應力腐蝕開裂是(shi)(shi)一(yi)種常(chang)見的(de)且危(wei)害嚴重(zhong)的(de)失效模式,由于(yu)其(qi)影(ying)響(xiang)因素(su)眾多(duo),包括溫(wen)度、離子濃度、pH值、應力、流場、壓力、機械(xie)結構等(deng);這(zhe)些(xie)(xie)因素(su)中哪些(xie)(xie)是(shi)(shi)主(zhu)要(yao)因素(su),哪些(xie)(xie)是(shi)(shi)次要(yao)因素(su),哪些(xie)(xie)影(ying)響(xiang)大,哪些(xie)(xie)影(ying)響(xiang)小,這(zhe)些(xie)(xie)都是(shi)(shi)需要(yao)弄清楚的(de)問題。因此,如(ru)何確定91香蕉視頻app:應力腐蝕的(de)(de)主要影響因素是研究應力腐蝕的(de)(de)關鍵(jian)問題之(zhi)一,科學合(he)理地分(fen)析各種因素的(de)(de)顯著(zhu)性對(dui)應力腐蝕的(de)(de)研究具有(you)重要意義。浙江至德鋼業有(you)限公司本次選(xuan)用灰色關聯(lian)分(fen)析理論,對(dui)91香蕉視頻app:不銹鋼應力腐蝕的各(ge)環境因素進行關(guan)聯(lian)度計算(suan)。根據計算(suan)結果,分析各(ge)因素對(dui)應力腐蝕敏感性的影響,為掌握91香蕉視頻app:不銹鋼應力腐蝕(shi)發生規律及進行(xing)預防等提供依據。



一、灰色關聯分析


  灰(hui)色系統(tong)理論是由我(wo)國著名(ming)學者(zhe)鄧聚龍教授創造的(de)(de)(de)(de)(de)一(yi)種系統(tong)科(ke)學理論,其中的(de)(de)(de)(de)(de)灰(hui)色關(guan)(guan)聯分(fen)析是根據各因素變化曲線幾何形狀(zhuang)的(de)(de)(de)(de)(de)相似(si)程度(du),來判斷因素之間(jian)關(guan)(guan)聯程度(du)的(de)(de)(de)(de)(de)方法。此方法通過對(dui)動(dong)態過程發展態勢的(de)(de)(de)(de)(de)量化分(fen)析,完成對(dui)系統(tong)內時(shi)間(jian)序列(lie)(lie)有關(guan)(guan)統(tong)計(ji)數(shu)據幾何關(guan)(guan)系的(de)(de)(de)(de)(de)比較,求出參(can)考數(shu)列(lie)(lie)與各比較數(shu)列(lie)(lie)之間(jian)的(de)(de)(de)(de)(de)灰(hui)色關(guan)(guan)聯度(du)。與參(can)考數(shu)列(lie)(lie)關(guan)(guan)聯度(du)越大的(de)(de)(de)(de)(de)比較數(shu)列(lie)(lie),其發展方向(xiang)和速率與參(can)考數(shu)列(lie)(lie)越接近(jin),與參(can)考數(shu)列(lie)(lie)的(de)(de)(de)(de)(de)關(guan)(guan)系越緊密。


灰色關(guan)聯分析的具體計算步(bu)驟如(ru)下:


 1. 確定參考數據(ju)序列(lie)與比較數據(ju)序列(lie)


1.jpg


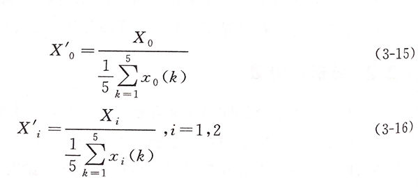
 2. 參考數列和比較數列進行無(wu)量綱化處理


 由于各個評價(jia)指標的單位、量(liang)綱(gang)不同,為消除它們對決策結果的影響,必(bi)須對數據(ju)(ju)進行無量(liang)綱(gang)化(hua)(hua)轉化(hua)(hua)。無量(liang)綱(gang)化(hua)(hua)轉化(hua)(hua)的方法主要有:求(qiu)初(chu)值像(xiang)、求(qiu)均(jun)值像(xiang)和求(qiu)區間值像(xiang),進行灰(hui)色關聯分析時選用一種方法進行計算。初(chu)值像(xiang)是各數據(ju)(ju)序列中的每(mei)一個數據(ju)(ju)與該(gai)數據(ju)(ju)序列第(di)一個數據(ju)(ju)的比值:


3.jpg


 3. 計算參考序列(lie)和比(bi)較序列(lie)的(de)絕(jue)對差


4.jpg


6. 求灰色關聯度


  關聯(lian)(lian)(lian)度(du)代表了系統特(te)征與各(ge)因素之間的關聯(lian)(lian)(lian)程度(du),其數值越(yue)大,說明(ming)兩(liang)者的密切程度(du)越(yue)高。關聯(lian)(lian)(lian)度(du)可根據各(ge)關聯(lian)(lian)(lian)系數獲(huo)得,計(ji)算公式為:


8.jpg


二(er)、應力腐蝕影響因素(su)顯著性分析(xi)


分析(xi)案例(li) 1


  本案例分析是根據文獻的試驗數據進行應力腐蝕影響因素顯著性分析。試驗選用壓力容器常用材料316不銹鋼,采用慢應變速率拉伸試驗方法。試驗考慮濕硫化氫環境中硫化氫和氯離子濃度、溫度、pH值對應力腐蝕敏感性的影響,試驗介質中各因素的參數值如表3-1所示。


表 1.jpg


試驗應以應力腐蝕敏感指數 F(A)、 F(δ) F(t)、作為評價指標,不同介質參數下應力腐蝕試驗數據如表 3-2 所示。



1. 以F(A)作為參考序列


  首先以應力腐蝕敏感性指數F(A)作為參考序列,即表3-3中的X01 數列和應力腐蝕影響因素進行關聯度分析。分析過程如下:


  a. 確定參(can)考數據(ju)(ju)序列與比(bi)較數據(ju)(ju)序列


  以應力腐蝕敏感性指數F(A)數據序列為(wei)參(can)(can)考(kao)序列,4個影響因素參(can)(can)數列為(wei)比較序列。


  X0 = (21.355,50.55,17.54,38.865,5.725,37.37)(式 3-11)


 b. 求各(ge)序列數據的(de)初(chu)值像


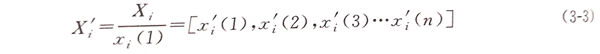
 應力腐蝕敏感性是奧氏體不銹鋼316的灰色系統特征,也是我們關心的首要問題,其他數據序列是與敏感性指數相關的,需要找出主序列與輔序列數據之間的關聯程度。由于各組數據之間單位同,為了表示在一個圖上,需要進行無量綱化處理,可以求初值像、均值像和區間值像,進行灰色關聯分析時選用一種進行計算,本章分析案例中選用了初值像。初值像X;是各數據序列中的每一個數據與該數據序列第一個數據的比值,用初值化法對原始數據進行無量綱化處理得表3-4。



 c. 求差序列(lie)


  根(gen)據式(shi)(3-4),計算參考序(xu)列和比較(jiao)序(xu)列的(de)絕對差(cha)Δ;(k),計算結果見表3-5.



 d. 求兩極(ji)差


  根據式(shi)(3-5)、式(shi)(3-6)求得兩極差(cha)分(fen)別為(wei)99.2501和0。


 e. 計(ji)算關(guan)聯系數


  取分辨系數為0.5,將(jiang)兩極差(cha)數值代入式(3-7),計(ji)算關聯系數如下:



將(jiang)表 3-5 中(zhong)的數據代入式(3-12),分別求出關(guan)聯系數,計算結果見表 3-6。



 f. 求灰色關(guan)聯度


  根據式(3-8),計算(suan)(suan)灰色關聯度,計算(suan)(suan)結(jie)果為:


0.1.jpg


2. 以F(δ)作為參考序(xu)列


  以應力腐蝕敏感性指數F(δ)作為參考序列,即表3-3中的X02數列,和應力腐蝕影響因素進行關聯度分析。分析過程如下:


a. 求各序列(lie)數據的初值像


  根據式(shi)(3-3),可得各序列數據的初(chu)值像(xiang),結果如(ru)表3-7所示。


表 7.jpg


 b. 求差序列


  根據式(3-4),計算參考序列和比較序列的絕對差Δi(k),計算結果見表3-8。


表 8.jpg


  c. 求兩極差(cha)


  根據(ju)式(3-5)、式(3-6)求得兩極差分別為98.6685和(he)0。


 d. 計算關聯系(xi)數


   取分辨系數ξ為0.5,將兩(liang)極(ji)差數值代入(ru)式(3-7),計算關聯(lian)系數如下:


13.jpg


 將表3-8中(zhong)的數據代入式(3-13),分別(bie)求出關聯系數,計算結果見表3-9。


表 9.jpg


 e. 求灰色關聯(lian)度(du)


  根據式(3-8),計(ji)(ji)算(suan)灰色(se)關聯度,計(ji)(ji)算(suan)結(jie)果(guo)為:


0.2.jpg

 y4>y3>y2>y1,說明X4與X0的關聯度最大,也就是說溫度與應力牌蝕敏感性的關系最為密切,該結果與上節分析結果相同。


3. 以F(t)作(zuo)為(wei)參考序列


 以應力腐蝕敏感性指數F(t)作為參考序列,即表3-3中的X03數列,和應力腐蝕影響因素進行關聯度分析。分析過程如下。


 a. 求各(ge)序列數(shu)據的初值像


  根(gen)據式(3-3),可得各序列數據的(de)初值像,結果如表3-10所示。


表 10.jpg


 b. 求差序列(lie)


  根據式(shi)(3-4),計(ji)算參考序(xu)(xu)列和比較序(xu)(xu)列的絕對差Δ;(k),計(ji)算結(jie)果見表3-11。


表 11.jpg


 c. 求(qiu)兩極(ji)差


  根據式(shi)(3-5)、式(shi)(3-6)求得兩極差分別(bie)為98.663和0。


 d. 計算(suan)關聯系(xi)數


   取分(fen)辨系(xi)數為0.5,將兩(liang)極差(cha)數值(zhi)代(dai)人式(3-7),計算(suan)關聯系(xi)數如下(xia):


14.jpg



   將表3-8中的數據(ju)代人式(3-14),分(fen)別(bie)求出關聯系(xi)數,計算結(jie)果見表3-12。


表 12.jpg


 e. 求灰(hui)色關(guan)聯(lian)度


  根據(ju)式(shi)(3-8),計算(suan)灰(hui)色關聯度,計算(suan)結果(guo)為(wei):

0.3.jpg


  以上分析表明:奧氏體316L不(bu)銹鋼的應力腐蝕中,pH值和溫度為主要影響因素,Cl-濃度次之,最后是H2S濃度。金屬與介質的化學反應速度、物質的輸送過程等均受溫度影響極大,因此溫度對應力腐蝕影響較大。影響因素中pH值影響比較大,是因為pH值的變化使應力腐蝕敏感性波動較大:弱酸弱堿性時,材料塑性損失較大,敏感性大;中性時,敏感性小;強酸性時,應力腐蝕被全面腐蝕代替。氯離子是奧氏體不銹鋼發生應力腐蝕的決定性要素,但是其濃度的影響并不占主導地位。在氯離子和H2S共存的環境中,H2S與材料金屬反應生成的氫原子導致材料脆化,對應力腐蝕起到了加速作用。


分析案例 2


 溫度對奧氏體不銹鋼應力腐蝕有重要的影響,應力腐蝕的敏感性隨溫度升高而升高。近幾年的研究表明,不銹鋼應力腐蝕存在一個敏感溫度。Y.Y.Chen等采用耶茨算法研究了含氯和硫化氫環境中,溫度、氯離子濃度和pH值對321不銹鋼應力腐蝕敏感性的影響,結果表明,溫度的影響最重要。案例1的分析結表明:溫度與應力腐蝕的敏感性,這與前人的研究結論是一致的。本節在第2章試驗研究的基礎上,研究溫度和操作壓力對S32168不銹鋼應力腐蝕影響的顯著性。由于本次試驗獲得的數據較少,選擇合適的數據分析方法至關重要。樣本的大小不影響灰色關聯理論的使用,因此,作者采用灰色關聯理論來分析影響因素與應力腐蝕敏感性之間的關系。


 1. 確定參考數據(ju)序列與(yu)比(bi)較數據(ju)序列


  根據第2章的試驗結果,采用斷面收縮率來評價應力腐蝕敏感性,不同溫度和介質壓力下得到的應力腐蝕敏感性指數F(Z)見表2-3。首先,確定反映系統行為特征的參考數列和影響系統行為的比較數列。把F(Z)的數據作為參考序列X0


表 13.jpg


 2. 參考數(shu)列(lie)和比較數(shu)列(lie)進行無量綱化處理


  由于各個評價指標的(de)單位不同,為(wei)消除(chu)它們對(dui)決策結(jie)果的(de)影響,本案(an)例采用(yong)求均值(zhi)像的(de)方法(fa)對(dui)數(shu)據進行(xing)無量綱化(hua)處理(li),即求各數(shu)據序列中的(de)每(mei)一個數(shu)據與數(shu)據序列平均數(shu)的(de)比(bi)值(zhi):


15.jpg


 計算結(jie)果見(jian)表3-14。


表 14.jpg


  圖(tu)3-1為各(ge)數列(lie)均(jun)值像的柱狀(zhuang)圖(tu),可(ke)以看(kan)出溫(wen)度(du)與應力腐蝕敏(min)感(gan)性的變化趨相似度(du)較高。


圖 1.jpg


 3. 求差序列


  根據式(shi)(3-4),計(ji)算參考序(xu)列和比(bi)較序(xu)列的(de)絕(jue)對差Δ;(k),計(ji)算結果見表3-15。


表 15.jpg


 4. 求兩(liang)極差


  根據式(3-5)、式(3-6)求得兩極差(cha)分別為(wei)1.1889和0.0763。


5. 計(ji)算關(guan)聯(lian)系數


 取分辨系數ξ為0.5,將兩(liang)極差數值(zhi)代入式(shi)(3-7),計算關(guan)聯系數如下:


17.jpg


將表3-15中的數(shu)(shu)據代入式(3-17),分別求(qiu)出關聯(lian)系數(shu)(shu),計(ji)算結(jie)果見表3-16。


表 16.jpg


6. 求灰色關(guan)聯度


 根據式(3-8),計(ji)算灰色關聯度,計(ji)算結果(guo)為(wei):Y1=0.833; Y2=0.663


 說明X1與X0的關聯度最大,也就是說溫度對應力腐蝕敏感性的影響更加顯著,該結果與上節分析結果相同。



三(san)、總結(jie)


  ①. 采用灰(hui)色關聯理(li)論時,因為評(ping)價數據序(xu)列(lie)都(dou)是(shi)和參(can)考數據序(xu)列(lie)比較,所以,評(ping)價數據序(xu)列(lie)數量不影響(xiang)評(ping)價結(jie)論,因此,關聯度可(ke)作(zuo)為分析應力腐蝕影響(xiang)因素的一(yi)個重要理(li)論依據。


  ②. 案(an)例1中:在對各影(ying)響(xiang)因(yin)素與應力(li)腐蝕敏感性的關(guan)聯分析中,溫度關(guan)聯度接近1,說明應力(li)腐蝕敏感性與溫度密(mi)切相關(guan),其次是pH值(zhi)和(he)氯離子濃度的影(ying)響(xiang)。H2S濃度對應力(li)腐蝕的貢(gong)獻位于(yu)各因(yin)素之末。


  ③. 案例(li)2中:從分析結果來看,介質壓力和(he)溫度(du)與(yu)應力腐蝕敏感性的關聯程(cheng)度(du)都較高,但溫度(du)對應力腐蝕敏感性的影響比(bi)介質壓力的影響更加顯著。


  ④. 由(you)于(yu)應(ying)(ying)力(li)(li)腐(fu)蝕(shi)的(de)(de)(de)機理復雜、影響因(yin)素(su)眾多(duo),相同的(de)(de)(de)因(yin)素(su)在(zai)不同環境下(xia)所(suo)占據(ju)的(de)(de)(de)主(zhu)次位置是(shi)不同的(de)(de)(de),所(suo)以本(ben)書的(de)(de)(de)分析結果并不代表(biao)所(suo)有應(ying)(ying)力(li)(li)腐(fu)蝕(shi)介質環境情況。但是(shi),可為應(ying)(ying)力(li)(li)腐(fu)蝕(shi)斷(duan)裂預防和應(ying)(ying)力(li)(li)腐(fu)蝕(shi)機理的(de)(de)(de)研(yan)究提供科學(xue)的(de)(de)(de)參考依(yi)據(ju)。