一(yi)、坯料(liao)穿(擴)孔(kong)時的金屬流動


 不(bu)銹(xiu)鋼管(guan)擠壓生產工藝過程中的穿孔工藝是指在立式穿孔機上,采用特殊形狀的穿孔頭,將實心的坯料穿孔成空心坯。而擴孔工藝則是將經預鉆孔的空心坯料在立式穿(擴)孔機上,采用特殊形狀的擴孔頭,進行空心坯的再擴孔。


 實心坯(pi)的穿孔和(he)鉆(zhan)孔坯(pi)的擴孔,其金(jin)屬流(liu)動可以(yi)按(an)相(xiang)同的圖(tu)像來描述。


1. 實心坯料穿孔時的金屬流動


  為了研究在立式(shi)穿孔(kong)機上穿孔(kong)時金屬的(de)流動,采用在兩端刻(ke)有坐標網格(ge),不帶潤(run)滑劑(ji)的(de)坯料鐓粗后,穿孔(kong)“中止”,從徑(jing)向(xiang)平面上取樣制作顯微磨片(圖3-27)來進行分析。


  由圖3-27可以看出,穿孔頭(tou)下(xia)端面(mian)形成倒錐形體的金屬(shu)“停滯區”,其大小取決于(yu)穿孔頭(tou)的形狀(zhuang)和所使(shi)用的工藝潤滑劑(ji)的效果。


  而從(cong)穿孔余(yu)料(圖3-28)可以看出,在(zai)其上(shang)端(duan)面(圖3-28(a))留(liu)有(you)(you)坐標網格(ge)(ge)的(de)痕跡(ji),下端(duan)面(圖3-28(b))也留(liu)有(you)(you)坐標網格(ge)(ge)的(de)痕跡(ji),并在(zai)其徑向斷面的(de)顯微磨(mo)片上(shang)看得出有(you)(you)倒錐形“停(ting)滯區”的(de)金屬流(liu)線(xian)痕跡(ji)(圖3-28(c))。


圖3-28.jpg


  據(ju)上(shang)所述,對于不帶(dai)玻(bo)璃潤滑劑的實心坯料穿孔工藝過程的金屬流動可做如(ru)下描(miao)述:


 當穿(chuan)孔過程開始時(shi),坯(pi)料(liao)進(jin)行預鐓粗,使坯(pi)料(liao)沿(yan)(yan)圓周方向(xiang)金屬(shu)(shu)流(liu)動充滿穿(chuan)孔筒。此時(shi),坯(pi)料(liao)直(zhi)徑(jing)與(yu)穿(chuan)孔筒直(zhi)徑(jing)相同。當穿(chuan)孔桿下(xia)(xia)降,穿(chuan)孔頭(tou)接(jie)觸(chu)坯(pi)料(liao)上端(duan)面時(shi),由于工具與(yu)接(jie)觸(chu)坯(pi)料(liao)端(duan)面間的(de)摩擦,在(zai)其接(jie)觸(chu)面下(xia)(xia)形成倒錐體(ti)形的(de)“停(ting)滯區(qu)”。當穿(chuan)孔桿繼續下(xia)(xia)降時(shi),停(ting)滯的(de)錐體(ti)狀(zhuang)金屬(shu)(shu)成為穿(chuan)孔頭(tou)的(de)“前錐”,并(bing)隨著穿(chuan)孔頭(tou)的(de)向(xiang)下(xia)(xia)推進(jin),“前錐”金屬(shu)(shu)楔入坯(pi)料(liao)中心(xin),使向(xiang)徑(jing)向(xiang)延(yan)伸的(de)變形金屬(shu)(shu)沿(yan)(yan)著穿(chuan)孔頭(tou)周邊和穿(chuan)孔筒內壁(bi)向(xiang)上流(liu)動。


 在(zai)(zai)穿(chuan)孔(kong)過程結束時,穿(chuan)孔(kong)頭下(xia)面的停滯金屬(shu)留在(zai)(zai)穿(chuan)孔(kong)余(yu)料的上端面。穿(chuan)孔(kong)余(yu)料進入“封底”剪切環后(hou)被切斷。而穿(chuan)孔(kong)坯料的下(xia)表面則由未變形的金屬(shu)組成。


 在(zai)穿(chuan)孔(kong)過程中,由(you)于穿(chuan)孔(kong)頭下面部(bu)分金(jin)屬(shu)產(chan)生(sheng)最強烈(lie)的變(bian)形(xing),導致(zhi)坯(pi)料中心部(bu)位金(jin)屬(shu)的嚴重不均勻變(bian)形(xing)。穿(chuan)孔(kong)空心坯(pi)內表(biao)面金(jin)屬(shu)強烈(lie)的不均勻變(bian)形(xing)是最容易產(chan)生(sheng)缺陷的部(bu)位。因而,往往在(zai)低塑(su)性材料管(guan)材生(sheng)產(chan)時(shi),穿(chuan)孔(kong)空心坯(pi)在(zai)擠壓前(qian),會進行(xing)冷卻、酸洗(xi)、檢查及磨(mo)修(xiu)工序。


穿(chuan)(chuan)孔(kong)(kong)時,玻璃(li)(li)潤(run)(run)滑(hua)(hua)劑的(de)(de)(de)(de)(de)使用(yong),使穿(chuan)(chuan)孔(kong)(kong)頭下面(mian)的(de)(de)(de)(de)(de)金(jin)屬(shu)停滯區大(da)大(da)減(jian)小,甚至良好的(de)(de)(de)(de)(de)潤(run)(run)滑(hua)(hua)劑可以(yi)完全取代金(jin)屬(shu)停滯區的(de)(de)(de)(de)(de)體積。特(te)別是(shi)下端面(mian)凹(ao)形穿(chuan)(chuan)孔(kong)(kong)頭(圖2-28)的(de)(de)(de)(de)(de)采用(yong),使穿(chuan)(chuan)孔(kong)(kong)頭的(de)(de)(de)(de)(de)凹(ao)形端面(mian)的(de)(de)(de)(de)(de)接觸(chu)處成為(wei)潤(run)(run)滑(hua)(hua)劑的(de)(de)(de)(de)(de)“特(te)殊(shu)儲存器(qi)”,潤(run)(run)滑(hua)(hua)劑的(de)(de)(de)(de)(de)熔化部分在穿(chuan)(chuan)孔(kong)(kong)頭的(de)(de)(de)(de)(de)周圍及其(qi)與變形金(jin)屬(shu)之間被均勻地擠出一層玻璃(li)(li)潤(run)(run)滑(hua)(hua)劑,潤(run)(run)滑(hua)(hua)穿(chuan)(chuan)孔(kong)(kong)頭和坯料的(de)(de)(de)(de)(de)內(nei)表(biao)面(mian),以(yi)降低(di)(di)摩擦系數(shu),使剪切變形限制在潤(run)(run)滑(hua)(hua)層的(de)(de)(de)(de)(de)范圍內(nei),從而降低(di)(di)了不(bu)銹鋼管坯內(nei)表(biao)面(mian)產(chan)生缺陷(xian)的(de)(de)(de)(de)(de)可能(neng)性,尤其(qi)是(shi)對(dui)于長坯料的(de)(de)(de)(de)(de)生產(chan)效果更為(wei)顯著。


同樣(yang),坯料的(de)(de)(de)外涂(tu)粉為坯料金屬與穿孔筒內襯的(de)(de)(de)內表面(mian)接觸(chu)提供了潤滑(hua)條件,使穿孔時的(de)(de)(de)摩擦力和(he)不均勻變形區減小(xiao),有利于空心坯表面(mian)質量的(de)(de)(de)提高。


 2. 預(yu)鉆孔坯料擴孔時的金屬(shu)流動


 預鉆孔坯(pi)料(liao)的擴孔過程沒有(you)坯(pi)料(liao)的鐓粗工序(xu)。


 擴(kuo)孔過程開(kai)始(shi)(shi)時,在特(te)殊形狀擴(kuo)孔頭向(xiang)(xiang)下移動(dong)的作用(yong)下,坯料(liao)(liao)金屬(shu)開(kai)始(shi)(shi)塑(su)性流(liu)動(dong)。金屬(shu)首(shou)先向(xiang)(xiang)側面(mian)擴(kuo)張(zhang)流(liu)動(dong),至充滿坯料(liao)(liao)和(he)穿孔筒內表面(mian)之間的間隙。然(ran)后(hou)向(xiang)(xiang)上流(liu)動(dong)。當擴(kuo)孔時的擴(kuo)徑力轉變為剪切力的瞬間,進行擴(kuo)孔余料(liao)(liao)的切除,結束整(zheng)個(ge)擴(kuo)孔過程。


擴孔過程中各階段(duan)金(jin)屬的流動(dong)如(ru)圖(tu)3-29所示(shi)。


圖3-29.jpg



二、坯料穿(擴(kuo))孔時變(bian)形力的確(que)定


 1. 坯料穿孔時鐓粗力的(de)確定(ding)


  表述在穿孔筒中(zhong)鐓壓(ya)圓柱體(ti)的(de)公式尚無,采用Siebel自由(you)(you)鍛(duan)(duan)公式來(lai)確定坯料的(de)鐓粗(cu)力(li)(li)。一般模鍛(duan)(duan)的(de)壓(ya)力(li)(li)為自由(you)(you)鍛(duan)(duan)壓(ya)力(li)(li)的(de)一倍。根(gen)據阿亨工業大學塑性(xing)變(bian)形研究所(suo)的(de)試驗指出,鍛(duan)(duan)壓(ya)力(li)(li)模鍛(duan)(duan)比自由(you)(you)鍛(duan)(duan)大一倍以(yi)上。坯料穿孔時鐓粗(cu)力(li)(li)的(de)計算(suan)公式如下:


式 9.jpg


尼科波爾南方鋼管廠計算敦粗力的(de)簡(jian)單公式:




2. 實(shi)心坯料穿孔(kong)時穿孔(kong)力的確定


 實心坯料穿孔時的計(ji)算公式如下:


式 11.jpg


 b. 尼科波爾南方(fang)鋼管廠確(que)定(ding)穿孔力的公式:


式 12.jpg

式 13.jpg


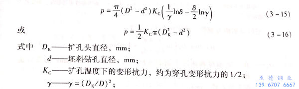
3. 預(yu)鉆孔坯料(liao)擴孔時擴孔力的(de)確(que)定(ding)


 預鉆孔坯料(liao)擴(kuo)孔時擴(kuo)孔力的(de)計算公式(shi)如下:


式 15.jpg

6.jpg


 尼科波(bo)爾(er)南方(fang)鋼管廠的經驗認為:


  a. 在(zai)預鉆孔(kong)坯料(liao)擴(kuo)孔(kong)時,坯料(liao)在(zai)穿孔(kong)機上(shang)不進行(xing)鐓粗。其延(yan)伸系數(shu)取大于1,但比實心(xin)坯料(liao)穿孔(kong)時小。


  b. 擴孔(kong)力可以按實心坯料穿(chuan)孔(kong)的公式來計(ji)算,其大(da)小取為計(ji)算值的25%~30%.