近似為半橢球形,在高應力作用下,沿拉伸方向的表面尺寸大于垂直于拉伸方向的表面尺寸。實際應力腐蝕開裂案例中,觀察到的點蝕坑和裂紋萌生位置及形貌如圖5-2所示。




 由圖(tu)5-1和圖(tu)5-2可看(kan)出,裂(lie)紋在點蝕坑處的萌生和擴展方式主(zhu)要(yao)有以下四(si)種(zhong)情況:


   ①. 裂紋萌生于坑底,在垂直(zhi)于拉應(ying)力方向沿蝕坑表(biao)面一直(zhi)擴展到坑外表(biao)面;


   ②. 裂紋萌(meng)生于坑(keng)底,只沿材料厚度(du)方向(xiang)擴展(zhan),不向(xiang)坑(keng)外表面擴展(zhan);


   ③. 裂(lie)紋(wen)萌生于坑(keng)口或坑(keng)肩,只向坑(keng)外表面擴展(zhan);


   ④. 裂(lie)紋在底部和坑口處同(tong)時萌生,沿表(biao)面(mian)向兩(liang)側同(tong)時擴展,最終匯(hui)合成主裂(lie)紋。


  裂(lie)紋萌生受力學作(zuo)用和(he)電化學作(zuo)用共同作(zuo)用,而力學作(zuo)用占(zhan)重要(yao)地位(wei)。因此,由點蝕(shi)坑(keng)(keng)引起(qi)的(de)(de)(de)局部(bu)應力集中(zhong)在很大(da)(da)程度(du)上(shang)決定(ding)了裂(lie)紋萌生位(wei)置。為了明確點蝕(shi)坑(keng)(keng)形貌(mao)與裂(lie)紋萌生的(de)(de)(de)關系,對點蝕(shi)坑(keng)(keng)尺(chi)寸進(jin)行了測量。點蝕(shi)坑(keng)(keng)深度(du)采用顯微法測量,放大(da)(da)倍數為200時(shi)的(de)(de)(de)標尺(chi)如圖(tu)5-3(a)所(suo)示(shi),觀察到的(de)(de)(de)點蝕(shi)坑(keng)(keng)底部(bu)和(he)表面的(de)(de)(de)圖(tu)像如圖(tu)5-3(b)所(suo)示(shi)。




  根據測(ce)得(de)的(de)點(dian)(dian)(dian)蝕(shi)(shi)(shi)坑(keng)尺寸(cun),采用(yong)ABAQUS軟件對不(bu)同形貌點(dian)(dian)(dian)蝕(shi)(shi)(shi)坑(keng)建立三維模(mo)型(xing)(xing)(xing)(xing),分(fen)析點(dian)(dian)(dian)蝕(shi)(shi)(shi)坑(keng)內應(ying)力集中(zhong)情(qing)況。點(dian)(dian)(dian)蝕(shi)(shi)(shi)坑(keng)形貌簡化為(wei)半橢球形:b為(wei)蝕(shi)(shi)(shi)坑(keng)半長,沿拉伸方(fang)(fang)向(xiang);c為(wei)蝕(shi)(shi)(shi)坑(keng)半寬,垂直于(yu)拉伸方(fang)(fang)向(xiang);a為(wei)蝕(shi)(shi)(shi)坑(keng)深度。幾何模(mo)型(xing)(xing)(xing)(xing)和有限元網格模(mo)型(xing)(xing)(xing)(xing)如圖(tu)5-4所(suo)示,模(mo)型(xing)(xing)(xing)(xing)中(zhong)部分(fen)點(dian)(dian)(dian)蝕(shi)(shi)(shi)坑(keng)尺寸(cun)來源于(yu)應(ying)力腐蝕(shi)(shi)(shi)試(shi)驗后(hou)試(shi)樣中(zhong)點(dian)(dian)(dian)蝕(shi)(shi)(shi)坑(keng)的(de)實際尺寸(cun)。材料模(mo)型(xing)(xing)(xing)(xing)采用(yong)彈塑性模(mo)型(xing)(xing)(xing)(xing),彈性模(mo)量E=210GPa,泊松比v=0.3.XY面施(shi)加Z方(fang)(fang)向(xiang)的(de)約束,即UY=0,XZ面采用(yong)對稱邊界。


圖 4.jpg


由于研究目的是得到點蝕坑內應力集中系數,為便于計算,只沿橢球長軸方向施加10MPa的拉應力。坑內的應力集中系數Kt為:


  Ktmax  / σ(5-1)


式中 σmax-應力集中處最大Mises(米塞斯)應力。


首先對深坑內應力(li)分布進行了模擬,結果(guo)如圖(tu)5-5所示。




  由圖5-5(a)可知,深寬比a/2c=3.24、b=c=0.125mm的點蝕坑,最大應力位于坑肩部,Kt=2.6;坑底和坑口的應力分別為外加應力的1.9倍和2.3倍。保持寬度不變,深寬比增大為5.4,同時b增大到0.175mm,最大應力位于肩部,Kt=2.0;坑底和坑口的應力分別為外加應力的1.7倍和1.9倍,如圖5-5(b)所示。與圖5-5(a)中的點蝕坑相比,雖然圖5-5(b)中的點蝕坑深寬比增大,但由于長寬比增大,坑內各處應力集中程度反而減小。對于深寬比為2.025、半長和半寬都為0.2mm的點蝕坑,最大應力也位于肩部,Kt=2.55;坑底和坑口的應力分別為外加應力的2.2倍和2.3倍,如圖5-5(c)所示。


  為了與深坑比較,對淺坑內的應力分布也進行了模擬,結果如圖5-6所示。對于a=b=c=0.2mm的半球形點蝕坑,最大應力出現在肩部,Kt=1.9;坑底和坑口的應力分別為外加應力的1.8倍和1.8倍,如圖5-6(a)所示。保持長度和寬度不變,深寬比減小至a/2c=0.1875時,最大應力出現在坑口,Kt=1.49;坑底和肩部的應力分別為外加應力的1.46倍和1.48倍,如圖5-6(b)所示。保持長和深度不變,減小寬度使深寬比為0.25時,最大應力出現在點蝕坑肩部,Kt=1.46;坑底和坑口的應力分別為外加應力的1.4倍和1.4倍,如圖5-6(c)所示。在圖5-6(c)幾何尺寸的基礎上減小蝕坑深度,使深寬比為0.133,應力分布情況如圖5-6(d)所示,最大應力出現在點蝕坑坑口,Kt=1.17;坑底和坑肩的應力分別為外加應力的1.14倍和1.1倍。


圖 6.jpg


  由以上(shang)(shang)模擬結(jie)果可知:應(ying)力(li)集(ji)中(zhong)區垂(chui)直于拉伸(shen)方向,且(qie)呈帶狀(zhuang)分布,當深(shen)寬比(bi)較(jiao)大時(shi),應(ying)力(li)集(ji)中(zhong)帶從口(kou)部(bu)到底部(bu)逐(zhu)漸變窄;深(shen)坑中(zhong)最(zui)(zui)大應(ying)力(li)出現在點蝕(shi)坑口(kou)下(xia)邊緣,淺(qian)坑中(zhong)應(ying)力(li)最(zui)(zui)大值位于點蝕(shi)坑口(kou)或坑口(kou)下(xia)邊緣;相(xiang)同的長寬比(bi)下(xia),隨(sui)著(zhu)a/2c值的減(jian)(jian)小(xiao)(xiao),應(ying)力(li)集(ji)中(zhong)程度降低,應(ying)力(li)集(ji)中(zhong)分布帶變寬且(qie)上(shang)(shang)下(xia)寬度趨(qu)于均勻;而深(shen)度相(xiang)同時(shi),b/c值減(jian)(jian)小(xiao)(xiao),應(ying)力(li)集(ji)中(zhong)系(xi)數增大。因此,點蝕(shi)坑應(ying)力(li)集(ji)中(zhong)系(xi)數的大小(xiao)(xiao)不僅與(yu)深(shen)寬比(bi)有(you)關(guan)(guan),還與(yu)長寬比(bi)有(you)關(guan)(guan),三者之間的關(guan)(guan)系(xi)如(ru)圖(tu)5-7所示。


圖 7.jpg


  不(bu)論是深坑(keng)(keng)還是淺坑(keng)(keng),點(dian)蝕(shi)坑(keng)(keng)口或下邊緣的(de)(de)(de)(de)應力(li)集(ji)中程度最(zui)大(da),大(da)部分裂(lie)(lie)紋會(hui)優先(xian)在(zai)此萌生(sheng),這與(yu)在(zai)試驗和實(shi)際失效案例(li)中觀(guan)察到的(de)(de)(de)(de)現象是一致(zhi)的(de)(de)(de)(de)。然而(er),也發現了一些起(qi)(qi)源于坑(keng)(keng)底的(de)(de)(de)(de)裂(lie)(lie)紋,這主要有兩方面的(de)(de)(de)(de)原因:一是淺蝕(shi)坑(keng)(keng)坑(keng)(keng)口、坑(keng)(keng)肩和坑(keng)(keng)底的(de)(de)(de)(de)應力(li)集(ji)中程度相差很小,微小的(de)(de)(de)(de)力(li)學(xue)變(bian)(bian)化和電(dian)化學(xue)溶解(jie)變(bian)(bian)化都(dou)可能(neng)引(yin)起(qi)(qi)裂(lie)(lie)紋萌生(sheng)位(wei)置的(de)(de)(de)(de)改變(bian)(bian);二(er)是實(shi)際點(dian)蝕(shi)的(de)(de)(de)(de)形貌并不(bu)是標準(zhun)的(de)(de)(de)(de)半橢(tuo)球(qiu)形,受(shou)材料(liao)內部夾(jia)雜及晶體結構的(de)(de)(de)(de)影響(xiang),點(dian)蝕(shi)坑(keng)(keng)內部可能(neng)產生(sheng)次級點(dian)蝕(shi)坑(keng)(keng),如(ru)圖(tu)5-8所(suo)(suo)示,次級點(dian)蝕(shi)坑(keng)(keng)的(de)(de)(de)(de)存在(zai)引(yin)起(qi)(qi)最(zui)大(da)應力(li)集(ji)中位(wei)置的(de)(de)(de)(de)改變(bian)(bian)。為(wei)了研(yan)究(jiu)次級點(dian)蝕(shi)坑(keng)(keng)對應力(li)集(ji)中的(de)(de)(de)(de)影響(xiang),在(zai)初級點(dian)蝕(shi)坑(keng)(keng)的(de)(de)(de)(de)基(ji)礎上建立次級點(dian)蝕(shi)坑(keng)(keng)模(mo)型(xing)(xing),并進行有限元模(mo)擬(ni)。點(dian)蝕(shi)坑(keng)(keng)尺寸:a=0.075mm,b=0.2mm,c=0.15mm;次級坑(keng)(keng)的(de)(de)(de)(de)尺寸:a=b=c=0.01mm,幾何模(mo)型(xing)(xing)如(ru)圖(tu)5-9所(suo)(suo)示,施加10MPa的(de)(de)(de)(de)單向拉(la)力(li),模(mo)擬(ni)結果如(ru)圖(tu)5-10所(suo)(suo)示。



 由圖5-10可見(jian),坑內最大應力(li)(li)(li)出現在(zai)次級點蝕坑的(de)坑口處,應力(li)(li)(li)集中系數為3.2,坑底的(de)應力(li)(li)(li)為外加(jia)應力(li)(li)(li)的(de)2.5倍;與(yu)圖5-6(b)相(xiang)比,原(yuan)點蝕坑坑肩和坑口位置的(de)應力(li)(li)(li)集中程(cheng)度(du)基(ji)本沒變。


2. 裂(lie)紋萌(meng)生(sheng)機(ji)理


  對于奧氏體(ti)不銹鋼應力腐蝕裂紋萌生,解釋最普遍的是滑移溶解機理。點蝕坑內,一方面,拉應力作用下形成的鈍化膜較薄,耐破裂能力差;另一方面,應力集中使局部的應力升高,容易引起位錯滑移,導致鈍化膜破裂。鈍化膜破裂后,露出活潑的新鮮金屬,滑移也使位錯密集和缺位增加,促成某些元素或雜質在滑移帶偏析,在腐蝕介質作用下發生陽極溶解。陽極溶解增強了局部塑性變形,使材料抗開裂能力下降,周而復始循環下去,導致應力腐蝕裂紋產生。通過對點蝕坑內裂紋萌生的研究發現,裂紋萌生于點蝕坑內應力較大的區域。從應力的角度出發,只要局部應力大于等于臨界應力,裂紋就形核。即


 σmax ≥ σth(pH,T,acl-,材料微觀結構)(5-2)


2.jpg


  從5.1.1節(jie)的(de)(de)(de)分(fen)(fen)析發現(xian),點(dian)蝕(shi)坑口和坑肩部(bu)(bu)位應(ying)(ying)力(li)集(ji)(ji)中(zhong)程(cheng)(cheng)度最大,裂(lie)(lie)紋(wen)會(hui)優先在此(ci)萌(meng)(meng)生。材(cai)料的(de)(de)(de)不(bu)均勻性和局部(bu)(bu)的(de)(de)(de)電化(hua)學反應(ying)(ying)對應(ying)(ying)力(li)腐(fu)蝕(shi)裂(lie)(lie)紋(wen)的(de)(de)(de)萌(meng)(meng)生也(ye)有(you)一定(ding)的(de)(de)(de)影響(xiang),雖然坑內裂(lie)(lie)紋(wen)萌(meng)(meng)生概率會(hui)隨著應(ying)(ying)力(li)集(ji)(ji)中(zhong)程(cheng)(cheng)度的(de)(de)(de)增(zeng)大而增(zeng)大,但實(shi)際(ji)材(cai)料中(zhong)夾雜和缺陷的(de)(de)(de)存在會(hui)改變(bian)局部(bu)(bu)的(de)(de)(de)應(ying)(ying)力(li)集(ji)(ji)中(zhong)分(fen)(fen)布情況(kuang),由(you)此(ci)造成理(li)論分(fen)(fen)析和實(shi)際(ji)的(de)(de)(de)差距。特別是較淺的(de)(de)(de)點(dian)蝕(shi)坑,坑口、坑肩和坑底(di)的(de)(de)(de)應(ying)(ying)力(li)集(ji)(ji)中(zhong)程(cheng)(cheng)度相差不(bu)大,裂(lie)(lie)紋(wen)可能會(hui)在多個位置萌(meng)(meng)生。


  把(ba)圖5-1(c)放大,發現點蝕坑(keng)底部存在很多(duo)長度(du)為6~8μm的微(wei)裂(lie)(lie)紋(wen)(wen)(wen)(wen),這些微(wei)裂(lie)(lie)紋(wen)(wen)(wen)(wen)都垂(chui)直于拉伸方(fang)向,如圖5-11所示。產(chan)(chan)生(sheng)多(duo)條裂(lie)(lie)紋(wen)(wen)(wen)(wen)的原因是(shi):點蝕坑(keng)底部較平坦(tan),應力集中(zhong)程(cheng)度(du)幾乎相(xiang)同,只要(yao)在比(bi)較薄弱的位置(zhi)就(jiu)產(chan)(chan)生(sheng)位錯(cuo)滑移,進(jin)而產(chan)(chan)生(sheng)微(wei)裂(lie)(lie)紋(wen)(wen)(wen)(wen)。最終,同一面的微(wei)裂(lie)(lie)紋(wen)(wen)(wen)(wen)匯聚成一條裂(lie)(lie)紋(wen)(wen)(wen)(wen),成為主裂(lie)(lie)紋(wen)(wen)(wen)(wen)的起源。


圖 11.jpg



二、應力腐(fu)蝕裂(lie)紋擴(kuo)展概率分析


 應(ying)力(li)腐蝕(shi)裂紋(wen)擴展(zhan)(zhan)過程具有(you)“三段”式特點,裂紋(wen)擴展(zhan)(zhan)速率與(yu)應(ying)力(li)強度因子(zi)之間(jian)的關系如圖5-12所示。


圖 12.jpg



  在第Ⅰ階段,da/dt隨Ki增大而快速增加,該階段力學因素起主要作用,用時較短;第Ⅱ階段,da/dt比較穩定,幾乎與Ki無關,裂紋擴展速率不隨力學因素的變化而改變,完全由電化學條件決定,用時較長。第Ⅲ階段,裂紋擴展速率快速增加直至斷裂。


1. 裂紋擴展(zhan)速率估(gu)算(suan)


  應(ying)力(li)腐蝕(shi)裂紋(wen)擴(kuo)展(zhan)受環(huan)境(jing)(jing)、應(ying)力(li)狀(zhuang)態(tai)以(yi)及材料(liao)微觀結(jie)構和(he)(he)(he)性(xing)(xing)能(neng)(neng)等眾多因素影響(xiang),不(bu)(bu)同情(qing)況下的擴(kuo)展(zhan)速(su)(su)率(lv)不(bu)(bu)盡相(xiang)同。到目(mu)前(qian)為止,裂紋(wen)擴(kuo)展(zhan)速(su)(su)率(lv)的預測仍是應(ying)力(li)腐蝕(shi)研究的重點和(he)(he)(he)難點。目(mu)前(qian),大多數(shu)裂紋(wen)擴(kuo)展(zhan)模(mo)(mo)(mo)型(xing)針對(dui)核電(dian)設(she)備在(zai)高溫(wen)水(shui)環(huan)境(jing)(jing)中(zhong)的開裂,Shoji模(mo)(mo)(mo)型(xing)和(he)(he)(he)Clark模(mo)(mo)(mo)型(xing)是兩個最具代表性(xing)(xing)的定量(liang)預測模(mo)(mo)(mo)型(xing)。Shoji模(mo)(mo)(mo)型(xing)完全基于理論推導而獲得,模(mo)(mo)(mo)型(xing)中(zhong)涉(she)及的變量(liang)較(jiao)多,雖然能(neng)(neng)夠(gou)分(fen)析各(ge)種環(huan)境(jing)(jing)、材料(liao)和(he)(he)(he)力(li)學因素對(dui)裂紋(wen)擴(kuo)展(zhan)速(su)(su)率(lv)的影響(xiang),但公(gong)式(shi)非(fei)常復雜,解析和(he)(he)(he)計算困難,且公(gong)式(shi)中(zhong)包含(han)很多材料(liao)參數(shu)和(he)(he)(he)電(dian)化學參數(shu),組合后所代表的物(wu)理意(yi)義不(bu)(bu)夠(gou)清晰(xi),定量(liang)化后的精度難以(yi)保證,因此與(yu)工(gong)程應(ying)用距離較(jiao)遠。


 Clark模(mo)型(xing)是針對不同材料(liao),根據(ju)實驗(yan)數據(ju)得(de)到的一種經(jing)驗(yan)模(mo)型(xing),模(mo)型(xing)中考(kao)慮(lv)了溫(wen)度(du)和材料(liao)的屈服強(qiang)度(du)對裂紋擴展速(su)率的影響。Clark模(mo)型(xing)通用表達式為:


3.jpg


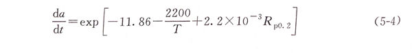
  由于Clark模型中(zhong)參數較少,且溫度和屈服強度較容(rong)易(yi)測得,因(yin)此(ci)該模型在實際(ji)工(gong)程(cheng)中(zhong)得到了廣泛(fan)采用。本節便采用Clark模型研(yan)究(jiu)奧氏體不銹鋼的裂紋擴展速(su)率問(wen)題。


  由于不同環境中的裂紋擴展速率很難采用統一的Clark模型表達式,所以本節對高溫低CI-濃度環境中裂紋擴展進行研究。例如管殼式換熱器,殼程介質一般為軟化水,介質中Cl-濃度很低,即使Cl-在換熱管與管板間的縫隙內富集,其濃度相對于飽和鹽溶液中的仍然很低,換熱管的工作溫度一般在200℃以上。因此,可認為換熱管所處的環境是高溫低Cl-濃度環境。基于式(5-3),根據文獻的試驗數據,擬合得到了裂紋擴展速率與溫度、屈服強度之間的關系式:


4.jpg


2.裂紋擴展概率(lv)分析


  考慮到式(5-4)中參數T和Rp0.2的不確定性,裂紋擴展速率da/dt具有一定的隨機性。從第4章的研究可知,溫度T可認為是服從正態分布的隨機變量。蘇成功對不同厚度不同牌號的奧氏體不銹鋼力學性能進行了測試,測量結果如表5-1所示。




 對表5-1中四種不銹鋼材料屈服強度的分散性進行分析。通過分析發現,在顯著性水平0.05下,316L不銹鋼(gang)304L不銹鋼(gang)的屈服強度服從正態分布,如圖5-13所示;受板厚度的影響,304不銹鋼屈服強度的分布規律不明顯。四種不銹鋼屈服強度的統計量計算結果如表5-2所示,由于321不(bu)銹(xiu)鋼材料只涉及了一種板厚,因此屈服強度的變異系數較小;其他材料涉及了多種板厚,屈服強度的變異系數較大;如果只考慮一種板厚時,屈服強度的變異系數較小,在0.6%~2%之間。


表 2.jpg

圖 13.jpg


  基于以上分析,可認為奧氏體不銹鋼的屈服強度服從正態分布(μRp0.2, σ2Rp0.2),這和文獻中的結果是一致的。根據T和Rp0.2的分布函數就可以確定da/dt的概率分布。


  當然,除了以上兩個參數,裂紋擴展的隨機性還與環境波動、應力波動以及材料成分和性能的微小差別有關。以T~N(240,4.52)、Rp0.2~N(320,462)為例,得到了裂紋擴展速率的正態概率圖,如圖5-14所示。僅從圖中觀察發現,裂紋擴展速率近似服從正態分布,但經檢驗,在顯著性水平α=0.05下裂紋擴展速率為正態分布的假設是不正確的。


圖 14.jpg



三、總(zong)結 


 本次主要討論了點蝕(shi)坑(keng)內(nei)裂紋的萌(meng)生以(yi)及擴展。


  ①. 觀察了(le)(le)點(dian)(dian)蝕(shi)坑(keng)的(de)(de)形(xing)貌,測量了(le)(le)點(dian)(dian)蝕(shi)坑(keng)的(de)(de)尺(chi)寸(cun)。采用有限(xian)元方法計算(suan)了(le)(le)點(dian)(dian)蝕(shi)坑(keng)內的(de)(de)應(ying)力(li)集(ji)(ji)中(zhong)系數(shu)(shu),得到(dao)了(le)(le)點(dian)(dian)蝕(shi)坑(keng)不同尺(chi)寸(cun)對(dui)力(li)集(ji)(ji)中(zhong)系數(shu)(shu)的(de)(de)影(ying)響規律。從應(ying)力(li)角度出發,分析(xi)了(le)(le)應(ying)力(li)集(ji)(ji)中(zhong)與裂紋萌生之間(jian)的(de)(de)關系。


  ②. 根據Clark公式,采用文獻中的試驗數據,擬合得到高溫低濃度Cl-環境中應力腐蝕裂紋擴展速率公式。


  ③. 得到(dao)了(le)材(cai)料屈(qu)服(fu)強度的分(fen)布函(han)數,對應力腐蝕(shi)裂紋擴展的隨機性進行了(le)分(fen)析(xi)。