當不銹鋼管坯料在感應器內加熱時,由于感應加熱的端部效應和坯料端部的散熱,導致加熱后的不銹鋼管(guan)坯料存在軸向溫差,進而使坯料在擠壓后引起鋼管的壁厚不均缺陷。為了確保擠壓不銹鋼(gang)管的質量,必須使經感應加熱后的坯料的軸向溫差控制在±30℃左右。為此,坯料在感應加熱(再加熱)過程中需要進行端部功率補償:


  1. 端部補償的原理


    感(gan)(gan)應器的(de)(de)電(dian)(dian)(dian)(dian)路由(you)電(dian)(dian)(dian)(dian)感(gan)(gan)電(dian)(dian)(dian)(dian)容和電(dian)(dian)(dian)(dian)阻組成,當將(jiang)端(duan)(duan)部補(bu)償(chang)電(dian)(dian)(dian)(dian)容器并聯在感(gan)(gan)應器線路上時,使電(dian)(dian)(dian)(dian)路中的(de)(de)阻抗值增高,從而引起感(gan)(gan)應器的(de)(de)兩端(duan)(duan)與(yu)中部的(de)(de)匝間電(dian)(dian)(dian)(dian)壓(ya)重新(xin)分配(pei),使主感(gan)(gan)應器兩端(duan)(duan)電(dian)(dian)(dian)(dian)壓(ya)較低的(de)(de)部分得到(dao)了(le)補(bu)償(chang),并且導致感(gan)(gan)應器兩端(duan)(duan)部電(dian)(dian)(dian)(dian)壓(ya)增高,使端(duan)(duan)部的(de)(de)磁通密度(du)增加(jia),即分配(pei)到(dao)鋼坯端(duan)(duan)部的(de)(de)功率增加(jia),從而使加(jia)熱(re)坯料(liao)(liao)的(de)(de)端(duan)(duan)部溫(wen)度(du)得到(dao)了(le)補(bu)償(chang),降(jiang)低了(le)加(jia)熱(re)(再加(jia)熱(re))后坯料(liao)(liao)的(de)(de)軸向溫(wen)差。


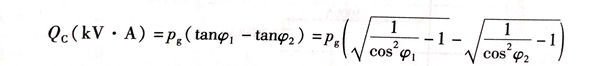
 2. 補償(chang)電容器容量的計算


   感應器的功率因數由cosφ1 補償到 cosφ2所需電容器的容量按下式計算:


15.jpg


 3. 端(duan)部補(bu)償的控制


   傳(chuan)統(tong)的(de)(de)功率補(bu)償控制方法是采用無(wu)功功率繼電(dian)器等組成的(de)(de)有觸點的(de)(de)系統(tong)來進行控制。根據所(suo)測得的(de)(de)電(dian)流、電(dian)壓、溫度等數(shu)值,將(jiang)補(bu)償電(dian)容(rong)器的(de)(de)容(rong)量調節(jie)到(dao)最佳狀(zhuang)態。隨著計算機技術和電(dian)子技術的(de)(de)發展(zhan),近代一般都已采用無(wu)功功率自動補(bu)償裝置(zhi),根據所(suo)采集(ji)到(dao)的(de)(de)數(shu)據,通過分析計算,自動切換補(bu)償電(dian)路,使之達到(dao)最佳效(xiao)果。