目前,研究不銹鋼應力腐蝕概率的模型有兩類,隨機變量模型和隨機過程模型。


1. 隨機變(bian)量模(mo)型(xing)


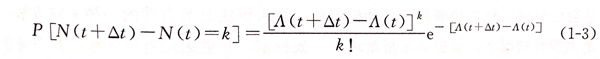
  該(gai)模型(xing)(xing)是(shi)在(zai)(zai)確(que)(que)(que)定(ding)(ding)論(lun)基(ji)礎上(shang)發(fa)展起來的(de)(de)(de)(de)。首先確(que)(que)(que)定(ding)(ding)系統退化(hua)特征(zheng)(zheng)值(zhi),然后(hou)再建(jian)立特征(zheng)(zheng)值(zhi)與相(xiang)關變(bian)(bian)(bian)(bian)量的(de)(de)(de)(de)關系式,再將公式中(zhong)(zhong)的(de)(de)(de)(de)變(bian)(bian)(bian)(bian)量看成隨(sui)(sui)(sui)機(ji)(ji)變(bian)(bian)(bian)(bian)量,最后(hou)通(tong)過相(xiang)應的(de)(de)(de)(de)計算方(fang)法(fa)得出結(jie)果。隨(sui)(sui)(sui)機(ji)(ji)變(bian)(bian)(bian)(bian)量是(shi)影響特征(zheng)(zheng)值(zhi)的(de)(de)(de)(de)一些重要(yao)(yao)物理量,可以是(shi)自變(bian)(bian)(bian)(bian)量,也可以是(shi)因變(bian)(bian)(bian)(bian)量,還可以是(shi)無關變(bian)(bian)(bian)(bian)量。隨(sui)(sui)(sui)機(ji)(ji)變(bian)(bian)(bian)(bian)量可分(fen)(fen)(fen)為離(li)散(san)型(xing)(xing)隨(sui)(sui)(sui)機(ji)(ji)變(bian)(bian)(bian)(bian)量和(he)連續型(xing)(xing)隨(sui)(sui)(sui)機(ji)(ji)變(bian)(bian)(bian)(bian)量,離(li)散(san)型(xing)(xing)隨(sui)(sui)(sui)機(ji)(ji)變(bian)(bian)(bian)(bian)量具有分(fen)(fen)(fen)布(bu)(bu)(bu)(bu)律,連續型(xing)(xing)隨(sui)(sui)(sui)機(ji)(ji)變(bian)(bian)(bian)(bian)量具有概(gai)(gai)(gai)率(lv)(lv)密度函數(shu)f(x)以及(ji)(ji)概(gai)(gai)(gai)率(lv)(lv)分(fen)(fen)(fen)布(bu)(bu)(bu)(bu)函數(shu)F(x),分(fen)(fen)(fen)布(bu)(bu)(bu)(bu)律和(he)分(fen)(fen)(fen)布(bu)(bu)(bu)(bu)函數(shu)可分(fen)(fen)(fen)別描述不同類(lei)(lei)型(xing)(xing)隨(sui)(sui)(sui)機(ji)(ji)變(bian)(bian)(bian)(bian)量的(de)(de)(de)(de)概(gai)(gai)(gai)率(lv)(lv)特性,對于研究(jiu)應力腐(fu)蝕隨(sui)(sui)(sui)機(ji)(ji)性中(zhong)(zhong)的(de)(de)(de)(de)隨(sui)(sui)(sui)機(ji)(ji)變(bian)(bian)(bian)(bian)量一般(ban)都是(shi)連續型(xing)(xing)的(de)(de)(de)(de),如材(cai)料性能、環境(jing)中(zhong)(zhong)離(li)子(zi)濃度、溫(wen)度、載荷(he)等(deng)。確(que)(que)(que)定(ding)(ding)隨(sui)(sui)(sui)機(ji)(ji)變(bian)(bian)(bian)(bian)量分(fen)(fen)(fen)布(bu)(bu)(bu)(bu)類(lei)(lei)型(xing)(xing)以及(ji)(ji)參(can)數(shu)是(shi)概(gai)(gai)(gai)率(lv)(lv)研究(jiu)的(de)(de)(de)(de)重要(yao)(yao)內容,它們(men)將直(zhi)接影響失(shi)效概(gai)(gai)(gai)率(lv)(lv)的(de)(de)(de)(de)計算結(jie)果及(ji)(ji)其精確(que)(que)(que)度。因此,隨(sui)(sui)(sui)機(ji)(ji)變(bian)(bian)(bian)(bian)量的(de)(de)(de)(de)概(gai)(gai)(gai)率(lv)(lv)分(fen)(fen)(fen)布(bu)(bu)(bu)(bu)特性研究(jiu)是(shi)一項基(ji)礎性的(de)(de)(de)(de)研究(jiu)工作(zuo)。一般(ban)由觀(guan)測數(shu)據(ju)確(que)(que)(que)定(ding)(ding)隨(sui)(sui)(sui)機(ji)(ji)變(bian)(bian)(bian)(bian)量概(gai)(gai)(gai)率(lv)(lv)分(fen)(fen)(fen)布(bu)(bu)(bu)(bu)類(lei)(lei)型(xing)(xing),并(bing)在(zai)(zai)此基(ji)礎上(shang)確(que)(que)(que)定(ding)(ding)其參(can)數(shu);當由已有的(de)(de)(de)(de)觀(guan)測數(shu)據(ju)難以確(que)(que)(que)定(ding)(ding)該(gai)隨(sui)(sui)(sui)機(ji)(ji)變(bian)(bian)(bian)(bian)量的(de)(de)(de)(de)理論(lun)分(fen)(fen)(fen)布(bu)(bu)(bu)(bu)形式時,則定(ding)(ding)義一個(ge)實驗(yan)分(fen)(fen)(fen)布(bu)(bu)(bu)(bu),再進(jin)行擬合(he)檢驗(yan),最后(hou)根據(ju)有限比較法(fa)選擇其中(zhong)(zhong)的(de)(de)(de)(de)最優概(gai)(gai)(gai)率(lv)(lv)分(fen)(fen)(fen)布(bu)(bu)(bu)(bu)類(lei)(lei)型(xing)(xing)作(zuo)為參(can)數(shu)的(de)(de)(de)(de)概(gai)(gai)(gai)率(lv)(lv)分(fen)(fen)(fen)布(bu)(bu)(bu)(bu)類(lei)(lei)型(xing)(xing)。正態分(fen)(fen)(fen)布(bu)(bu)(bu)(bu)、Weibull分(fen)(fen)(fen)布(bu)(bu)(bu)(bu)、指數(shu)分(fen)(fen)(fen)布(bu)(bu)(bu)(bu)以及(ji)(ji)Poisson(泊松)分(fen)(fen)(fen)布(bu)(bu)(bu)(bu)等(deng)都是(shi)應力腐(fu)蝕概(gai)(gai)(gai)率(lv)(lv)分(fen)(fen)(fen)析中(zhong)(zhong)常用的(de)(de)(de)(de)概(gai)(gai)(gai)率(lv)(lv)分(fen)(fen)(fen)布(bu)(bu)(bu)(bu)類(lei)(lei)型(xing)(xing)。


  參(can)(can)數(shu)(shu)估(gu)計的(de)(de)(de)方(fang)(fang)法(fa)(fa)(fa)有(you)矩估(gu)計法(fa)(fa)(fa)、最(zui)(zui)大(da)(da)(da)(極大(da)(da)(da))似然法(fa)(fa)(fa)、最(zui)(zui)小二乘法(fa)(fa)(fa)和貝葉斯(si)估(gu)計法(fa)(fa)(fa),其(qi)中矩估(gu)計法(fa)(fa)(fa)、最(zui)(zui)大(da)(da)(da)(極大(da)(da)(da))似然法(fa)(fa)(fa)最(zui)(zui)為(wei)常用(yong)(yong)(yong)(yong)(yong)。矩估(gu)計法(fa)(fa)(fa)對任何(he)總(zong)體(ti)都可以用(yong)(yong)(yong)(yong)(yong),不需(xu)要事先(xian)知道總(zong)體(ti)的(de)(de)(de)分(fen)(fen)布(bu)(bu),方(fang)(fang)法(fa)(fa)(fa)簡單,但是,變量(liang)分(fen)(fen)布(bu)(bu)特征沒有(you)得到有(you)效使用(yong)(yong)(yong)(yong)(yong),一(yi)般情況下,該方(fang)(fang)法(fa)(fa)(fa)的(de)(de)(de)估(gu)計量(liang)有(you)多個。最(zui)(zui)大(da)(da)(da)似然法(fa)(fa)(fa)是在總(zong)體(ti)類型(xing)(xing)已知條件下使用(yong)(yong)(yong)(yong)(yong)的(de)(de)(de)一(yi)種(zhong)參(can)(can)數(shu)(shu)估(gu)計方(fang)(fang)法(fa)(fa)(fa),認為(wei)未(wei)知參(can)(can)數(shu)(shu)的(de)(de)(de)估(gu)計值應使樣(yang)(yang)本觀測(ce)值出現(xian)的(de)(de)(de)概率(lv)(lv)最(zui)(zui)大(da)(da)(da)。有(you)些隨機參(can)(can)數(shu)(shu)總(zong)體(ti)服(fu)從什(shen)么分(fen)(fen)布(bu)(bu)是未(wei)知的(de)(de)(de),我們要對總(zong)體(ti)是否服(fu)從某種(zhong)分(fen)(fen)布(bu)(bu)作(zuo)檢(jian)驗(yan)(yan)(yan)(yan)(yan)(yan),這樣(yang)(yang)的(de)(de)(de)檢(jian)驗(yan)(yan)(yan)(yan)(yan)(yan)稱為(wei)分(fen)(fen)布(bu)(bu)的(de)(de)(de)檢(jian)驗(yan)(yan)(yan)(yan)(yan)(yan)。常用(yong)(yong)(yong)(yong)(yong)的(de)(de)(de)樣(yang)(yang)本概率(lv)(lv)分(fen)(fen)布(bu)(bu)檢(jian)驗(yan)(yan)(yan)(yan)(yan)(yan)方(fang)(fang)法(fa)(fa)(fa)主(zhu)要有(you):χ2檢(jian)驗(yan)(yan)(yan)(yan)(yan)(yan)、J-B檢(jian)驗(yan)(yan)(yan)(yan)(yan)(yan)、A-D檢(jian)驗(yan)(yan)(yan)(yan)(yan)(yan)、K-S檢(jian)驗(yan)(yan)(yan)(yan)(yan)(yan)以及(ji)正(zheng)態(tai)分(fen)(fen)布(bu)(bu)的(de)(de)(de)概率(lv)(lv)紙檢(jian)驗(yan)(yan)(yan)(yan)(yan)(yan)等。χ2檢(jian)驗(yan)(yan)(yan)(yan)(yan)(yan)法(fa)(fa)(fa)可適用(yong)(yong)(yong)(yong)(yong)于離散(san)型(xing)(xing)或(huo)連續型(xing)(xing)分(fen)(fen)布(bu)(bu),是一(yi)種(zhong)應用(yong)(yong)(yong)(yong)(yong)比較廣泛的(de)(de)(de)分(fen)(fen)布(bu)(bu)檢(jian)驗(yan)(yan)(yan)(yan)(yan)(yan)法(fa)(fa)(fa)。


2. 隨機過(guo)程模型


  隨(sui)(sui)機(ji)(ji)過(guo)程(cheng)(cheng)(cheng)(cheng)(cheng)按統(tong)計特(te)性可(ke)分為(wei)平(ping)(ping)(ping)穩(wen)隨(sui)(sui)機(ji)(ji)過(guo)程(cheng)(cheng)(cheng)(cheng)(cheng)和(he)(he)(he)非平(ping)(ping)(ping)穩(wen)隨(sui)(sui)機(ji)(ji)過(guo)程(cheng)(cheng)(cheng)(cheng)(cheng),按照記憶特(te)性可(ke)分為(wei)純粹(cui)隨(sui)(sui)機(ji)(ji)過(guo)程(cheng)(cheng)(cheng)(cheng)(cheng)、馬爾科夫隨(sui)(sui)機(ji)(ji)過(guo)程(cheng)(cheng)(cheng)(cheng)(cheng)和(he)(he)(he)獨立增量隨(sui)(sui)機(ji)(ji)過(guo)程(cheng)(cheng)(cheng)(cheng)(cheng);按概(gai)率分布函數(shu)(shu)可(ke)分為(wei)高斯隨(sui)(sui)機(ji)(ji)過(guo)程(cheng)(cheng)(cheng)(cheng)(cheng)和(he)(he)(he)非高斯隨(sui)(sui)機(ji)(ji)過(guo)程(cheng)(cheng)(cheng)(cheng)(cheng)。平(ping)(ping)(ping)穩(wen)隨(sui)(sui)機(ji)(ji)過(guo)程(cheng)(cheng)(cheng)(cheng)(cheng)是(shi)一類基本的(de)(de)、重要(yao)的(de)(de)隨(sui)(sui)機(ji)(ji)過(guo)程(cheng)(cheng)(cheng)(cheng)(cheng),實際(ji)工程(cheng)(cheng)(cheng)(cheng)(cheng)領域所遇到(dao)的(de)(de)很多概(gai)率問題都可(ke)以認為(wei)是(shi)平(ping)(ping)(ping)穩(wen)隨(sui)(sui)機(ji)(ji)過(guo)程(cheng)(cheng)(cheng)(cheng)(cheng),平(ping)(ping)(ping)穩(wen)隨(sui)(sui)機(ji)(ji)過(guo)程(cheng)(cheng)(cheng)(cheng)(cheng)的(de)(de)統(tong)計特(te)性不(bu)隨(sui)(sui)時間(jian)(jian)的(de)(de)變化而發(fa)生變化,也就是(shi)說,對于時間(jian)(jian)t的(de)(de)任意n個數(shu)(shu)值t1,t2,···,tn和(he)(he)(he)任意實數(shu)(shu)r,如(ru)果(guo)隨(sui)(sui)機(ji)(ji)過(guo)程(cheng)(cheng)(cheng)(cheng)(cheng)X(t)的(de)(de)n維分布函數(shu)(shu)滿足如(ru)下關系(xi)式(shi),則(ze)X(t)稱為(wei)平(ping)(ping)(ping)穩(wen)隨(sui)(sui)機(ji)(ji)過(guo)程(cheng)(cheng)(cheng)(cheng)(cheng)。


1.jpg

  在(zai)研究應力腐蝕(shi)隨(sui)機性(xing)問(wen)題中,泊(bo)松過(guo)程和馬爾科(ke)夫過(guo)程是常用(yong)的兩種隨(sui)機過(guo)程:


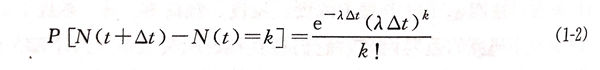
  ①. 泊(bo)松過程(cheng)是(shi)一種重要的(de)獨(du)立(li)增量過程(cheng),是(shi)服(fu)從(cong)泊(bo)松分(fen)布的(de)離散隨(sui)機(ji)過程(cheng)。其應滿足兩個條(tiao)件。不同時間區(qu)間內所發生事(shi)件的(de)數(shu)目是(shi)相互獨(du)立(li)的(de)隨(sui)機(ji)變量;在時間區(qu)間[t,t+Δ]內,發生事(shi)件數(shu)目的(de)概(gai)率(lv)分(fen)布為(wei):


2.jpg

  式中,λ為強度因子(zi),表示單位(wei)時間內事件發生的平均(jun)數(shu)。


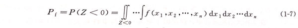
  齊(qi)次(ci)(ci)泊松(song)過程(cheng)(cheng)(homogenous Poison process,HPP)屬于平穩增量(liang)過程(cheng)(cheng),因此,λ為(wei)一正(zheng)常數,且均(jun)值(zhi)E[X(t)]=λt.平穩增量(liang)過程(cheng)(cheng)有時(shi)并不適(shi)合描(miao)述腐蝕的(de)(de)實際情況,因此引入了非(fei)齊(qi)次(ci)(ci)泊松(song)過程(cheng)(cheng)(non-homogenous Poisson process,NHPP).在非(fei)齊(qi)次(ci)(ci)泊松(song)過程(cheng)(cheng)中,強(qiang)度因子成為(wei)一個與(yu)事件有關的(de)(de)強(qiang)度函(han)數λ(t), 代(dai)表(biao)了不同起始時(shi)間(jian)段事件發生(sheng)的(de)(de)數目。事件在Δ時(shi)間(jian)內發生(sheng)k次(ci)(ci)的(de)(de)概率為(wei):


3.jpg


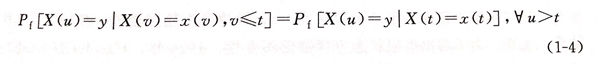
 ②. 馬爾科夫過(guo)(guo)程是(shi)一種(zhong)應用極(ji)為廣(guang)泛(fan)的隨(sui)機過(guo)(guo)程,常用來研究材(cai)料的退化過(guo)(guo)程。該過(guo)(guo)程具有如(ru)下特性,在已知目前狀(zhuang)態X(t)條(tiao)件(jian)下,它未來的狀(zhuang)態X(u)(u>t)不依賴(lai)于以往的狀(zhuang)態X(v)(v<t),只取決于當前狀(zhuang)態,即:


4.jpg

  在隨機(ji)過程研究(jiu)中,通常把(ba)狀(zhuang)(zhuang)(zhuang)態和時間(jian)離(li)散化,這種馬(ma)(ma)氏(shi)過程稱為馬(ma)(ma)爾(er)科(ke)(ke)夫鏈(lian)(lian)(Markov chain,又稱馬(ma)(ma)氏(shi)鏈(lian)(lian))。對于馬(ma)(ma)爾(er)科(ke)(ke)夫鏈(lian)(lian),最重要的是(shi)確定所有狀(zhuang)(zhuang)(zhuang)態間(jian)可見的兩兩轉移概率(lv)(lv),假(jia)設一個馬(ma)(ma)氏(shi)鏈(lian)(lian)總共有N個狀(zhuang)(zhuang)(zhuang)態,則其狀(zhuang)(zhuang)(zhuang)態轉移概率(lv)(lv)為一個NXN的矩陣,由一步(bu)轉移概率(lv)(lv)可以寫出其轉移矩陣為:


5.jpg


  理(li)論(lun)上,馬爾科夫過程能很好地滿足工程實(shi)際,但在實(shi)際應用中(zhong)會遇到不少問題,主要有兩(liang)個(ge)難點:實(shi)驗數據的測(ce)量和轉移概率的計(ji)算(suan)。


3. 失(shi)效概率計算


  根(gen)據可(ke)靠(kao)性理論,把結(jie)(jie)構(gou)的(de)可(ke)靠(kao)和失(shi)(shi)效兩(liang)種工作情況的(de)臨(lin)界狀態(tai)(tai)稱為(wei)結(jie)(jie)構(gou)的(de)極限狀態(tai)(tai)。GB 50153-2008 中對結(jie)(jie)構(gou)極限狀態(tai)(tai)的(de)定(ding)義為(wei):整(zheng)個結(jie)(jie)構(gou)或(huo)結(jie)(jie)構(gou)的(de)某(mou)一部分超過(guo)某(mou)一特(te)定(ding)狀態(tai)(tai)就不(bu)能滿足設計(ji)規定(ding)的(de)某(mou)一功(gong)能要(yao)(yao)求,此(ci)特(te)定(ding)狀態(tai)(tai)為(wei)該功(gong)能的(de)極限狀態(tai)(tai)。當結(jie)(jie)構(gou)喪失(shi)(shi)了(le)規定(ding)的(de)功(gong)能時,就認(ren)為(wei)失(shi)(shi)效。廣義的(de)“失(shi)(shi)效”認(ren)為(wei)只要(yao)(yao)出現以下三種情況就是失(shi)(shi)效:


  ①. 完全(quan)不能工作(完全(quan)喪失功能);


  ②. 雖仍能(neng)工作(zuo),但不能(neng)完全滿足(zu)規定的(de)功能(neng)(功能(neng)衰退(tui));


  ③. 能工作和完成規定(ding)功能,但不能確保(bao)安全,應更換維修(xiu)。


結(jie)構的(de)極限狀態(tai)方程為:


6.jpg

7.jpg


  失(shi)效(xiao)概率(lv)的(de)求(qiu)解(jie)(jie)(jie)(jie)方法(fa)主(zhu)要有三種:一是(shi)(shi)解(jie)(jie)(jie)(jie)析解(jie)(jie)(jie)(jie)法(fa);二(er)(er)是(shi)(shi)近似解(jie)(jie)(jie)(jie)法(fa);三是(shi)(shi)數值解(jie)(jie)(jie)(jie)法(fa),包括數值積分(fen)法(fa)和模擬法(fa)。解(jie)(jie)(jie)(jie)析解(jie)(jie)(jie)(jie)法(fa)是(shi)(shi)最(zui)直接的(de)一種求(qiu)解(jie)(jie)(jie)(jie)方法(fa),但絕(jue)大(da)多(duo)數情(qing)(qing)況(kuang)(kuang)下,解(jie)(jie)(jie)(jie)析解(jie)(jie)(jie)(jie)法(fa)很難(nan)求(qiu)出失(shi)效(xiao)概率(lv),只能(neng)采(cai)用(yong)(yong)近似解(jie)(jie)(jie)(jie)法(fa),其中最(zui)常用(yong)(yong)的(de)是(shi)(shi)一次(ci)二(er)(er)階矩法(fa)。對(dui)于應力S和強(qiang)度R都服從正態分(fen)布的(de)情(qing)(qing)況(kuang)(kuang),采(cai)用(yong)(yong)一次(ci)二(er)(er)階矩法(fa)計算可靠性(xing)系數β,一旦得(de)到可靠性(xing)系數,失(shi)效(xiao)概率(lv)可由下式計算:


8.jpg


  一(yi)(yi)(yi)次(ci)二(er)階矩(ju)法(fa)存在一(yi)(yi)(yi)定(ding)的(de)局(ju)限(xian)(xian)性: 一(yi)(yi)(yi)般情形(xing)下精度較(jiao)差(cha);極(ji)限(xian)(xian)狀(zhuang)態方(fang)程缺(que)乏不(bu)變性。為了(le)解決(jue)極(ji)限(xian)(xian)狀(zhuang)態方(fang)程缺(que)乏不(bu)變性,1974年,Hasofer與Lind 對一(yi)(yi)(yi)次(ci)二(er)階矩(ju)法(fa)進(jin)行了(le)改(gai)(gai)進(jin),后被稱為改(gai)(gai)進(jin)的(de)一(yi)(yi)(yi)次(ci)二(er)階矩(ju)法(fa),也稱為H-L法(fa)。


  前兩(liang)種(zhong)(zhong)方(fang)(fang)法(fa)(fa)(fa)(fa)都是(shi)(shi)(shi)針(zhen)對服從正(zheng)態分布的(de)(de)(de)(de)(de)隨機(ji)變(bian)量,而在實(shi)際(ji)工程(cheng)問題(ti)(ti)中,很多(duo)隨機(ji)變(bian)量往(wang)往(wang)為(wei)(wei)(wei)非正(zheng)態分布,針(zhen)對這種(zhong)(zhong)情況,Fiessler等提出了量正(zheng)態分析法(fa)(fa)(fa)(fa),這種(zhong)(zhong)方(fang)(fang)法(fa)(fa)(fa)(fa)可適應于(yu)求(qiu)解(jie)(jie)(jie)(jie)任(ren)意分布隨機(ji)變(bian)量的(de)(de)(de)(de)(de)失(shi)效(xiao)(xiao)(xiao)概(gai)(gai)(gai)率(lv)(lv)(lv)。數(shu)(shu)(shu)(shu)值(zhi)解(jie)(jie)(jie)(jie)法(fa)(fa)(fa)(fa)是(shi)(shi)(shi)求(qiu)解(jie)(jie)(jie)(jie)失(shi)效(xiao)(xiao)(xiao)概(gai)(gai)(gai)率(lv)(lv)(lv)的(de)(de)(de)(de)(de)常用(yong)(yong)(yong)(yong)方(fang)(fang)法(fa)(fa)(fa)(fa),數(shu)(shu)(shu)(shu)值(zhi)積分法(fa)(fa)(fa)(fa)和解(jie)(jie)(jie)(jie)析解(jie)(jie)(jie)(jie)法(fa)(fa)(fa)(fa)一(yi)樣,都是(shi)(shi)(shi)直(zhi)接積分求(qiu)解(jie)(jie)(jie)(jie)結(jie)構(gou)的(de)(de)(de)(de)(de)失(shi)效(xiao)(xiao)(xiao)概(gai)(gai)(gai)率(lv)(lv)(lv),但是(shi)(shi)(shi)受(shou)(shou)聯(lian)合概(gai)(gai)(gai)率(lv)(lv)(lv)密度函(han)數(shu)(shu)(shu)(shu)復雜性(xing)的(de)(de)(de)(de)(de)影(ying)響,這種(zhong)(zhong)方(fang)(fang)法(fa)(fa)(fa)(fa)的(de)(de)(de)(de)(de)使(shi)用(yong)(yong)(yong)(yong)范圍受(shou)(shou)到限制;而數(shu)(shu)(shu)(shu)值(zhi)模(mo)擬(ni)(ni)法(fa)(fa)(fa)(fa)是(shi)(shi)(shi)解(jie)(jie)(jie)(jie)決復雜概(gai)(gai)(gai)率(lv)(lv)(lv)問題(ti)(ti)的(de)(de)(de)(de)(de)有(you)效(xiao)(xiao)(xiao)方(fang)(fang)法(fa)(fa)(fa)(fa)。隨著計(ji)算(suan)機(ji)容量和計(ji)算(suan)速度的(de)(de)(de)(de)(de)提高,目前,數(shu)(shu)(shu)(shu)值(zhi)模(mo)擬(ni)(ni)法(fa)(fa)(fa)(fa)成(cheng)為(wei)(wei)(wei)概(gai)(gai)(gai)率(lv)(lv)(lv)分析的(de)(de)(de)(de)(de)一(yi)種(zhong)(zhong)普遍方(fang)(fang)法(fa)(fa)(fa)(fa),數(shu)(shu)(shu)(shu)值(zhi)模(mo)擬(ni)(ni)的(de)(de)(de)(de)(de)主要作(zuo)用(yong)(yong)(yong)(yong)是(shi)(shi)(shi)把概(gai)(gai)(gai)率(lv)(lv)(lv)模(mo)型轉化為(wei)(wei)(wei)統(tong)計(ji)問題(ti)(ti),以(yi)便(bian)可以(yi)采用(yong)(yong)(yong)(yong)標準統(tong)計(ji)學方(fang)(fang)法(fa)(fa)(fa)(fa)分析結(jie)果。蒙特卡(ka)羅模(mo)擬(ni)(ni)法(fa)(fa)(fa)(fa)是(shi)(shi)(shi)一(yi)種(zhong)(zhong)傳統(tong)的(de)(de)(de)(de)(de)計(ji)算(suan)方(fang)(fang)法(fa)(fa)(fa)(fa),它的(de)(de)(de)(de)(de)基本思想是(shi)(shi)(shi)用(yong)(yong)(yong)(yong)基本隨機(ji)變(bian)量的(de)(de)(de)(de)(de)聯(lian)合概(gai)(gai)(gai)率(lv)(lv)(lv)密度函(han)數(shu)(shu)(shu)(shu)進行抽(chou)樣,用(yong)(yong)(yong)(yong)落(luo)入失(shi)效(xiao)(xiao)(xiao)域內(nei)樣本點的(de)(de)(de)(de)(de)個數(shu)(shu)(shu)(shu)與(yu)總樣本點的(de)(de)(de)(de)(de)個數(shu)(shu)(shu)(shu)之比作(zuo)為(wei)(wei)(wei)所定義的(de)(de)(de)(de)(de)失(shi)效(xiao)(xiao)(xiao)概(gai)(gai)(gai)率(lv)(lv)(lv)。該方(fang)(fang)法(fa)(fa)(fa)(fa)不(bu)(bu)受(shou)(shou)隨機(ji)變(bian)量維數(shu)(shu)(shu)(shu)限制、不(bu)(bu)存在狀態空間爆炸(zha)問題(ti)(ti),且不(bu)(bu)受(shou)(shou)任(ren)何假設(she)約束,可以(yi)用(yong)(yong)(yong)(yong)來解(jie)(jie)(jie)(jie)決高維動態失(shi)效(xiao)(xiao)(xiao)概(gai)(gai)(gai)率(lv)(lv)(lv)的(de)(de)(de)(de)(de)求(qiu)解(jie)(jie)(jie)(jie)難題(ti)(ti),當抽(chou)樣試驗次數(shu)(shu)(shu)(shu)足夠(gou)多(duo)時,近似解(jie)(jie)(jie)(jie)的(de)(de)(de)(de)(de)精確度高,是(shi)(shi)(shi)目前應用(yong)(yong)(yong)(yong)最多(duo)的(de)(de)(de)(de)(de)一(yi)種(zhong)(zhong)數(shu)(shu)(shu)(shu)值(zhi)模(mo)擬(ni)(ni)方(fang)(fang)法(fa)(fa)(fa)(fa)。